Окончание табл. 1
1 |
2 |
3 |
|
|
4 |
|
5 |
6 |
7 |
8 |
9 |
23 |
В вершинах |
|
|
|
Карбюраторщик, |
№10 |
220 |
160 |
Треуголь- |
TT |
|
|
квадрата |
|
|
|
помещение №2 |
ник |
|||||
|
|
|
|
|
|
|
|
||||
24 |
В вершинах |
|
|
|
А |
|
|
|
|
|
|
|
равнобедренно- |
|
|
|
Вулканизаторщик, |
|
380 |
100 |
Звезда |
IT |
|
|
|
|
|
|
И№11 |
||||||
|
го треугольника |
|
|
|
помещение №1 |
|
|
|
|
|
|
|
|
|
|
|
|
|
|
|
|
|
|
25 |
По контуру |
|
|
б |
Оператор ПЭВМ, |
№12 |
220 |
63 |
Треуголь- |
IT |
|
|
|
|
|
Д |
ник |
||||||
|
|
|
|
|
помещение №2 |
|
|
|
|
||
|
|
|
и |
|
|
|
|
|
|
|
|
|
|
С |
|
|
|
|
|
|
|
|
|
5
Типы систем заземления электрических сетей в соответствии с ГОСТ 30331.2−95 «Электроустановки зданий. Ч.3. Основные характеристики» представлены в табл. 2.
Таблица 2
Типы систем заземления электрических сетей TN-S, TN-C, TN-C-S, TT, IT
Первая буква – характер |
|
Вторая буква – |
|
|
Последующие буквы |
|||
|
характер заземления |
|
(если таковые имеются) – |
|||||
заземления источника |
|
|
открытых проводящих |
|
устройство нулевого |
|||
питания |
|
|
|
частей |
|
|
рабочего и нулевого |
|
|
|
|
|
электроустановки |
|
защитного проводников |
||
|
|
|
|
Т − непосредственная |
|
S − функции нулевого |
||
Т − непосредственное |
|
|
связь открытых |
|
|
|||
|
|
|
|
защитного и нулевого |
||||
присоединение одной |
|
|
проводящих частей с |
|
||||
|
|
|
рабочего проводников |
|||||
точки токоведущих |
|
|
землей независимо от |
|
||||
|
|
|
обеспечиваются |
|||||
частей источника |
|
|
характера связи |
|
|
|||
|
|
|
|
раздельными |
||||
питания к земле |
|
|
источника питания с |
|
||||
|
|
|
проводниками |
|||||
|
|
|
|
землей |
|
|
||
|
|
|
|
|
|
|
||
|
|
|
|
N − непосредственная |
|
|
||
I − все токоведущие |
|
|
связь открытых |
|
|
С − функции нулевого |
||
|
|
проводящих частей с |
|
И |
||||
части изолированы от |
|
|
|
защитного и нулевого |
||||
|
|
точкой заземления |
|
рабочего проводников |
||||
земли или одна точка |
|
|
|
|||||
|
|
источника питания (в |
|
объединены в одном |
||||
|
|
|
|
|
||||
заземлена через |
|
|
|
|
Д |
|
||
|
|
системах переменного |
|
проводнике (PEN- |
||||
сопротивление |
|
|
|
|||||
|
|
тока о ычно |
|
|
проводнике) |
|||
|
|
|
|
|
|
|||
|
|
|
|
заземляетсяАнейтраль) |
|
|
||
|
|
|
|
|
б |
|
|
|
На основании |
|
сходных данных необходимо: |
||||||
1. |
Осуществ ть |
категорирование |
производственного |
|||||
|
|
и |
|
|
|
|||
|
С |
|
|
|
|
|||
помещения по опасности поражения электрическим током согласно Правил устройства электроустановок (ПУЭ) [6,7] и данных табл. 1.
2. Указать требования обеспечения электробезопасности, предъявляемые к рабочим местам [9,15].
3. Рассчитать заземление по [7]. В качестве соединительной полосы использовать полосовую сталь
.
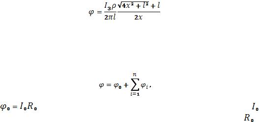
4. Построить потенциальные кривые группового заземлителя. Уравнение, определяющее потенциал, т.е. уравнение
потенциальной кривой для точек на поверхности земли от шарового заземлителя, имеет вид [2]
,
6
где Iз – ток замыкания на землю, А;
– удельное сопротивление грунта; t – глубина заложения заземлителя, м; x – расстояние от заземлителя до рассматриваемой точки на поверхности земли, м.
Уравнение потенциальной кривой на поверхности земли от стержневого заземлителя определяется выражением [2]
,
где L – длина стержневого заземлителя, м.
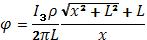
У протяженного заземлителя круглого сечения (стержень, провод и т.п.), находящегося на поверхности земли и заглубленного так, что продольная ось его совпадает с поверхностью земли,
изменения потенциальной кривой |
поперек оси заземлителя |
||
определяются по формуле |
|
|
И |
|
|
|
|
|
|
|
, |
|
Д |
||
где l – длина соединительной полосы, м. |
|
||
Потенциал каждого электрода |
|
группового заземлителя |
|
|
А |
обусловленного стеканием |
|
состоит из собственного потенциала, |
|
||
через него тока, и потенциалов, наведенных другими электродами
сопротивление его растеканию, Ом; n – количество электродов в групповом заземлителе;
– потенциал, наведенный на первом электроде одним из соседних, который определяется из уравнения
где |
собственный потенциал первого электрода, В; |
– |
|
С |
|
ток, |
стекающий через бэтот электрод в землю, A; |
– |
потенциальной кривой, соответствующей соседнему электроду, и с учетом расстояния между электродами, В.
