Я́сельда (Ясольда) (белор. Ясельда, Ясольда) — река в Брестской области Беларуси, левый приток Припяти. Длина реки — 250 км, площадь её водосборного бассейна — 7790 км². Среднегодовой расход воды в районе устья — 35,8 м³/с. Исток восточнее Беловежской пущи, проходит через озёра Споровское и Мотольское. Ледостав обычно с конца ноября по конец марта. Ясельда соединена Огинским каналом со Щарой (бассейн Немана), а через Пину и Днепровско-Бугским каналом с рекой Мухавец (бассейн Западного Буга). Ясельда и притоки канализованы.
На Ясельде расположены город Берёза, посёлок Мотоль.
У истока является административная граница Брестской и Гродненской областей.
Водосбор узкий (тип V), вытянут с севера на юго-восток, более развит по правобережью. Расположен в пределах Полесской заболоченной и облесенной равнины. Верхняя часть несколько приподнятая, имеет мелкохолмистый рельеф, в нижней встречаются лишь отдельные песчаные бугры. Водораздел средней и нижней частей слабо или совсем не выражен. Леса смешанные, большей частью заболоченные. Наибольшие массивы сосредоточены в центральной и по левобережью нижней части водосбора. Болота преобладают низинные; правобережные, в нижнем течении являются восточной окраиной большого, частично осушенного массива “ Гричино”. Грунты до с. Каплановичи суглинистые, ниже песчаные и торфянистые, толщина слоя торфа до 5 м. Грунтовые воды залегают неглубоко – от20 см до 1 м. На водосборе производятся осушительные работы.
Режим реки изучался на 3 постах, из которых пост у с. Локтыши действует в настоящее время.
Долина до с. Бурдейки ящикообразная, хорошо разработанная, на остольном протяжении неясно выраженная, лишь на отдельных коротких промежутках трапецеидальная. Ширина 1-1,5 км, наибольшая 7 км у с. Пузичи. Склоны пологие и очень пологие, высотой 2-3 м, на большем протяжении сливаются с прилегающей местностью, часто заболеченные.
Пойма двухсторонняя, между с. Рубеж и с. Рыбаки правобережная. Ширина 0,5-1 км, наибольшая 6 км у ур. Липки, наименьшая 50 м на участке от с. Заречье до с. Вишенка. Поверхность ровная, нередко кочковатая, местами пересечена староречьями и осушительными канавами, заболоченная, поросла кустарником и болотной растительностью. Грунты торфяные, изредка супесчаные и песчаные, между г. Клецк и с. Яновичи суглинистые. Затопляется слоем воды 0,3-1 м на срок 15-20 дней.
Таблица 1.1 Природно-экономическая характеристика бассейна реки Ясельда.
|
Показатели |
Единицы измерения |
Расчетный створ 2 |
|
1. Валовая площадь бассейна реки, |
тыс. га |
219 |
|
В том числе: |
|
|
|
1.1 Сельхоэугодия |
%/тыс.га |
60/131,4 |
|
1.2 Лес |
%/тыс.га |
30/65,7 |
|
1.3 Кустакник |
%/тыс.га |
5/10,95 |
|
1.4 Прочие земли |
%/тыс.га |
5/10,95 |
|
2. Фонд переувлажненных земель |
%/тыс.га |
10/21,9 |
|
3. Мелиорированные земли |
|
26,28 |
|
3.1 Осушаемые |
%/тыс.га |
15/19,71 |
|
3.2 Орошаемые |
%/тыс.га |
5/6,57 |
|
4. Земли, требующие противоэрозийных мероприятий |
|
0,079 |
|
4.1 Лесозащитных |
%/тыс.га |
0,01/0,013 |
|
4.2 Закрепление песков и оврагов |
%/тыс.га |
0,05/0,066 |
Таблица 1.2 Технико-экономическая характеристика бассейна реки Ясельда.
