Материал: 1524

Внимание! Если размещение файла нарушает Ваши авторские права, то обязательно сообщите нам

 

Ввод

 

 

исходных

 

 

данных

 

 

Вычисление

 

 

Hи, L о, L о,

 

 

L о, Lо

 

 

Задание

 

 

n(ц)

 

< 0

0

 

α=αN

α

α =αf(n)

 

Вычисление

 

 

L, M1, K , K , K ,

 

 

MCO, MH2

 

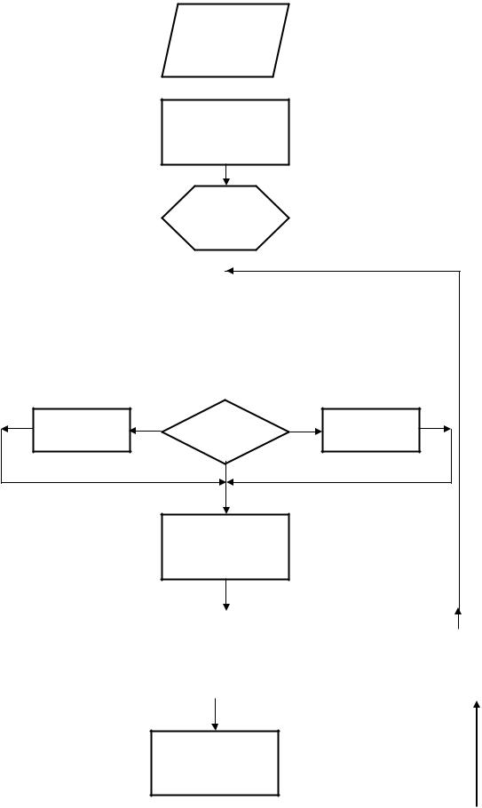
Рис. 3. Схема алгоритма теплового расчёта двигателя, работающего на природном газе (начало)

Вычисление

MH20, MN2, M2, ,

о, Sn, Wвп, Pa

 

Вычисление

 

MCO2, PrN, Pr, Tr,

 

T, φд

 

Задание

 

ε(ц)

 

 

Вычисление

 

Вычисление

 

r, Tа, ηV, (mcv) c,

 

(mcv) c, MCO2

 

Вычисление

 

(mcv) а, (mcv) а,

 

(mcv)а

 

Вычисление

 

К1,n1, Tc, ∆t,

 

(mc )

 

v c

 

< 0

> 2

tc=∆tc-5

tc

tc=∆tc+5

 

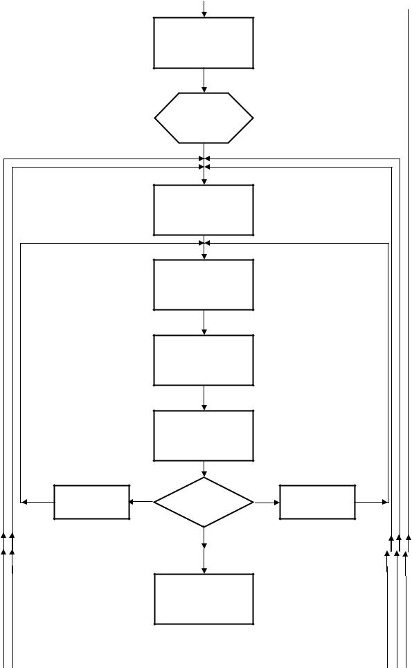
Продолжение рис. 3

 

Вычисление

 

Pc, Hu, ∆Hu, U c,

 

U c, , ξ

Вычисление

U z, A, B, tz, Tz, Pz

Вычисление

λ, (mcv) z, (mcv) b, K2, n2

Вычисление

Tb, ∆tb

< 0

 

> 2

 

tc=∆tc-5

 

tc

 

tc=∆tc+5

 

 

 

 

 

Вычисление

Pb, T r, ∆Tr

< 0

 

> 2

 

 

 

tr= tr-5

 

tr

 

tr= tr+5

 

 

 

 

 

 

 

 

 

