Признаком фиктивного банкротства является наличие у должника возможности удовлетворить требования кредиторов в полном объеме на момент обращения должника в арбитражный суд с заявлением о признании его несостоятельным (банкротом).
Для установления наличия (отсутствия) признаков банкротства определяется обеспеченность краткосрочных обязательств должника его оборотными активами:

При
у предприятия наблюдаются признаки
фиктивного банкротства. При
– признаки фиктивного банкротства
отсутствуют.
ABC анализ основан на принципе Вильфредо Парето, «когда 20% усилий дают 80% вклада в результат».
Классический ABC анализ делит весь ассортимент предприятия на 3 группы, в зависимости от вклада:
группа А – на долю которых приходится 50% вклада в результат
группа B – на долю которых приходится 30% вклада в результат
группа C – на долю которых приходится 20% вклада в результат
Этапы ABC анализа:
определение объекта анализа ассортимента
определение единицы измерения
определение суммарного значения показателя товарооборота
определение удельного веса ассортиментных групп в общем результате
распределение объектов анализа в порядке убывания их доли
определение границ групп матрицы анализа ассортимента
построение кривой ABC
Пример:
Описание ассортимента предприятия
|
№ |
Наименование группы |
Тыс. рублей |
Удельный вес (%) |
Группа |
|||
|
1 |
Яйцо |
900 |
1,67 |
С (20%) |
|||
|
2 |
Безалкогольные напитки |
1 100 |
2 |
С |
|||
|
3 |
Масло |
1 200 |
2 |
С |
|||
|
4 |
Вкусовые товары (чай и т.д.) |
1 300 |
2,4 |
С |
|||
|
5 |
Овощи |
1 500 |
2,8 |
С |
|||
|
6 |
Хлеб |
1 700 |
3 |
С |
|||
|
7 |
Фрукты |
1 700 |
3,2 |
С |
|||
|
8 |
Молочные продукты |
2 200 |
4 |
B |
|||
|
9 |
Кондитерские изделия |
2 500 |
4,6 |
B (до 30%) |
|||
|
10 |
Гастрономия |
2 600 |
4,8 |
B |
|||
|
11 |
Замороженные продукты |
3 100 |
5,8 |
B |
|||
|
12 |
Бакалея |
3 300 |
6 |
B |
|||
|
13 |
Табак |
3 400 |
6,3 |
B |
|||
|
14 |
Консервы |
3 500 |
6,5 |
A (до 50%) |
|||
|
15 |
Рыба |
3 900 |
7 |
A |
|||
|
16 |
Мясо |
4 500 |
8 |
A |
|||
|
17 |
Слабоалкогольные (пиво) |
6 500 |
12 |
A |
|||
|
18 |
Алкоголь |
9 000 |
16,7 |
A |
|||
|
|
53 900 |
100% |
|
||||
Принцип проведения данного анализа заключается в том, что ассортимент предприятия разделяется на 3 группы в зависимости от прогнозируемости спроса:
группа X – спрос на который стабилен и легко прогнозируем
группа Y – спрос на который стабилен и легко прогнозируем
группа Z – спрос колеблется существенно, прогнозируемость затруднена (сезонные товары)
Критерием отнесения ассортиментной группы к группе XYZ является коэффициент вариации спроса:

Где xi – i значение спроса по исследуемой позиции
x̅ - среднее значение спроса
n – период времени за который производится оценка



|
№ |
Наим. ассорт. гр. |
V |
Группа |
Удельный вес |
||||
|
ABC |
XYZ |
I кв. |
II кв. |
III кв. |
IV кв. |
|||
|
1 |
2 |
3 |
4 |
5 |
6 |
7 |
8 |
9 |
|
|
|
|
|
|
|
|
|
|
|
|
|
|
|
|
|
|
|
|
|
|
|
|
|
|
|
|
|
|
Кадровый состав предприятия регулируется трудовым договором, коллективным трудовым договором, стандартами предприятия, положениями и другими нормативными документами. На предприятии должны быть утверждено:
1) Правила внутреннего трудового распорядка для сотрудников, которые представляют собой локальный нормативный акт организации, регламентирующий соответствие с трудовым кодексом РФ и иными НПА;
2) Порядок приема и увольнения работников;
3) Основные права, обязанности и ответственности сторон трудового договора;
4) Режим работы и времени отдыха, применяемые к работникам;
5) Меры поощрения и взыскания.
А также иные вопросы регулирования трудовых отношений у данного работодателя.
Трудовые правоотношения возникают в результате подписания соглашения о работе (трудовом договоре), по которому работник обязан выполнять любые задания работодателя в рамках оговоренной специальности. Т.е. осуществлять полностью определенные операции и функции, прописанные в его должностных обязанностях / инструкциях.
Трудовой кодекс РФ определяет трудовой договор следующим образом – это соглашение между работодателем и работником, в соответствии с которым работодатель обязуется предоставить работнику работу по обусловленной трудовой функции, обеспечить условия труда, предусмотренные трудовым законодательством и иными НПА (содержащими нормы трудового права, коллективным договором), соглашениями, локальными нормативными актами и данным соглашением, своевременно и в полном размере выплачивать работнику з/п, а работник обязуется лично выполнять определенную этим соглашением трудовую функцию, соблюдать правила внутреннего трудового распорядка, действующего у работодателя.
Процесс движения кадров на предприятии характеризуется следующими показателями:
Обеспеченность предприятия трудовыми ресурсами – это отношение фактического наличия персонала предприятия к требуемому количеству