|
Показатели |
Единицы измерения |
Расчетный створ 2 |
|
1. Площадь водосбора |
тыс.га |
219 |
|
2. Численность населения всего, в том числе: |
%/тыс.га |
36 /78,84 |
|
2.1 Сельского |
%/тыс.га |
24/52,56 |
|
2.2 Городского |
%/тыс.га |
12/26,28 |
|
3. Общественных мест: |
|
|
|
3.1 В школах |
%/тыс.га |
8/6,31 |
|
3.2 В больницах |
%/тыс.га |
0,9/0,71 |
|
3.3 В банях |
%/тыс.га |
0,4/0,32 |
|
3.4 В общежитиях |
%/тыс.га |
0,4/0,32 |
|
4. Животноводческий сектор: |
|
|
|
4.1 КРС |
гол./га//тыс.ед. |
0,06/0,079 |
|
4.2 Молодняк КРС |
гол./га//тыс.ед. |
0,02/0,026 |
|
5. Машинотракторный парк: |
|
|
|
5.1 Автомашин |
ед./га.//тыс.ед. |
0,5/0,66 |
|
5.2 Тракторов |
ед./га.//тыс.ед. |
0,5/0,66 |
Таблица 1.3: Располагаемые (Р=75% и Р=95%) расчетные водные ресурсы бассейна реки Ясельда на 2020 год.
|
Расчетный створ |
Площадь водосбора
|
Обеспеченность |
Средне годовой слой стока
|
Годовой объем стока |
Распределение стока по месяцам млн. м3 |
|||||||||||
|
F, тыс.га |
Р, % |
H, мм |
W, млн. м3 |
1 |
2 |
3 |
4 |
5 |
6 |
7 |
8 |
9 |
10 |
11 |
12 |
|
|
2 |
219 |
75 |
215 |
470,85 |
25,43 |
12,24 |
185,04 |
100,29 |
48,97 |
16,01 |
7,53 |
6,12 |
4,71 |
5,65 |
11,77 |
47,09 |
|
95 |
160 |
350,40 |
18,92 |
9,11 |
137,71 |
74,64 |
36,44 |
11,91 |
5,61 |
4,56 |
3,50 |
4,20 |
8,76 |
35,04 |
||
Определение объемов потребления воды различными участниками ВХК проводится по их техническим показателям и нормам удельного водопотребления (приложения 3 и 4). При этом учитываются неравномерность потребления воды в отдельных отраслях в течение года (орошение), применение водосберегающих и экологически чистых систем, технологии и ряд других факторов. Годовые объемы водопотребления и его распределение по месяцам заносят в табл. 2.1.
Коммунально-бытовой сектор. Объемы воды для коммунально-бытового снабжения населения определяются по заданной численности сельского (Nс) и городского (Nг) населения, по нормам водопотребления на одного жителя qк.б., зависящим от степени благоустроенности района жилой застройки. Годовой объем:
,
тыс.м3 (2.1)
Wк.в.г = 365*275*26,28*1.1*10-3=2901,64 , тыс.м3
где t – число дней в году;
qк.6, Ni – норма водопотребления и численность соответственно сельского и городского населения, л/сут и тыс. чел .;
k – коэффициент, учитывающий культурно-бытовые расходы воды населенных пунктов (столовые, душевые, орошение газонов, уборка улиц и т.д.). Принимаем k = 1,1.
Следовательно месячный объем:
,
тыс.м3 (2.2)
,
тыс.м3
Потребление воды в общественных местах (школах, больницах, банях и пр.) определяется по формуле (2.1):
,тыс.м3 (2.3)
где qi, Ni – норма и число мест i-гo потребителя, л/сут и тыс. мест.
В дальнейших расчетах объемы потребления воды в общественных местах можно суммировать.