Вычисление

P i, Pi, gi, ηi, ηV, Pe, ηм, ge, ηe

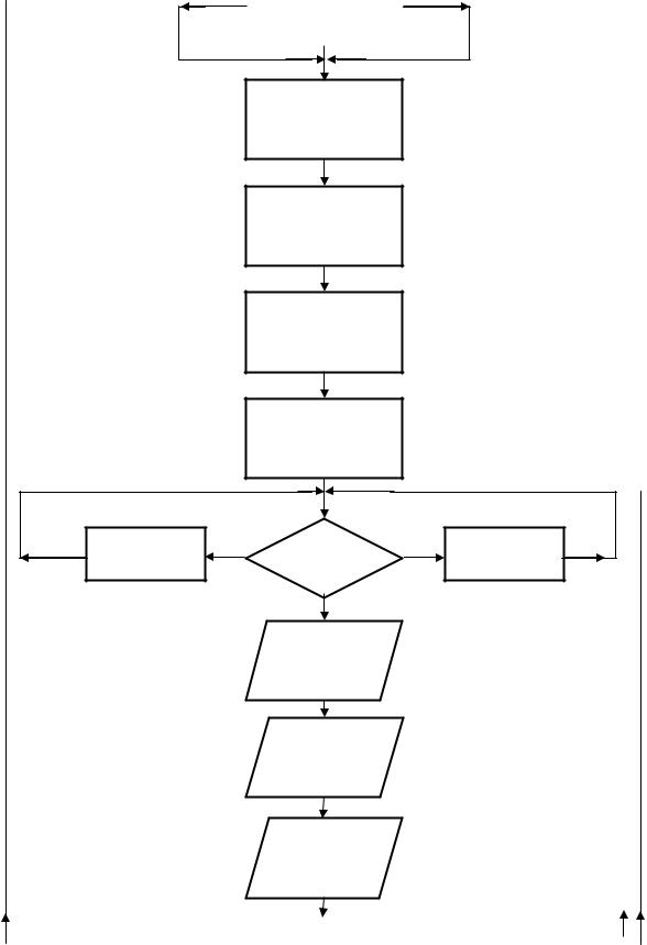
Продолжение рис. 3

n < nN

n = nN

 

n, IR

IR 1 IR=1

Вычисление

Ni, Dц, iVh

 

Вычисление

 

 

Ne, Me, GT, G T, Q,

 

Qe, qe, Qм, qм

 

 

Вычисление

 

 

(mcv) а, (mcp) а,

 

 

Qог, qог, Qw, qw

 

 

Вычисление

 

 

Qн, qн, Qs, qs, tr,

 

 

(mcv) r, (mcp) r

 

 

< 1

> 5

m=m+0,005

qs

m=m+0,005

Печатать

Pz, ge, ηe, Ne

Печатать

Me,GT,Qe,Qм

Печатать

qе, qм, qог

Продолжение рис. 3

Печатать qн,qw, qs

 

> Tmax

< Tmax

Tо=T+T

To

 

To+∆T

 

 

 

 

> nmin

n n=n-n

Выход

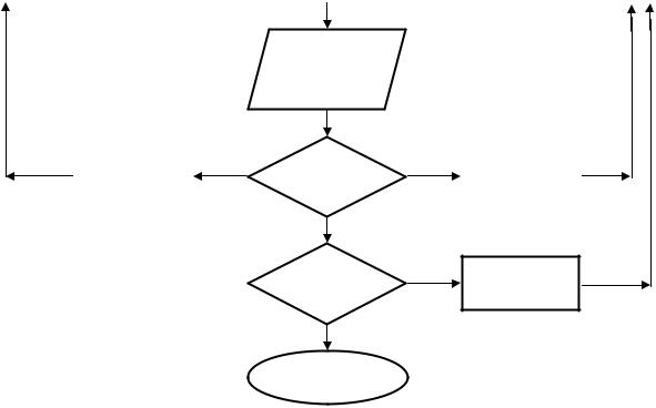
Окончание рис. 3

3.11. Программа теплового расчета двигателя, работающего на природном газе

REAL HU1,LO2,LO1,LO,AF,LT,M1,K1,K2,K3,MCO,MH2,MH,MN,MC,

*M2,B2,RO,SP,W,PA,PR1,PR,TR,DT,FD,Y,KV,MCC,MPC,MI,NE1,

*MCM,MCA,MAC,KC,NC,TC,DTC,PC,HU,DHU,TC1,UCC,UPC,KCI1,LO3,

*B,KCI,UPZ,A,TZ1,TZ,PZ1,LM,MPB,MPZ,KP,NP,N1,N2,IC,K,N4,

*TB,PB,TRI,DTR,PI1,PI,GI,KI,PM,PE,KM,GZ,KE,N3,M3,NN,MW,

*NI,DC,VHI,ME,GT,GT1,Q,QE,QE1,QM,QM1,TR1,MPR,MRP,NI1,

*MOC,MOP,QG,QG1,QW,QW1,QH,QH1,QS,QS1,MPA,MI1,NE,N

OPEN(5,FILE='ISX_DAN.DAT')

OPEN(6,FILE='REZYL.TXT')

C OPEN(7,FILE='CON')

READ (5,1)CO,H2,N1,M1,CH4,N2,M2,C2H6,N4,M3,C3H8 READ(5,3)L,M,I READ(5,5)AF1,NN,HC1,HC2,HC3,PO,TO,RB,CN,FK,BS,TRN, *FN1,DT1,S,V,TC1,KCI1,HU,TB1,MI,FI,NE1,T,IC,MW,CW,N3,K,HU1

WRITE(6,2)CO,H2,N1,M1,CH4,N2,M2,C2H6,N4,M3,C3H8

WRITE(6,4)L,M,I

WRITE(6,2)AF1,NN,HC1,HC2,HC3,PO,TO,RB,CN,FK,BS,TRN,

*FN1,DT1,S,V,TC1,KCI1,HU,TB1,MI,FI,NE1,T,IC,MW,CW,N3,K,HU1