Материал: 1167

Внимание! Если размещение файла нарушает Ваши авторские права, то обязательно сообщите нам

были заложены в нашей стране в конце 20-х годов. Первые же производственные испытания показали эффективность применения сырых нефтей и каменноугольного дегтя различной вязкости. Изучение возмож-

ности применения для укрепления грунтов жидких и вязких нефтяных битумов было начато несколько позже.

В 1931-1934 гг. исследованиями М.М. Филатова и Н.М. Смирнова, Б.Ф. Толстопятова, В.М. Безрука было показано, что многие виды глинистых грунтов (лессовидные и покровные суглинки и др.), в том числе и гумусовые горизонты черноземов приобретают водоустойчивость, пластичность и эластичность при оптимальной добавке каменноугольных дегтей или битумов. Было установлено, что при формировании водоустойчивой структуры дегте- и битумогрунта важное значение имеет добавка воды в количестве, примерно равном добавке вяжущего материала. При этом отмечалось, что добавка каменноугольного дегтя придает укрепленному грунту несколько более высокую жесткость, чем добавка битума.

Наиболее широкое применение в нашей стране нашел способ укрепления грунтов жидкими медленногустеющими битумами. Опыт использования среднегустеющих битумов весьма невелик. Быстрогустеющие битумы для укрепления грунтов ранее не применяли.

Многочисленные и разносторонние исследования, выполненные в Союздорнии и его филиалах, МАДИ, ХАДИ, СибАДИ и других организациях, а также опыт службы дорог, построенных из грунтов, укрепленных битумами в различных природных и грунтовых условиях, позволили установить основные особенности данного способа укрепления грунтов, сформулировать требования к исходным материалам и битумогрунтам, определить область их применения.

Битумогрунт как материал для автомобильных дорог отвечает, согласно ранее приведенному перечню требований, только первым четы-

рем критериям. Отрицательными сторонами этого материала являются низкие значения модуля упругости, недостаточная тепло-, сдвиго- и водоустойчивость, что не позволяет использовать его в качестве верхних слоев оснований под покрытия из асфальтобетонных смесей.

71

4.1.3. Укрепление грунтов

комплексными вяжущими веществами

На основе исследований, выполненных С.Л. Голованенко, М.Ф. Иерусалимской, М.Т. Кострико, К.А. Князюком, Н.Ф. Сасько, Л.Н. Ястребовой и др., убедительно доказано, что наиболее эффективным и экономически выгодным является комплексное укрепление грунтов. Этот способ предусматривает активное воздействие на грунт добавок минеральных вяжущих, с последующей обработкой их нефтью, жидкими битумами, гудронами или комплексное введение органических вяжущих с улучшенными поверхностно-активными добавками характеристиками [21, 23]. Такие комплексно укрепленные грунты характеризуются также меньшей относительной деформацией по сравнению с битумоили дегтегрунтами. Поэтому использование указанных материалов для устройства дорожных покрытий облегченного типа или оснований под капитальные типы покрытий является более эффективным как в экономическом, так и в техническом отношениях, поскольку обеспечивается повышенная прочность дорожных одежд и удлиняются сроки их эксплуатации. Кроме того, применение комплексного метода укрепления позволяет расширить диапазон материалов, пригодных для устройства конструктивных слоев дорожных одежд и экономить дефицитные вяжущие вещества. Но комплексно

укрепленные грунты в конструкциях дорожных одежд используются эпизодически. Этому существует ряд причин: отсутствие необходимых машин, дороговизна вяжущих веществ, особенно цемента и битума, сравнительно высокая трудоемкость работ.

Детальные исследования Тюменского инженерно-строительного института показали, что с ростом марки применяемых вяжущих веществ эффективность этих материалов еще более увеличивается. Однако подобное повышение рекомендуется осуществлять за счет увеличения содержания в смеси минеральных вяжущих.

Известен другой путь повышения марочной прочности материалов, включающий обработку грунта 9-11% битума, а затем 2-4% цемента. Получаемый материал обладает высокой прочностью, сдвигоустойчивостью и деформативностью. Другой, разработанный в СибАДИ способ [28], включающий

72

обработку грунта вначале органическим вяжущим, содержащим 7–9% вязкого битума и 0,5–0,7% глицеринового гудрона, затем цементным раствором, содержащим 2–4% цемента и 0,3–0,5% глицеринового гудрона от массы

грунта, позволил не только улучшить основные физико-механические показатели укрепленного грунта, но и почти в 3 раза снизить истираемость такого материала.