При определении токов замыкания на землю использовать данные табл. 3 и формулы [5, 7]
|
|
Iкз = |
|
Uф |
|
, |
|
|
|
R |
|
|
|||
|
|
|
m +R |
+R |
|||
|
Rm |
|
3 |
ф |
н |
||
где |
– сопротивление одной фазы источника тока, Ом; Rф, Rн – |
||||||
3 |
|||||||
сопротивление фазного и нулевого проводов от источника до потребителя соответственно, Ом.
Для большинства сетей (Rф+Rн) составляет 0,5–2 Ом. Величина сопротивления зависит от расчетной мощности.
7
Таблица 3
Сопротивление одной фазы источника тока в зависимости от мощности трансформатора и схемы соединения обмоток [5]
Мощность |
Rm, Ом при схеме соединения обмоток |
|||
трансформатора, кВА |
|
|
|
|
«звездой» |
|
«треугольником» |
||
|
|
|||
|
|
|
|
|
40 |
1,949 |
|
|
0,562 |
|
|
|
|
|
63 |
1,237 |
|
|
0,360 |
|
|
|
|
|
100 |
0,799 |
|
|
0,226 |
|
|
|
|
|
160 |
0,487 |
|
|
0,141 |
|
|
|
|
|
250 |
0,312 |
|
|
0,090 |
|
|
|
|
|
|
|
И |
|
|
400 |
0,195 |
|
|
0,056 |
|
|
|
|
|
630 |
0,129 |
|
|
0,042 |
|
|
|
|
|
1000 |
0,081 |
|
|
0,027 |
|
|
|
|
|
1600 |
А |
|
|
0,017 |
0,034 |
|
|
||
|
б |
|
|
|
5. Определить максимальные значенияДнапряжений шага для человека [1, 6].
6. Оценить иопасность прикосновения человека к заземляющему проводн ку. Определить токи, протекающие через тело человека, и сравн ть х с критериальными токами [5, 6, 7].
Токи, протекающСе через тело человека в трехпроводной сети с изолированной нейтралью при нормальном режиме работы
где
– сопротивление тела человека, Ом; R – сопротивление
фазы, Ом; С – емкость фазы;
– междуфазное напряжение, В. Токи, протекающие через тело человека в четырехпроводной
сети с глухозаземленной нейтралью при нормальном режиме работы
где
– сопротивление заземления провода.
7. Выполнить чертеж электрической сети и заземления.
8
Протоколы измерений параметров производственного микроклимата в производственных помещениях, на основании которых осуществляется категорирование производственного помещения по опасности поражения электрическим током:
Измерительная лаборатория |
Аттестат аккредитации |
П Р О Т О К О Л № 1
измерений параметров микроклимата
от « »_______________ 20__ г.
1.Место проведения измерений:
2.Время проведения измерений:
3.Представитель обследуемого объекта:
4.Средства измерений: Измеритель влажности иИтемпературы ТКА-ТВ зав.влажности______ до ______ черный шар, свидетельствоДо поверке № ______ до _______.
5. Нормативно-техническая документация, в соответствии с которой проводились измерения и давалось заключение: СанПиН 2.2.4.548-96
«Гигиенические требования к микроклимату производственных помещений».
6. Источники локального тепловыделения, |
охлаждения – отсутствуют, |
|||||||||||||
|
|
|
|
|
|
|
А |
|
|
|
|
|
|
|
естественная вытяжная вент ляц я. |
|
|
|
|
|
|
|
|||||||
7. Условия проведен я |
|
змерен й: теплый |
|
|
|
|
|
|
||||||
8. Результаты измерен й параметровбмикроклимата: |
|
|
|
|
||||||||||
|
|
|
|
и |
|
|
|
|
|
|
|
|||
|
№ |
|
|
|
|
|
|
Темпера- |
Относи- |
Скорость |
||||
|
|
|
|
Кате- |
|
|
тура, оС |
тельная |
движения |
|||||
|
то- |
|
Мес- |
|
|
|
|
|
влаж- |
воздуха, |
||||
|
чки |
Профес- |
|
гория |
Высо- |
|
|
|||||||
|
|
|
то |
|
|
|
|
ность, % |
|
м/с |
||||
|
по |
сия, |
С |
|
|
|
|
|
|
|
|
|
||
|
изме- |
|
работ |
та от |
до- |
фак- |
до- |
фак- |
до- |
|
фак- |
|||
|
эс- |
должно- |
|
по |
|
|||||||||
|
ре- |
|
пола |
пу- |
ти- |
пу- |
ти- |
пу- |
|
ти- |
||||
|
ки- |
сть |
|
тяже- |
|
|||||||||
|
ния |
|
|
|
сти- |
чес- |
сти- |
чес- |
сти- |
|
чес- |
|||
|
зу |
|
|
сти |
|
|
|
|||||||
|
|
|
|
|
|
мая |
кая |
мая |
кая |
мая |
|
кая |
||
|
|
|
|
|
|
|
|
|
||||||
|
|
|
|
|
|
|
|
|
|
|
|
|
|
|
|
1 |
2 |
3 |
4 |
|
6 |
7 |
8 |
9 |
10 |
11 |
|
12 |
|
|
|
Вулкани- |
|
|
|
|
0,1 |
19... |
32 |
15... |
25 |
|
|
0,3 |
|
1 |
затор- |
|
|
|
|
|
|
|
<0,1 |
|
|||
|
|
|
|
|
1 |
24 |
32 |
75 |
25 |
0,3 |
||||
|
|
щик |
|
|
|
|
|
|
||||||
|
|
|
|
|
|
|
|
|
|
|
|
|
|
|
9