Материал: 1906

Внимание! Если размещение файла нарушает Ваши авторские права, то обязательно сообщите нам

6

4)законспектировать срок действия авторского права;

5)законспектировать сферу и срок действия смежных прав;

6)законспектировать цели коллективного управления имущественными правами;

7)законспектировать меры защиты авторских и смежных прав. Студентам выдается закон «Об авторском праве и смежных правах». Они

изучают закон, конспектируют основные положения согласно порядку проведения занятия.

Контрольные вопросы:

1Перечислите объекты авторского права.

2Возникновение авторского права.

3Соавторство.

4Личные неимущественные и имущественные права.

5Субъекты смежных прав.

6Срок действия смежных прав.

7Гражданско-правовые меры защиты авторских и смежных прав.

Занятие 3

Международная патентная классификация

Цель занятия: Изучить существующую классификацию изобретений, принципы ее построения.

В процессе занятия решаются следующие задачи:

закрепление знаний о международной классификации изобретений;

приобретение навыков поиска информации в патентных документах. Общие положения Международная классификация изобретений

введена с 1 января 1970 г. В качестве единственной системы для классификации изобретений СССР (России). Классификация построена по функциональ- но-отраслевому принципу. Она представляет собой систему, подразделяющуюся на все сферы материального производства, к которым относятся изобрете-

7

ния, на разделы, подразделы, классы, подклассы, группы и подгруппы. Благодаря наличию резерва для включения новых рубрик во все деления системы, МКИ каждые пять лет приводится в соответствие с современным уровнем развития науки и техники. С 1 января 2000 г. введена седьмая редакция МКИ.

Все объекты изобретений распределяются по разделам, обозначаемым заглавными буквами латинского алфавита от А до Н:

А – удовлетворение жизненных потребностей человека; В – различные технологические процессы и транспорт; С – химия и металлургия;

D – текстиль и бумага;

Е – строительство и горное дело;

F – прикладная механика, освещение, отопление, взрывные работы, оружие и боеприпасы;

G – физика;

Н – электричество.

Полный индекс МКИ содержит раздел-класс-подкласс-группу-подгруппу. В табл. 1 представлены обозначения и расшифровки полного индекса МКИ. Таблица 1

Раздел

Разделы

обозначаются

заглав-

F – прикладная механика, освещение, отопле-

 

ными буквами латинского ал-

ние, взрывные работы, оружие и боеприпасы.

 

фавита от А до H.

 

 

 

Класс

Классы обозначаются индекса-

F 16 – узлы и детали машин; общие способы и

 

ми разделов и двумя арабскими

устройства, обеспечивающие нормальную экс-

 

цифрами, и соответствуют те-

плуатацию машин и установок

 

матике определенной области

 

Подкласс

Подклассы обозначаются

за-

F 16 В – устройства и детали для закрепления

 

главными

буквами латинского

 

 

алфавита,

стоящими после

 

 

 

обозначения класса.

 

 

конструктивных элементов или детали машин,

 

8

 

 

 

шарнир, гвозди, пружинные кольца, клинья,

 

 

 

 

 

шпонки, зажимы, обоймы, муфты, замковые

 

 

 

 

 

соединения.

Группа

Каждый

подкласс состоит

из

37/00. Гайки и т.п. резьбовые соединения

 

групп, обозначающих

главное

 

 

деление в подклассе. Они не

 

 

подчиняются друг другу и обо-

 

 

значаются индексом, состав-

 

 

ленным из цифр и символом 00,

 

 

проставленным через

косую

 

8

черту.

Подгруппа Большинство групп разбито на 37/08. Быстросъемные гайки, состоящие из подгруппы, подчиняющиеся двух и более частей группе и обозначаемые индексом, состоящим из двух чисел, разделенных косой чертой.