Сельскохозяйственное водоснабжение. В сельскохозяйственном водоснабжении выделяют:
а) животноводческий сектор:
,
тыс.м3 (2.4)
где Wж, - годовая потребность в воде определенного вида сельскохозяйствен-ных животных, птиц, рыб, тыс.м3 ;
qж – норма водопотребления i-гo вида, л/сут на 1 ед.;
Ni – численность животных, тыс.;
k – принимается равным 1,1;
б) машинно-тракторный парк:
,
тыс.м3
(2.5)
где Wмт – потребность в воде на содержание, обслуживание или ремонт тракторного, автомобильного парков, ремонтных мастерских, тыс.м3;
qмт – норма водопотребления на единицу, л/сут;
Ni – количество мест на стоянке или в мастерских, тыс.шт.;
k – принимается равным 1,10;
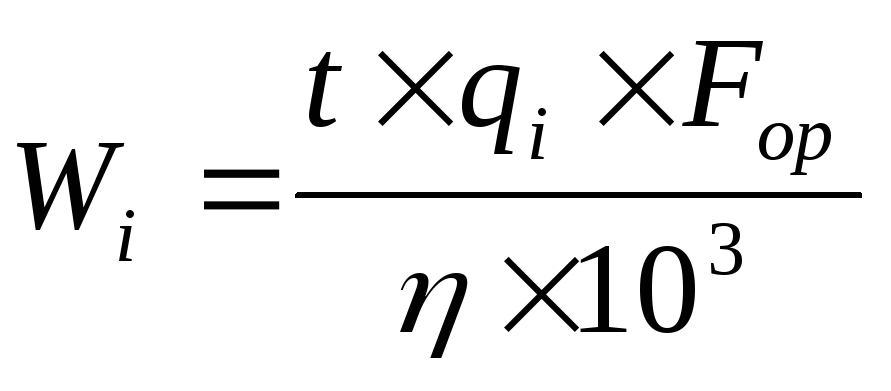
в) орошение определяется по заданной площади Fop (тыс. га) и ординатам графика гидромодуля q, (л/с на 1 га) с учетом КПД (η) оросительной системы по следующей формуле:
,
тыс.м3
(2.6)
где Wi – месячная потребность в воде на орошение, тыс. м3;
t – количество секунд в месяце (t =2,63 × 1O6);
η = 0,85 — для оросительных систем дождевания.
Водоснабжение местной промышленности. К местной промышленности относятся предприятия по переработке сельскохозяйственного сырья (мяса, молока, зерна, овощей, шерсти и т. д.) или по выпуску строительных изделий из песка, гравия, глины и других местных строительных материалов (железобетон, кирпич, шифер и т. д.).
Объем потребляемой воды в местной промышленности:
,
тыс.м3 (2.7)
где Wпр – годовое потребление воды i-гo вида промышленности, тыс.м3;
Bдр – программа промышленного предприятия (т, м и т. д.) за расчётный период (сут., месяц, год);
t – количество расчетных периодов в году (365, 12, 1);
k – принимается равным 1,10.
qпр – норма водопотребления, л/сут на единицу продукции.
Водоотведение. Объем возвратных вод в расчетном створе определяется исходя из объема водопотребления отраслью (Wпотр), места размещения водозабора, сброса сточных вод и с учетом их безвозвратных потерь по формуле:
,
тыс.м3 (2.8)
где αi – коэффициент возврата, который может быть ориентировочно принят для коммунально-бытового водоснабжения 0,8, сельскохозяйственного (исключая орошение) - 0,75, орошения - 0,15, промышленности - 0,85. Результаты расчетов водоотведения сводятся в табл. 2.2.
Таблица 2.1 Водопотребление участников ВХК бассейна р.Ясельда на расчетный 2020 год, тыс.м3.
