При реконструкции подстанции произведем замену ячеек КРУН на ячейки К-59 со следующими параметрами:
- номинальное напряжение (линейное) 10 кВ;
наибольшее рабочее напряжение 12 кВ;
номинальный ток главных цепей КРУН 630; 1000; 1600 А;
номинальный ток сборных шин 1000; 1600; 2000; 3150 А;
Условия обслуживания КРУН: двухстороннее;
вид изоляции: воздушная, комбинированная.
КРУН К-59 имеет различные климатические
исполнения как наружной так и внутренней установки, по условиям эксплуатации
выбираем вариант исполнения КРУН для умеренного климата К-59 У1 (У3)
1.2 Выбор режима нейтрали
Нейтралями электроустановок называют общие точки обмотки генераторов или трансформаторов, соединенные в звезду.
Вид связи нейтралей машин и трансформаторов с землей в значительной степени определяет уровень изоляции электроустановок и выбор коммутационной аппаратуры, значения перенапряжений и способы их ограничения, токи при однофазных замыканиях на землю, условия работы релейной защиты и безопасности в электрических сетях, электромагнитное влияние на линии связи и т. д.
В зависимости от режима нейтрали электрические сети разделяют на четыре группы:
) сети с незаземленными (изолированными) нейтралями;
) сети с резонансно-заземленными (компенсированными) нейтралями;
) сети с эффективно-заземленными нейтралями;
) сети с глухозаземлёнными нейтралями.
В России к первой и второй группам относятся сети напряжением 3 - 35 кВ, нейтрали трансформаторов или генераторов которых изолированы от земли или заземлены через заземляющие реакторы.
Сети с эффективно-заземленными нейтралями применяют на напряжение выше 1 кВ. В них коэффициент замыкания на землю не превышает 1,4. Коэффициентом замыкания на землю называют отношение разности потенциалов между неповрежденной фазой и землей в точке замыкания на землю поврежденной фазы к разности потенциалов между фазой и землей в этой точке до замыкания. В соответствии с рекомендациями Международного электротехнического комитета (МЭК) к эффективно-заземленным сетям относят сети высокого и сверхвысокого напряжения, нейтрали которых соединены с землей непосредственно или через небольшое активное сопротивление. В России к этой группе относятся сети напряжением 110 кВ и выше.
К четвертой группе относятся сети напряжением 220, 380 и 660 В.
Режим работы нейтрали определяет ток замыкания на землю. Сети, в которых ток однофазного замыкания на землю менее 500 А, называют сетями с малыми токами замыкания на землю (в основном это сети с незаземленными и резонансно-заземленными нейтралями).
Токи более 500 А соответствуют сетям с большими токами замыкания на землю (это сети с эффективно-заземленными нейтралями).
На П/С «Прогресс» линии 35кВ и 10 кВ относятся к группе с незаземлённой нейтралью. Преимущество этой группы в том что, при однофазных замыканиях на землю в сетях с незаземленной нейтралью треугольник линейных напряжений не искажается, поэтому потребители, включенные на междуфазные напряжения, продолжают работать нормально. Далее в посёлке на ТП-10/0.4 на линиях применяются сети с глухозаземлёнными нейтралями.
При замыкании на землю одной из фаз высоковольтной сети, работающей с изолированной нейтралью, к месту заземления стекаются емкостные токи двух других, неповрежденных фаз всего электрически связанного участка сети. При металлическом (глухом) заземлении фазы напряжение между заземленной фазой и «Землей» падает до нуля, а напряжение двух других фаз относительно «земли» повышается в 1,73 раза, достигая значения полного линейного напряжения. Так как заземление фазы редко бывает металлическим, то в точке заземления обычно возникает дуга, которая при значительной величине емкостного тока (порядка 5А и выше) может гореть длительно, причиняя разрушения в точке заземления, кроме того, перемежающая дуга, являясь источником перенапряжений, может привести к пробою изоляции неповрежденных фаз и тем вызвать двухфазное замыкание на землю.
Для гашения дуги необходимо уменьшить ток в точке заземления, что может быть достигнуто компенсацией емкостного тока сети индуктивным током, который сдвинут относительного емкостного на 180о. Для надежного гашения дуги следует подбирать величину индуктивного тока приблизительно равной емкостному току сети. Для этой цели служит заземляющая реактивная катушка с железным сердечником, находящаяся в баке с маслом. Катушка включается между нулевым выводом силового трансформатора и землей. При металлическом однополюсном заземлении сети, на катушку ложится полное фазное напряжение, что вызывает протекание в точке заземления индуктивного тока, компенсирующего емкостной ток замыкания на землю.
