09.11.2020 |
Тест по разделу 10 |
Личный кабинет / Мои курсы / ВМТ - 3 и 4 семестры / Раздел 10. Интегральное исчиcление функций нескольких переменных / Тест по разделу 10
Вопрос 1
Верно
Баллов: 0,50 из
1,00
Вопрос 2
Верно
Баллов: 1,00 из
1,00
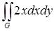
Перейдите от двойного интеграла |
к повторному, если область G изображена на рисунке. |
Введите пределы интегрирования
α = |
0 |
|
|
|
|
|
|
|
β = |
2 |
|
|
|
|
|
|
|
γ = |
0 |
|
|
|
|
|
|
|
δ = |
2 – x |
|
|
|
|
Проверить
Верно
Оценка за этот ответ: 1,00/1,00. С учетом предыдущих попыток это дает 0,50/1,00.
Вычислите двойной интеграл |
0.333 |
|
Проверить
Верно
Баллы за эту попытку: 1,00/1,00.
https://lms.spbstu.ru/mod/quiz/attempt.php?attempt=868948&cmid=18282&scrollpos=1488#q3 |
1/3 |
09.11.2020 |
Тест по разделу 10 |
Вопрос 3 |
В двойном интеграле |
сделайте замену переменных, перейдя к полярной системе координат. |
Верно |
||
Баллов: 0,20 из |
Вставьте пропущенное |
|
1,00 |
|
|
|
|
|
|
|
|
α = |
π |
|
β = |
2π |
|
γ = |
0 |
|
δ = |
–sinφ |
|
ctg φ )rdr
r |
r2 |
tg φ |
|
|
|
–2cosφ |
2cosφ |
π/2 |
2sinφ |
–π/2 |
cosφ |
3π/2 |
–2sinφ |
|
|
|
|
Проверить |
|
|
|
|
|
Вопрос 4
Не завершено Балл: 1,00
Вопрос 5
Не завершено Балл: 1,00
Верно
Оценка за этот ответ: 1,00/1,00. С учетом предыдущих попыток это дает 0,20/1,00.
Вычислите двойной интеграл
, предварительно перейдите к полярным координатам.
Ответ: 
Проверить
Найдите объем тела, ограниченного поверхностями, заданными уравнениями z = x2 + y2 + 5, z = x2 + y2 + 2, x2 + y2 = 1 ответ: 
Проверить
https://lms.spbstu.ru/mod/quiz/attempt.php?attempt=868948&cmid=18282&scrollpos=1488#q3 |
2/3 |
09.11.2020
Вопрос 6
Верно
Баллов: 1,00 из
1,00
Вопрос 7
Не завершено
Баллов: 0,00 из
1,00
Тест по разделу 10
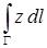
Вычислите криволинейный интеграл первого рода
по кривой Ответ:
Проверить
Верно
Баллы за эту попытку: 1,00/1,00.
Найдите работу, совершаемую силой |
при перемещении материальной точки вдоль кривой Г y |
=2x2 Началом пути является точка А(0; 0), конец пути – точка В(1; 2) Ответ: 
Проверить
Неверно
Оценка за этот ответ: 0,00/1,00. Эта попытка повлекла штраф: 0,33. Итоговый штраф на текущий момент: 0,67.
◄ Вопросы и задачи для самоконтроля к |
Перейти на... |
Рекомендуемая литература ► |
главе 1 |
|
|
|
|
|
|
|
https://lms.spbstu.ru/mod/quiz/attempt.php?attempt=868948&cmid=18282&scrollpos=1488#q3 |
3/3 |