Коэффициент приема кадров представляет собой отношение числа принятых работников за период времени к среднесписочной численности работников за тот же период

Коэффициент увольнения (текучести) кадров представляет собой отношения количества уволенных работников за период времени к среднесписочной численности работников за тот же период

Коэффициент стабильности кадров характеризует стабильность персонала предприятия. К постоянно работающему персоналу относятся те сотрудники, которые отработали на данном предприятии 5 лет и более

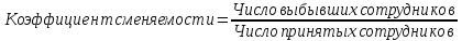
Коэффициент сменяемости кадров – это отношение количества выбывших сотрудников к количеству принятых за период времени

Коэффициент суммарного оборота по персоналу – это отношение суммы количества принятых и выбывших работников за определенный период к среднесписочной численности за тот же период

Пример.
|
№ |
Наименование |
2014 |
2015 |
2016 |
Отклонение (+/-) |
Темп роста (%) |
|||||
|
15/14 |
16/15 |
16/14 |
15/14 |
16/15 |
16/14 |
||||||
|
1 |
Плановая численность |
18 |
18 |
19 |
0 |
1 |
1 |
100 |
105,55 |
105,55 |
|
|
2 |
Фактическая численность |
16 |
15 |
17 |
-1 |
2 |
1 |
93,75 |
113,33 |
106,25 |
|
|
3 |
Среднесписочная численность |
16 |
15 |
17 |
-1 |
2 |
1 |
93,75 |
113,33 |
106,25 |
|
|
4 |
Принято |
3 |
5 |
7 |
2 |
2 |
4 |
166,6 |
140,00 |
233,33 |
|
|
5 |
Уволено по собственному желанию |
1 |
2 |
3 |
1 |
1 |
2 |
200 |
150 |
300 |
|
|
6 |
Уволено за нарушение трудовой дисциплины |
2 |
2 |
4 |
0 |
2 |
2 |
100 |
200 |
200 |
|
|
7 |
Коэффициент обеспеченности |
0,889 |
0,833 |
0,895 |
-0,056 |
0,061 |
0,006 |
|
|
|
|
|
8 |
Коэффициент приема |
0,188 |
0,333 |
0,412 |
0,146 |
0,078 |
0,224 |
|
|
|
|
|
9 |
Коэффициент увольнения |
0,188 |
0,267 |
0,412 |
0,079 |
0,145 |
0,224 |
|
|
|
|
|
10 |
Коэффициент стабильности |
0,813 |
0,733 |
0,588 |
-0,079 |
-0,145 |
-0,224 |
|
|
|
|
|
11 |
Коэффициент сменяемости |
1,000 |
0,800 |
1,000 |
-0,200 |
0,200 |
0,000 |
|
|
|
|
|
12 |
Коэффициент суммарного оборота по персоналу |
0,375 |
0,600 |
0,824 |
0,225 |
0,224 |
0,449 |
|
|
|
|
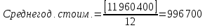
Дано:
Стоимость – 880 тыс. руб.
Введено 3.03 – 120 тыс. руб., 1.08 – 90 тыс. руб.
Выбыло 1.10 – 67 тыс. руб.
Найти стоимость на конец года и среднегодовую стоимость.
Стоимость на конец года = 880 000 + 120 000 + 90 000 – 67 000 = 1 023 000
Способы:






1 СОК – собственный оборотный капитал. СОК = СК – ВА (т.е. собственный капитал – внеоборотные активы) = III – II > 0