Первоначальная стоимость = 550 000 * 1,75% = 9 625 + 550 000 = 587 625 рублей.
разница между стоимостью первоначальной и общей суммой исчисленного износа
Первоначальная стоимость = 587 625 рублей.
Срок полезного использования = 11 лет
Найти остаточную стоимость после 4х лет эксплуатации и общую стоимость износа.



сумма денежных средств, которые нужно затратить для приведения ОФ в их первоначальное состояние в ценах текущего периода
стоимость снятых с производства ОФ (годных строительных материалов, агрегатов и т.д.)
Зачастую на предприятии требуется определить стоимость его материально-технической базы на моментную дату. Для этого применяется показатель стоимость ОФ на конец года.

Для корректного определения налога на имущество и начисления амортизационных отчислений применяется показатель среднегодовой стоимости ОФ (учитывает движение ОФ в течение года), который рассчитывается следующими способами:
,
где
Кн – количество полных месяцев с момента ввода ОФ до конца года
Км1 – количество полных месяцев с момента выбытия ОФ до конца года
,
где
-
суммарная стоимость ОФ на первое число
каждого месяца, начиная с февраля (i=2)
и заканчивая декабрем (n=12)
,
где
– суммарная стоимость ОФ на первое
число каждого месяца, начиная с января
(i=1) и заканчивая январем
следующего года (n=13)

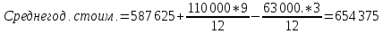
Пример 1.
Первоначальная стоимость = 587 625
Введено 1.04: 110 000 рублей
Выбыло 9.09: 63 000 рублей
Определить стоимость на конец года и среднегодовую стоимость ОФ.
Способы:






Пример 2.
Сумма ОФ на начало года = 2 200 000 рублей
Введено:
1.02 – 80 000
5.05 – 120 000
10.10 – 57 000
Выбыло:
23.03 – 41 000
1.11 – 34 000
Определить стоимость на конец года и среднегодовую стоимость (всеми способами)
Стоимость на конец года = 2 200 000 + 80 000 + 120 000 + 57 000 – 41 000 – 34 000 = 2 382 000 руб.
|
№ |
Введено |
Выбыло |
||
|
Сумма |
Дата |
Сумма |
Дата |
|
|
|
80 000 |
1.02 |
41 000 |
23.03 |
|
|
120 000 |
5.05 |
34 000 |
1.11 |
|
|
57 000 |
1.10 |
|
|
Способы нахождения среднегодовой стоимости:




Показатели эффективности использования ОФ
Фондоотдача
характеризует объем оборота (выручки) или выпуска продукции, приходящийся на один рубль основных фондов.
Фондоотдача = Оборот продукции / Среднегодовая стоимость ОФ
Фондоемкость
характеризует величину стоимости основных фондов, приходящихся на один рубль оборота или оборота по продукции собственного производства.
Фондоемкость = 1 / Фондоотдача
Фондовооруженность
показывает степень обеспеченности персонала основными фондами.
Фондовооруженность = Среднегодовая стоимость ОФ / Среднесписочная численность персонала
Коэффициент обновления
характеризует интенсивность ввода в действие ОФ и показывает долю вновь введенных в эксплуатацию ОФ в общей стоимости ОФ на конец отчетного периода.
Коэффициент обновления = Введенные ОФ / Стоимость ОФ на конец года
Коэффициент выбытия
показывает какая доля ОФ выбыла за отчетный период из-за износа или ветхости.
Коэффициент выбытия = Стоимость выбывших ОФ / Стоимость ОФ на начало года
Коэффициент прироста
свидетельствует о росте ОФ в результате их обновления.
Коэффициент прироста = (Стоимость введенных ОФ – Стоимость выбывших ОФ) / Стоимость ОФ на начало года
Интенсивность обновления
показывает степень обновляемости ОФ.
Интенсивность обновления = Выбывшие ОФ / Введенные ОФ
Рентабельность ОФ
характеризует эффективность использования ОФ на предприятии.
Рентабельность ОФ = Валовая прибыль / Среднегодовая стоимость ОФ * 100%
Коэффициент износа
показывает степень изношенности ОФ
Коэффициент износа = Сумма исчисленного износа / стоимость первоначальная (восстановительная), либо на начало года
Коэффициент годности
показывает степень эксплуатации
Коэффициент годности = Остаточная стоимость / стоимость первоначальная (восстановительная)
Коэффициент износа + Коэффициент годности = 1 (либо 100%, если в процентах)
Пример:
Дано:
Стоимость основных фондов на начало года = 2 200 000 рублей
Введено = 257 000 рублей
Выбыло = 75 000 рублей
Стоимость на конец года = 2 382 000 рублей
Среднегодовая стоимость (II способ) = 2 324 000 рублей
Срок полезного использования = 21 год, среднесписочная численность – 27 человек
Оборот продукции = 38 000 000 рублей
Валовая прибыль = 23% от оборота продукции = 8 740 000
Найти остаточную стоимость после 16 лет эксплуатации и общую стоимость исчисленного износа.
Фондоотдача = 38 000 000 / 2 324 000 = 16,35
Фондоемкость = 1 / 16,35 = 0,0611
Фондовооруженность = 2 324 000 / 27 = 86 074
Коэффициент обновления = 257 000 / 2 382 000 = 0,1078
Коэффициент выбытия = 75 000 / 2 200 000 = 0,03409
Коэффициент прироста = (257 000 – 75 000) / 2 200 000 = 0,0827
Интенсивность обновления = 75 000 / 257 000 = 0,2918
Рентабельность ОФ = 8 740 000 / 2 324 000 * 100% = 3,76%
Общая стоимость исчисленного износа = 2 200 000 / 21 * 16 = 1 676 190
Остаточная стоимость = 2 200 000 – 1 676 190 = 523 810
Коэффициент износа = 1 676 190 / 2 200 000 = 0,762
Коэффициент годности = 523 810 / 2 200 000 = 0,238
Проверка: 0,762 + 0,238 = 1
Затраты на реализационный процесс:
Затраты на приобретение форменной одежды
Транспортные издержки
Затраты на рекламу (ТВ, радио, интернет, печатная)
Оплата труда персонала
Коммунальные расходы (без газа, двойной счетчик)
Услуги связи, интернет
Амортизация
Затраты на хозяйственные нужды
|
Показатель |
Расчет |
Характеристики |
|
Показатели ликвидности |
||
|
Коэффициент общей ликвидности |
|
Коэффициент текущей ликвидности характеризует ожидаемую платежеспособность предприятия в период, равный продолжительности оборота всех оборотных средств. Нормальное значение >2 |
|
Коэффициент быстрой ликвидности |
|
Показывает, какую часть долгов предприятие способно погасить достаточно быстро. Оптимальное значение >1 (0,7 – 0,8) |
|
Коэффициент абсолютной ликвидности |
|
Показывает, какую часть долгов предприятие способно погасить в течение 2-3 дней. Оптимальное значение >0,2 |
|
Чистый оборотный капитал |
|
Наличие ЧОК подтверждает ликвидность активов предприятия (должен быть >0) |
|
Показатели оборачиваемости |
||
|
Коэффициент оборачиваемости оборотных активов |
|
Показывает эффективность с которой фирма использует все активы для достижения главной цели – выпуска продукции |
|
Коэффициент оборачиваемости всех активов |
|
Показывает эффективность, с которой фирма использует текущие (оборотные) активы для достижения главной цели – выпуска продукции |
|
Коэффициент оборачиваемости основных производственных средств и нематериальных активов |
|
Показывает эффективность, с которой фирма использует основные производственные средства для достижения главной цели – выпуска продукции |
|
Коэффициент оборачиваемости запасов |
|
Средняя скорость, с которой запасы переходят в дебиторскую задолженность в результате продажи конечного продукта. Используется как индикатор ликвидности запасов |
|
Коэффициент оборачиваемости дебиторской задолженности |
|
Средняя скорость погашения дебиторской задолженности за период. Показывает сколько раз в году предприятие считается «живыми» деньгами |
|
Коэффициент оборачиваемости кредиторской задолженности |
|
Средняя скорость погашения дебиторской задолженности за период. Показывает сколько раз в году предприятие расплачивается с кредиторами |
|
Показатели рентабельности продукции. Оценка эффективности управления |
||
|
Чистая прибыль на 1 р. продаж |
|
Характеризует долю прибыли в объеме продаж |
|
Рентабельность от всей реализации |
|
Позволяет определить долю фиксированных издержек в прибыли |
|
Общая рентабельность (валовая маржа) |
|
Позволяет определить долю фиксированных издержек в прибыли |
|
Показатели рентабельности предприятия |
||
|
Общая рентабельность предприятия |
|
Оценивает способность фирмы получать наилучшие результаты на активы предприятия без учета метода финансирования этих активов и эффективности метода налогового планирования |
|
Чистая рентабельность предприятия |
|
Оценивает способность фирмы получать наилучшие результаты на активы предприятия без учета метода финансирования этих активов, но с учетом метода налогового планирования |
|
Чистая рентабельность собственного капитала |
|
Характеризирует взаимосвязь прибыли и инвестиций. Позволяет оценить прибыль на собственный капитал и сравнить его значение с тем, которое было бы получено при альтернативном использовании капитала |
Финансовая устойчивость предприятия характеризуется системой абсолютных и относительных показателей, оценивающих обеспеченность запасов товарно-материальных ценностей источниками их формирования. Вычисление этих показателей позволит квалифицировать финансовые ситуации по степени устойчивости.
Существует четыре вида финансовой устойчивости:
Абсолютная финансовая устойчивость:
1
Нормальная финансовая устойчивость:

Неустойчивое финансовое положение:

Критическое финансовое положение (банкротство):

Финансовая устойчивость в долгосрочном периоде характеризуется относительными показателями:
коэффициентом автономии

коэффициентом финансовой зависимости

где ЗК – заёмный капитал
коэффициентом маневренности

коэффициентом обеспеченности запасов

приростом суммы собственного оборотного капитала, означающий финансовую устойчивость предприятия
