Федеральное агентство железнодорожного транспорта
Федеральное государственное бюджетное образовательное учреждение
высшего образования
«Петербургский государственный университет путей сообщения Императора Александра I» (ФГБОУ ВО ПГУПС)
Кафедра «Железнодорожный путь»
Практическое задание №1
«Устройство рельсовой колеи в прямых участках пути»
«Рельсовая колея в кривых участках пути. Определение оптимальной ширины колеи»
Выполнил:
Студент гр. СЖД-504
Руденко Р.В.
Принял:
Ст. пр.
Ермолаев Е.В.
СПб
2017
Устройство рельсовой колеи в прямых участках пути.
Характеристика локомотива:
Локомотив ВЛ10 (Владимир Ленин, тип 10, до 1962 — Т8 — Тбилисский 8-осный) — советский магистральный грузопассажирский электровоз постоянного тока, выпускавшийся Тбилисским (ТЭВЗ) и Новочеркасским(НЭВЗ) электровозостроительными заводами с 1961 по 1977 годы. Создан с использованием части электрооборудования электровозов ВЛ8, по экипажной части и кузовам унифицирован с электровозами ВЛ80. Послужил основой для электровозов ВЛ11 и опытного ВЛ12. С середины 1960-х основной грузовой электровоз постоянного тока железных дорог Союза ССР. Самая массовая модель в ряду электровозов постоянного тока НЭВЗ и ТЭВЗ. Радиус колеса по кругу катания – 625 мм. Локомотив имеет 2-2 колесную формулу. Длина жёсткой базы равна 3000 мм. Поперечные разбеги крайних тележек 1,0 мм.

Рис.1 Полная L и жесткая Lо база экипажа
Колёсная пара состоит из стальной оси, на которую наглухо насажены колёса с бандажами, имеющими для предотвращения схода с рельсов направляющие гребни. Сечение стандартного бандажа локомотивной колёсной пары показано на рис.2. Внешняя поверхность имеет специальный профиль, состоящий из гребня, основной поверхности с каноничностью 1:20 и боковой поверхности с коничностью 1:7, а также торцевой фаски под углом 45°.

