Министерство образования и науки Российской Федерации
Федеральное государственное бюджетное образовательное учреждение высшего образования
Санкт-Петербургский горный университет
|
|
|
Кафедра общей и технической физики |
|
|
|
Лабораторная работа № 2 |
|
По дисциплине: |
|
Физика |
|
|
(наименование учебной дисциплины согласно учебному плану) |
|
Тема: Исследование коэффициента поглощения жидкости от длины волны
Санкт-Петербург
2019
Краткое теоретическое обоснование.
Если на слой какого-нибудь вещества направить пучок параллельных лучей, то в результате взаимодействия с веществом прошедший через него поток энергии будет меньше вошедшего в него. Объясняется это поглощением, рассеянием и отражением света.
Поглощение и рассеяние происходят внутри вещества, поэтому вызываемые ими изменения светового потока, зависят от толщины слоя вещества. Отражение света наблюдается на границах раздела сред, и ослабление потока в этом случае не зависит от толщины слоя. Если свет нормально падает на границу раздела двух сред, отношение отраженного потока световой энергии к падающему будет

где: R – коэффициент отражения; n1 и n2 – показатели преломления соответствующих сред
После отражения на каждой границе поток
световой энергии ослабится в
раз.
Обычно первая среда – воздух (
),
и можно с достаточной точностью считать
,
где n – показатель преломления поглощающей среды.
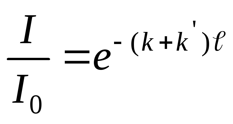
Ослабление светового потока при учете только рассеяния и поглощения света описывается формулой закона Бугера – Бэра:
,
где: I0 – световой поток, вошедший в поглощающий слой; I – вышедший световой поток; – толщина слоя; k- коэффициент рассеяния; k - коэффициент поглощения.
Величина
называется пропусканием. Величина,
обратная пропусканию, - ослаблением.
Коэффициенты k и
k
характеризуют свойства вещества и,
как правило, зависят от длины волны
распространяющегося в веществе света.
Коэффициент рассеяния k обычно пропорционален четвертой степени частоты:
k 4
Величина его для обычных прозрачных сред (газов, жидкостей, стекол) невелика, и ослабление света происходит главным образом вследствие поглощения. В мутных средах (тумане, дыме, коллоидных растворах) ослабление света вследствие рассеяния может быть значительным.
Если не учитывать рассеяние света и отражение на границах слоя, то для ослабления, вызванного только поглощением, получим
.
(1)
Если учесть как отражение света на границах раздела, так и поглощение света в толще вещества то ослабление светового потока может быть рассчитано по формуле
.
(2)
Из последней формулы ясно, что можно найти значение k (), если известна величина коэффициента отражения R() и проведены измерения ослабления света.
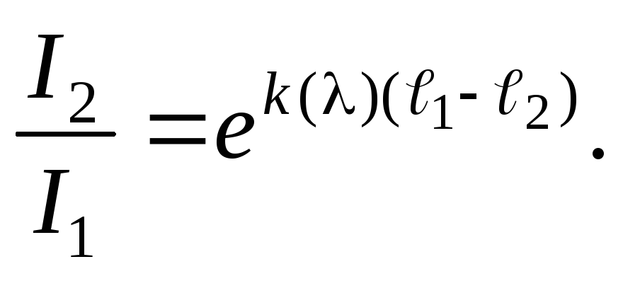
Однако рассчитывать коэффициент отражения необязательно. Можно поступить следующим образом. Световой поток I0 пропускают через поглощающий слой толщины 1 . Затем такой же световой поток пропускают через слой того же вещества толщины 2. В первом случае
(3)
во втором
(4)
Поделив уравнение (3) на (4), получим
(5)
Логарифмируя последнее соотношение, получаем рабочую формулу для определения коэффициента поглощения, которая не зависит уже от коэффициента отражения
(6)
Схема установки.
Схема установки для исследования спектров поглощения представлена на рис. 1, а ее внешний вид - на рис. 2.
Источником света 1 служит лампа накаливания, установленная в специальном кожухе. Лампа включается в блок питания, от которого на нее подается напряжение 12 В. Свет от лампы проходит через конденсатор 6 и далее в виде параллельного пучка через кювету с исследуемым слоем 2 или 2 и фокусируется конденсатором 7 на входную щель 8 монохрома тора 3. Основные части монохрома тора – коллиматор, призма с поворотным устройством и выходная труба. Коллиматор состоит из входной щели 8 и объектива 9. Расстояние от щели до объектива равно фокусному расстоянию объектива, поэтому из коллиматора выходит параллельный пучок света, который попадает на призму 10 специальной формы. При повороте призмы монохрома тора 3 вокруг вертикальной оси на ось выходной трубы, перпендикулярную оси коллиматора, выводятся лучи той или иной длины волны. Поворачивается призма барабаном 11 (рис. 2). Для перевода градусов поворота барабана в длины волн существует градировочный график.
Выходная труба состоит из объектива 12 и выходной щели 13 (рис. 2), расположенной в фокусе объектива. Устройство входной и выходной щели одинаково. Щели раскрываются на ширину до 4 мм. Наименьшее деление щелей барабанов 0,01 мм. Ширина входной и выходной щелей монохрома тора определяет монохроматичность выходящего света (ширину спектрального интервала, выделяемого прибором). Обычно ширину обоих щелей принимают одинаковой. В этом случае при заданной степени монохроматичность пропускание света монохрома тором максимально.
За щелью 13 вплотную к ней установлен селеновый фотоэлемент с запорным слоем, к которому присоединен микроамперметр 5 с шунтом.
Образцы укрепляют на специальном держателе 14, имеющем два фиксированных положения.
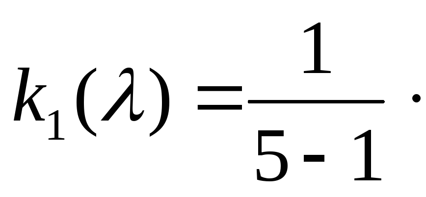
Исходные данные
l1 = 5 см
l2 = 1 см
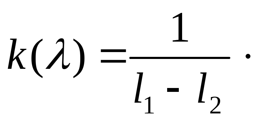
Расчетные формулы
Формула Бугера-Бэра:

![]()
Где k – коэффициент поглощения, см-1
l – толщина слоя, см
I – сила тока светового потока, мкА
Таблица для записи результатов измерений.
|
Деление барабана |
(120°) |
Толстая кювета |
Тонкая кювета |
|
ln |
см-1 |
|
I1, мкА |
I2, мкА |
|||||
|
2000 |
5100 |
16 |
31 |
1,94 |
0,66 |
0,17 |
|
2050 |
5150 |
19 |
34 |
1,79 |
0,58 |
0,15 |
|
2100 |
5200 |
20 |
39 |
1,95 |
0,67 |
0,17 |
|
2150 |
5250 |
19 |
42 |
2,21 |
0,79 |
0,20 |
|
2200 |
5300 |
20 |
47 |
2,35 |
0,85 |
0,21 |
|
2250 |
5400 |
23 |
52 |
2,26 |
0,82 |
0,20 |
|
2300 |
5500 |
25 |
56 |
2,24 |
0,81 |
0,20 |
|
2350 |
5550 |
26 |
61 |
2,35 |
0,85 |
0,21 |
|
2400 |
5650 |
28 |
67 |
2,40 |
0,87 |
0,22 |
|
2450 |
5700 |
30 |
72 |
2,40 |
0,88 |
0,22 |
|
2500 |
5800 |
34 |
77,5 |
2,28 |
0,82 |
0,20 |
|
2550 |
5900 |
38 |
81 |
2,13 |
0,76 |
0,20 |
|
2600 |
6000 |
44 |
77 |
1,75 |
0,56 |
0,14 |
|
2650 |
6150 |
43 |
74 |
1,72 |
0,54 |
0,14 |
|
2700 |
6250 |
39 |
65,2 |
1,67 |
0,51 |
0,13 |
|
2750 |
6400 |
32,5 |
46 |
1,42 |
0,35 |
0,09 |
|
2800 |
6550 |
21,5 |
28,5 |
1,33 |
0,28 |
0,07 |
|
2850 |
6700 |
12,5 |
14,5 |
1,16 |
0,15 |
0,04 |
|
2900 |
6900 |
7 |
8 |
1,14 |
0,13 |
0,03 |
Расчет результатов эксперимента

=
0,17 см-1
Среднее значение
=
0,16 см-1 = 160 м-1
Погрешности прямых измерений
ΔI = с/2 = 1/2=0.5 мкА = 0.5 · 10-6 А
Погрешности косвенных измерений
Среднее значение
= 26,18 мкА = 26,18 · 10-6 А
Среднее значение
=51,19 мкА = 51,19 · 10-6 А
)=
·м-1
= 0,0003 см-1
График зависимости k от λ

Вывод: В результате проведённой работы была исследована зависимость коэффициента поглощения жидкости от длины волны при помощи измерений на монохроматоре интенсивности света, прошедшего через кюветы разной толщины. Среднее значение коэффициента поглощения составляет 0,16000±0,0003 см-1