|
Водопотребители |
Водоотведение по месяцам |
за год |
|||||||||||
|
1 |
2 |
3 |
4 |
5 |
6 |
7 |
8 |
9 |
10 |
11 |
12 |
||
|
1 |
2 |
3 |
4 |
5 |
6 |
7 |
8 |
9 |
10 |
11 |
12 |
13 |
14 |
|
1. комунально-бытовое |
|
|
|
|
|
|
|
|
|
|
|
|
|
|
1.1 городское |
241,80 |
241,80 |
241,80 |
241,80 |
241,80 |
241,80 |
241,80 |
241,80 |
241,80 |
241,80 |
241,80 |
241,80 |
2901,64 |
|
1.2 сельское |
52,76 |
52,76 |
52,76 |
52,76 |
52,76 |
52,76 |
52,76 |
52,76 |
52,76 |
52,76 |
52,76 |
52,76 |
633,09 |
|
1.3 общ.мест |
11,21 |
11,21 |
11,21 |
11,21 |
11,21 |
11,21 |
11,21 |
11,21 |
11,21 |
11,21 |
11,21 |
11,21 |
134,53 |
|
итого |
305,77 |
305,77 |
305,77 |
305,77 |
305,77 |
305,77 |
305,77 |
305,77 |
305,77 |
305,77 |
305,77 |
305,77 |
3669,26 |
|
2.оршение |
|
|
|
|
4065,67 |
8131,34 |
12197,01 |
8131,34 |
4065,67 |
|
|
|
36591,04 |
|
3. животнов. Сектор |
|
|
|
|
|
|
|
|
|
|
|
|
|
|
3.1 КРС |
0,42 |
0,42 |
0,42 |
0,42 |
0,42 |
0,42 |
0,42 |
0,42 |
0,42 |
0,42 |
0,42 |
0,42 |
5,06 |
|
итого |
0,42 |
0,42 |
0,42 |
0,42 |
0,42 |
0,42 |
0,42 |
0,42 |
0,42 |
0,42 |
0,42 |
0,42 |
5,06 |
|
4 машино-тракторн.парк |
|
|
|
|
|
|
|
|
|
|
|
|
|
|
4.1 автомашины |
5,28 |
5,28 |
5,28 |
5,28 |
5,28 |
5,28 |
5,28 |
5,28 |
5,28 |
5,28 |
5,28 |
5,28 |
63,31 |
|
4.2 тракторы |
4,84 |
4,84 |
4,84 |
4,84 |
4,84 |
4,84 |
4,84 |
4,84 |
4,84 |
4,84 |
4,84 |
4,84 |
58,03 |
|
итого |
10,11 |
10,11 |
10,11 |
10,11 |
10,11 |
10,11 |
10,11 |
10,11 |
10,11 |
10,11 |
10,11 |
10,11 |
121,34 |
|
5. предприятия |
|
|
|
|
|
|
|
|
|
|
|
|
|
|
5.1 молокозавод |
64,24 |
64,24 |
64,24 |
64,24 |
64,24 |
64,24 |
64,24 |
64,24 |
64,24 |
64,24 |
64,24 |
64,24 |
770,88 |
|
5.2.маслосырзавод |
100,38 |
100,38 |
100,38 |
100,38 |
100,38 |
100,38 |
100,38 |
100,38 |
100,38 |
100,38 |
100,38 |
100,38 |
1204,50 |
|
5.3 хлебозавод |
3,35 |
3,35 |
3,35 |
3,35 |
3,35 |
3,35 |
3,35 |
3,35 |
3,35 |
3,35 |
3,35 |
3,35 |
40,15 |
|
5.4 сахарный завод |
4,350 |
4,350 |
4,350 |
4,350 |
4,350 |
4,350 |
4,350 |
4,350 |
4,350 |
4,350 |
4,350 |
4,350 |
52,195 |
|
5.5 кирпичный завод |
1,34 |
1,34 |
1,34 |
1,34 |
1,34 |
1,34 |
1,34 |
1,34 |
1,34 |
1,34 |
1,34 |
1,34 |
16,06 |
|
5.6 ЖБИ |
1,51 |
1,51 |
1,51 |
1,51 |
1,51 |
1,51 |
1,51 |
1,51 |
1,51 |
1,51 |
1,51 |
1,51 |
18,07 |
|
итого |
175,15 |
175,15 |
175,15 |
175,15 |
175,15 |
175,15 |
175,15 |
175,15 |
175,15 |
175,15 |
175,15 |
175,15 |
2101,85 |
|
всего |
491,46 |
491,46 |
491,46 |
491,46 |
4557,13 |
8622,80 |
12688,47 |
8622,80 |
4557,13 |
491,46 |
491,46 |
491,46 |
42488,55 |