Первое число обозначает группу, второе – подгруппу. Перед названием подгруппы проставляют точки. Наличие одной точки перед названием подгруппы означает, что эта подгруппа подчинена вышестоящей группе. Наличие двух точек перед названием подгруппы означает, что она подчинена ближайшей подгруппе с одной точкой

Порядок проведения занятия

1изучить международную классификацию изобретений, алфавитнопредметного указателя (АПУ)

2законспектировать разделы объектов изобретений.

3изучить сборник «Изобретения стран мира»

4найти отличия в описании зарубежных и отечественных изобретений.

5по выданной тематике подобрать индексы по АПУ, записать их в тетрадь.

Контрольные вопросы:

1Когда была введена МКИ?

2На основе какого принципа построена МКИ?

3Обозначения разделов, классов, подклассов, групп, подгрупп.

4Сколько существует разделов?

Что содержит полный индекс МКИ?

9

Занятие 4

Патентно-правовые показатели

Цель занятия: Изучить методики расчета патентно-правовых показателей в зависимости от сложности изделия. В процессе занятия решаются следующие задачи:

закрепление знаний о патентной чистоте и патентной защите;

приобретение навыков расчета показателя патентной защиты внутри

страны;

приобретение навыков расчета показателя патентной защиты отечественного изделия патентами за рубежом;

приобретение навыков расчета общего показателя патентной защиты изделия;

приобретение навыков расчета показателя патентной чистоты. Патентно-правовые показатели – это в первую очередь показатели па-

тентной защиты и патентной чистоты. Для расчета значений патентноправовых показателей в зависимости от сложности изделия все его составные части делятся на группы с учетом их значимости (весомости).

Используют два показателя патентной защиты изделия: патентная защита в стране и за рубежом.

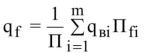
Показатели патентной защиты изделия внутри страны рассчитывается так:

где П – общее количество составных частей в данном изделии; m – число групп значимости (в зависимости от назначения и характера конкретного изделия все его составные части могут быть разделены на несколько (обычно 2 или 3) групп значимости); qвi –коэффициент весомости i-й составной части изделия, защищенной патентами и свидетельствами внутри страны, по группам значимости; Пfi – количество i-x составных частей изделия, защищенных патентами и свидетельствами в стране, по группам значимости.

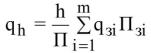
Показатель патентной защиты отечественного изделия патентами за рубежом определяется по формуле:

10

где h – коэффициент весомости, зависящий от числа стран, в которых получены патенты, и отражающий важность этих стран для экспорта изделия или продажи лицензии; qзi – коэффициент весомости i'-й составной части, защищенной принадлежащими отечественным предприятиям и организациям патентами за рубежом, по группам значимости; П – количество i-x составных частей изделия, защищенных принадлежащими отечественным предприятиям и организациям патентами за рубежом, по группам значимости.

Коэффициенты весомости h и i определяются, как правило, экспертным путем и указываются в отраслевых инструкциях применительно к конкретным изделиям.

Пример

В токарно-револьверном станке выделено 30 составных частей, подлежащих учету при определении показателя патентной чистоты. К ним относятся: кинематическая схема и токарно-револьверная головка (особо важные составные части); револьверная головка, коробка скоростей, коробка передач, система циркуляционной смазки, станина с основанием, редуктор, художественноконструкторское решение (внешний вид) станка и др. (основные части, всего 12); фартук, эксцентриковые валики, подшипники и др. (вспомогательные составные части, всего 16).

Патентной чистотой не обладают внешний вид станка (подпадает под действие патента на промышленный образец одной из фирм в стране предполагаемого экспорта) и система циркуляционной смазки (относится к числу основных составных частей), а также четыре вспомогательные составные части.

Для данного вида изделий установлены в отрасли следующие коэффициенты весомости составных частей по группам:

кинематическая схема m1 =0,4;

токарно-револьверная головка m2=0,3; m3 =0,2; m4=0,1.

Показатель патентной чистоты станка.

Часто требуется определить численное значение территориального пока-

зателя патентной чистоты Ртпч. Его находят как отношение разности числа воз-