Для измерения величины индуктивного тока при изменении протяженности участка сети защищаемого катушкой, необходимо изменить самоиндукцию катушки (менять настройку). Для этого служит переключатель числа витков, расположенный на крышке бака катушки. При настройке катушки в резонанс (точное равенство емкостного тока сети с компенсирующим током катушки) создаются наилучшие условия для гашения дуги (ток в точке заземления мал) при полной симметрии емкостей в сети. Однако существующая всегда некоторая не симметрия емкостей в сети вызывает смещение электрической нейтрали, перекос фазных напряжений и повышение напряжения в нейтрали трансформатора и на катушке. Чтобы избежать значительного перекоса фазных напряжений задается некоторая растройка в сторону перекомпенсации (до 5%).
1.3 Выбор рационального напряжения
Комплекс главных вопросов при проектировании системы электроснабжения поселка «Прогресс» наряду с выбором общей схемы питания и определением целесообразной мощности силовых трансформаторов включает в себя выбор рациональных напряжений для схемы, поскольку их величинами определяются параметры линий электропередачи и выбираемого электрооборудования подстанций и сетей, а следовательно, размеры капиталовложений, расход цветного металла, величина потерь электроэнергии и эксплуатационные расходы.
Вблизи территории поселка «Прогресс» расположена Райчихинская ГРЭС, которая осуществляет выдачу своей мощности потребителям с шин 6, 35, 110. 220 кВ, поэтому рациональным напряжением для питания понизительной подстанции является 35 кВ, что подтверждается расстоянием до источника питания передаваемой мощностью.
Следует отметить, что вопросу нахождения величины нестандартного рационального напряжения аналитическим путем за рубежом уделяют большое внимание. В зарубежной практике предложены следующие выражения для величины нестандартного рационального напряжения.
В американской практике применяется
формула Стилла
U= 4,34 √l+ 16Р, кВ,
где Р - передаваемая мощность, тыс. кВт;
l - расстояние, км.
Формула Стилла была преобразована С.
Н. Никогосовым и приведена к более удобному виду:
U=164√Pl, кВ
1.4 Выбор опор
Проектирование конструктивной части воздушной линии основывается на проекте электрической части линии (выборе номинального напряжения, марок проводов), специальном изучении метеорологических и геологических условий на трассе линии, с учетом экологических требований. Проектирование конструктивной части осуществляется с применением унифицированных опор и фундаментов, стандартных марок проводов, тросов, линейной арматуры и изоляторов.
Опоры воздушных лини электропередачи могут выполняться:
железобетонные;
стальные;
деревянные;
опоры из сплавов алюминия.
Для питающих нашу подстанцию линий 35 кВ принимаем стальные опоры У35-2+5, условное обозначение АУ-2Ц-СТ-С, предназначенные для установки на двухцепной линии с проводами АС-120/19.
Основные конструктивные элементы опор
изготавливаются из стали марки ВМСт3. Наиболее нагруженные части опор могут
изготавливаться из низколегированных сталей. Отливки для некоторых узлов опор
производятся из ковкого чугуна. Для конструктивных растяжек (оттяжек) опор
применяются стальные оцинкованные канаты матки ТК, свитые из 19 или 37
проволок. Части (секции) опор подвергаются заводской горячей оцинковки для
защиты от коррозии; сборка опор, а также соединение отдельных готовых секций
производится с помощью болтовых соединений.
.5 Выбор схемы подстанции
Подстанция «Прогресс» предназначена для питания
потребителей крупного района, так же по шинам 35 кВ подстанции осуществляется
транзит мощности на подстанцию «Н-Райчиха». Роль подстанций определяет ее схему.
Поэтому подстанция «Прогресс» является отпаечной на стороне 35 кВ и установка
выключателей на питающих линиях 35 кВ не требуется. Установка разъединителей и
заземляющих разъединителей необходима для обеспечения безопасности при ремонте
линий. Питание потребителей от распределительного устройства 10 кВ
осуществляется по одиночным линиям. Поскольку основная категория потребителей
относится к третьей группы по степени надежности электроснабжения. С учетом
возможного увеличения количества присоединений при развитии потребителей
предусмотрим в распределительного устройстве 10 кВ резервные ячейки. Для
повышения надежности электроснабжения потребителей, оперативной гибкости,
ремонтопригодности секционируем распределительного устройство 10 кВ
выключателем на две секции с питанием каждой от своего понижающего
трансформатора.
.6 Выбор трансформаторов собственных нужд
Выбор мощности трансформатора собственных нужд определяется нагрузкой потребителей:
подогрев приводов масляных выключателей 35 кВ;
подогрев ячеек КРУН-10 кВ;
подогрев выключателей 35 кВ;
освещение;
питание цепей сигнализации.