Недостатком этих методов является относительно высокий расход дорогостоящих вязких битумов. А необходимость применения минерального вяжущего приводит к усложнению производства работ. Попытки замены битума на нефтяной гудрон приводят к снижению прочности и сдвигоустойчивости конструктивных слоев из этих материалов.

Обширные исследования проводились по применению различных нефтепродуктов типа гудрона, мазута и тяжелой нефти для устройства слоев дорожных одежд из местных грунтов и гравийно-песчаных смесей.

Широкий размах строительство дорог с нефтегравийным покрытием получило в районах Средней Азии. При этом выяснено, что наиболее эффективным для укрепления является материал, полученный смешением гравийнопесчаной смеси с местными грунтами (пылеватый суглинок).

Опыт показал, что слои дорожных одежд из грунтов и грунтогравийных материалов, обработанных нефтяными гудронами по методу смешения на дороге, работают удовлетворительно. Однако даже в первый год эксплуатации возникают деформации, образующиеся из-за пониженной вязкости гудронов и медленного формирования их структуры.

Формирование материала происходит в результате испарения легких фракций гудрона, его полимеризации и окисления. Для ускорения процессов формирования целесообразно применение окисленных гудронов путем воздействия на них высокой температуры (120–160°С) и кислорода, продуваемого воздуха. В результате чего происходит сгущение гудрона.

Для окисления гудронов разработано несколько типов окислительных уста-

новок, позволяющих получать из не окисленных гудронов материал, близкий по показателям к дорожным битумам.

Но этот способ не всегда эффективен, так как в значительной степени свойства получаемого вяжущего зависят от свойств битумного сырья, кроме этого

73

окисление ведется только в стационарных установках, что осложняет его применение в отдаленных районах строительства.

Однако возможность применения гудронов для целей укрепления грунтов

представляется все же весьма эффективной в связи с малой их стоимостью.

4.1.4. Влияние вяжущего

на свойства укрепленных грунтов

Проверка пригодности полученного вяжущего для целей укрепления грунтов осуществлялась на суглинке при изменении содержания песчаных частиц.

Из рис. 4.3 видно, что общая закономерность изменения прочности водонасыщенных образцов из укрепленного грунта от содержания в последнем песчаных частиц имеет максимум, приходящийся на содержание песка в грунте, соответствующему легким суглинкам. В то же время обращает на себя внимание факт, заключающийся в сравнительно небольшой разнице между экстремальными значениями прочностей песчаного и тяжелосуглинистого грунта. Это обстоятельство позволяет предположить возможность применения полученного вяжущего для укрепления грунтов широкой разновидности.

Рис. 4.3. Влияние процентного содержания в тяжелом суглинке песка

на R сж вод образцов из укрепленного грунта (при Х2 = 8,0% и Х3 = 30 мин.).

74

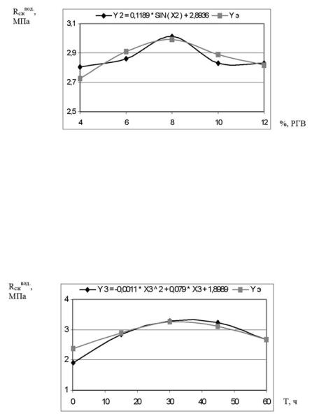
Рис. 4.4. Влияние процентного содержания вяжущего на R сж вод

образцов из тяжелого суглинка (при Х1 = 0% и Х3 = 30 мин.).

Графическая зависимость 4.3 указывает, прежде всего, на то, что зона максимума приходится на очень узкий интервал расхода вяжущего, что потребует более тщательной его дозировки в укрепляемый грунт. Это можно объяснить наличием в вяжущем энергетических центров, которые вызывают синергетический эффект только в узком диапазоне содержания в данном грунте исследуемого вяжущего.

Рис. 4.5. Влияние технологического перерыва между приготовлением и уплотнением смеси на Rсжвод образцов из битумогрунта (при Х1 = 50% и

Х2 = 8%).

75