Материал: 11_2

Внимание! Если размещение файла нарушает Ваши авторские права, то обязательно сообщите нам

08.11.2020

Тест по разделу 11

Личный кабинет / Мои курсы / ВМТ - 3 и 4 семестры / Раздел 11. Числовые и функциональные ряды / Тест по разделу 11

Вопрос 1

Верно

Баллов: 1,00 из

1,00

Вопрос 2

Верно

Баллов: 1,00 из

1,00

Вопрос 3

Верно

Баллов: 0,67 из

1,00

Найдите сумму ряда

Ответ: 2.5

 

Проверить

 

Верно

Баллы за эту попытку: 1,00/1,00.

Из перечисленных обобщенных гармонических рядов выберите все сходящиеся

Выберите один или несколько ответов:

Проверить

Верно

Баллы за эту попытку: 1,00/1,00.

Исследуйте ряд

 

с помощью признака сравнения. Сравните его с обобщенным

гармоническим рядом

. В ответе укажите число p и сделайте вывод о сходимости (расходимости)

исходного ряда.

 

 

p = 1

 

 

 

 

 

 

 

Исходный ряд

расходится

 

 

Проверить

 

 

 

 

 

 

 

 

Верно

Оценка за этот ответ: 1,00/1,00. С учетом предыдущих попыток это дает 0,67/1,00.

https://lms.spbstu.ru/mod/quiz/attempt.php?attempt=868458&cmid=18283&scrollpos=1980#q6

1/3

08.11.2020

Вопрос 4

Частично

правильный

Баллов: 0,50 из

1,00

Вопрос 5

Верно

Баллов: 1,00 из

1,00

Вопрос 6

Неверно

Баллов: 0,00 из

1,00

Вопрос 7

Верно

Баллов: 0,33 из

1,00

 

 

 

 

Тест по разделу 11

Исследуйте ряд

с помощью признака Д’Аламбера или Коши. В зависимости от выбранного

признака вычислите

или

. В ответе укажите число l и сделайте вывод о сходимости

ряда.

 

 

 

l = 1

 

 

 

 

 

 

 

 

Ряд

 

сходится

 

 

 

 

 

 

 

Проверить

Частично правильный

Оценка за этот ответ: 0,50/1,00. Эта попытка повлекла штраф: 0,33.

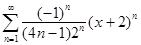
Исследуйте на сходимость знакопеременный ряд

.

Ответ: расходится

 

 

Проверить

 

 

Верно

Баллы за эту попытку: 1,00/1,00.

Найдите интервал сходимости степенного ряда В ответе укажите границы интервала (a; b)

a =

0

 

b =

1

 

Проверить

 

Неверно

Оценка за этот ответ: 0,00/1,00. Эта попытка повлекла штраф: 0,33.

Известно, что (-1; 1) интервал сходимости ряда

. Исследуйте поведение ряда на концах

интервала.

 

 

 

 

 

 

 

 

 

при x = -1

сходится условно

 

 

 

 

 

 

 

 

 

 

 

 

 

при x = 1

сходится условно

 

 

 

 

 

 

 

Проверить

 

 

 

Верно

Оценка за этот ответ: 1,00/1,00. С учетом предыдущих попыток это дает 0,33/1,00.

https://lms.spbstu.ru/mod/quiz/attempt.php?attempt=868458&cmid=18283&scrollpos=1980#q6

2/3

08.11.2020

Тест по разделу 11

Вопрос 8

Разложите функцию cos 2x в ряд по степеням х.

Верно

 

Баллов: 0,00 из

Выберите один ответ:

1,00

 

 

 

Проверить

Верно

Оценка за этот ответ: 1,00/1,00. С учетом предыдущих попыток это дает 0,00/1,00.

◄ Вопросы и задачи для самоконтроля к

Перейти на...

Тригонометрические ряды Фурье ►

главе 4

 

 

 

 

 

https://lms.spbstu.ru/mod/quiz/attempt.php?attempt=868458&cmid=18283&scrollpos=1980#q6

3/3