Рис. 2 поперечный профиль локомотивного колеса
Ширина колеи:
В соответствии с ПТЭ (Правила технической эксплуатации) ширина колеи 1520мм. Величины отклонений от номинальных размеров ширины колеи, не требующие устранений, на прямых и кривых участках пути не должны превышать по сужению -4 мм, по уширению +8 мм. Ширина колеи менее 1511 мм и более 1548 мм не допускается.
Подуклонкой рельсов называется их наклон внутрь колеи по отношению к верхней плоскости шпал. Она устраивается для центральной передачи усилия от колёс на рельсы. Величина подуклонки принята равной коничности бандажей, т.е. 1/20. Подуклонка обеих рельсовых нитей в прямых должна быть не менее 1/60 и не более 1/12. На деревянных шпалах подуклонка рельсов обеспечивается укладкой клинчатых подкладок, а на железобетонных шпалах – соответствующим наклоном поверхности шпал в зоне опирания рельсов.
Рельсовая колея в кривых участках пути. Определение оптимальной ширины колеи.
Ширина колеи на кривых участках:
При движении железнодорожного экипажа по кривым возникают дополнительные по сравнению с прямыми участками силы взаимодействия пути и подвижного состава: центробежная сила, направленная наружу кривой; вертикальный перегруз одной из рельсовых нитей и недогруз другой; радиальное давление, приложенное к рельсу наружной нити со стороны реборды колеса передней оси жёсткой базы экипажа; сила ветра, которая в отдельных случаях может оказывать значительное воздействие на путь и подвижной состав. Для снижения воздействия этих сил в кривых участках устраивается возвышение наружного рельса, между прямыми и круговыми кривыми устраиваются переходные кривые.
Для облегчения вписывания тележек подвижного состава в кривых с радиусами менее 350м необходимо устраиваться уширение рельсовой колеи.
В кривых участках подуклонка наружных рельсов должна быть не менее 1/60 и не более 1/12, а внутренней нити в кривых при возвышении наружного рельса свыше 85мм – не менее 1/30 и не более 1/12.
Ширина рельсовой колеи в кривых определятся из условий вписывания тележек подвижного состава (жёсткой базы) в кривые соответствующего радиуса. В табл. 1 приведены нормы ширины колеи в кривых в зависимости от радиуса согласно ПТЭ.
Таблица 1
Нормативные размеры ширины колеи
|
План пути |
Ширина колеи, мм, при шпалах |
|
|
Деревянных |
Железобетонных |
|
|
Прямые и кривые радиуса R≥350 м |
1520 |
1520 |
|
Кривые R=349…300 м |
1530 |
- |
|
Кривые R≤299 м |
1535 |
- |
Для кривой радиуса 350 м по ПТЭ при деревянном подрельсовом основании ширина колеи равняется 1520 мм. Для прямой используется возвышение наружного рельса, наличие переходных кривых и укладка укороченных рельсов при звеньевой конструкции.
Вписыванием подвижного состава в кривую называется установившееся при движении в кривой положение колёсных пар жёсткой базы относительно рабочих граней рельсовых нитей. В зависимости от длины жёсткой базы, радиуса кривой и ширины колеи вписывание может быть свободным, принудительным и заклиненным.
При свободном вписывании наблюдается минимальное силовое взаимодействие ходовых частей подвижного состава и колеи с наименьшими износами рельсов, колёс и затратами энергии на движение.
При заклиненном вписывании колёсные пары жёсткой базы тележек не имеют никакой поперечной свободы, вследствие чего создаются неблагоприятные условия взаимодействия подвижного состава и рельсовой колеи в кривой. В нормальных условиях эксплуатации заклиненное вписывание не допускается.
Ширину колеи целесообразно определять из двух расчётных схем, отображающих два крайних случая. Принудительное положение экипажа является промежуточным.
Определение оптимальной ширины колеи
За расчётную схему определения оптимальной ширины колеи принимают схему свободного вписывания, при которой железнодорожный экипаж своим наружным колесом передней оси жёсткой базы прижимается к наружному рельсу кривой, а задняя ось жёсткой базы занимает радиальное положение. При этом центр вращения экипажа находится на пересечении радиуса с продольной геометрической осью экипажа.

Оптимальная ширина колеи Sопт мм, определяется по формуле:
Sопт = qmax + f н - ζ+4,
где qmax – максимальный размер колёсной пары, мм;
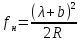
f н – стрела изгиба наружной рельсовой нити, мм, измеренная от хорды AB, определяемая по формуле:

где R – радиус кривой по оси пути, мм;
– расстояние от центра вращения тележки
до геометрической оси первой колёсной
пары, равное в данном случае длине
жёсткой базы L0,
мм;
b – расстояние в плане от геометрической оси первой колёсной пары до точки касание гребнем колеса головки рельса, определяемое по формуле:

Здесь r – радиус колеса по кругу катания, мм;
– угол наклона рабочей поверхности
гребня колеса к горизонту; для локомотивов
=70о
;
4 – допуск на сужение колеи;
ζ – геометрическая величина, которая возникает при вписывания как двухосных, так и трёхосных экипажей с поперечными разбегами осей и которая в зависимости от величины ∑η и соотношения между f в может принимать различные значения.
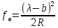
f в – стрела изгиба внутренней рельсовой нити, мм, измеренная от хорды A1B1 ; определяется по формуле:

Т.к. ∑η=0, то ζ=0, т.е. вписывание происходит при отсутствии поперечных разбегов. В этом случае Sопт = qmax+ fн+4
Расчёты:




Вывод:
Sопт
SПТЭ
,
то принимаем нормативную ширину колеи,
т.к. вписывание в условиях оптимальной
ширины колеи обеспечено.