Исходя из существующей нагрузки на подстанции «Прогресс» установлен масляный трансформатор собственных нужд ТМ-30 мощностью 30 кВА. В связи с реконструкцией подстанции и увеличением нагрузки собственных нужд (увеличение числа ячеек КРУН) выбираем для установки более мощный трансформатор ТМ-63 мощностью 63 кВА.
1.7 Назначение оперативного тока
На подстанции применяется оперативный переменный
ток, поскольку установлены выключатели с пружинно-грузовым приводом, управление
и защита которых выполнена на переменном токе. Источником оперативного
переменного тока служит силовой трансформатор собственных нужд. Главной
особенностью системы оперативного переменного тока является зависимость ее от
состояния сети переменного тока, где имеют место колебания напряжения или даже
полное исчезновение напряжения.
2. Производственно-техническая часть
2.1 Определение нагрузки на
подстанции
Суммарная нагрузка подстанции определяется суммой декабрьских нагрузок на всех фидерах (присоединениях). От этого расчета зависят исходные данные для выбора всех элементов подстанции и денежные затраты при установке, монтаже и эксплуатации выбранного электрооборудования.
По данным Восточных электрических сетей Амурского
филиала ОАО «ДРСК» суммарная нагрузка подстанции
«Прогресс» составляет 10000 кВА.
.2 Выбор силовых трансформаторов
Наиболее часто на подстанциях устанавливают два трансформатора. В этом случае при правильном выборе мощности трансформаторов обеспечивается надежное электроснабжение потребителей даже при аварийном отключении одного из них.
Необходимо учесть, чтобы при выводе одного из
трансформаторов в ремонт или выходе из строя оставшийся трансформатор взял всю
нагрузку. Срок службы трансформаторов составляет 25 лет. Из этого при выборе
трансформатора следует учесть рост электрической нагрузки. Ориентировочно
увеличим расчетную мощность на 10%.
кВА(1)
В аварийных режимах допускается
кратковременная перегрузка трансформатора сверх номинального тока при всех
системах охлаждения, независимо от длительности и значения предшествующей
нагрузки и температуры охлаждающей среды. В следующих пределах для масляных
трансформаторов перегрузка по току 30% в течение 120 минут
Определим коэффициент загрузки
трансформаторов. Кз ≈ 0,55 ÷ 0,75
(2)
По расчетам выбираем трансформатор ТДН - 10000/35.
Выбор более мощных трансформатор обоснован как постоянно растущей нагрузкой, так и сроком службы установленных трансформаторов с 1975года.
Определим действительный коэффициент
загрузки

(3)
Проверяем работу подстанции в
аварийном режиме при выходе одного трансформатора из строя.
(4)
Необходимо выполнение условия:Sавар.тр ≥ Sр10
13000 ≥ 11000
Так как условие соблюдается не нужно отключать электроприёмники 3 категории.
Окончательно принимаем трансформатор
ТДН - 10000/35 с параметрами: UВН=36,75кВ, UНН=10,5кВ, РХ=12кВт,
РКЗ=60кВт, UК ВН-НН=8%, IХХ=0,75%.
2.3 Определение потерь мощности в силовых
трансформаторах
Подстанция «Прогресс» запитывается по двум
воздушным линиям электропередачи 35 кВ. Для расчета воздушных линий
электропередачи необходима мощность протекающая по одной линии.
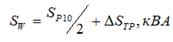
(5)
где
- суммарные потери мощности в
трансформаторе, кВА.
Рассчитаем суммарные потери мощности
в трансформаторе:
(6)
Суммарные потери активной мощности в
трансформаторе
, состоят из
потерь холостого хода и нагрузочных потерь, зависящих от фактической нагрузки
трансформатора S.
(7)
где Р0 - потери на перемагничивание стали и вихревые токи.
Ркз - потери при коротком замыканий, зависят от загрузки трансформатора.
Рассчитаем активные потери:
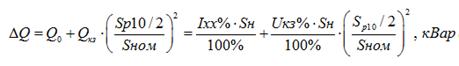
Суммарные потери реактивной мощности
в трансформаторе
:
(8)
где
- ток холостого хода
трансформатора, %;
- напряжение короткого замыкания,
%.
Рассчитаем реактивные потери
Рассчитаем суммарные потери трансформатора:
Мощность протекающая по одной линии будет
.4 Расчет питающей линии
Порядок расчёта ВЛ.
1. Определяем расчётный ток ВЛ
в нормальном режиме
. Определяем экономическое сечение ВЛ.
. Выбираем гостовское
экономическое сечение (
приводим к
ГОСТа)