.
Вычисляем центральные моменты инерций шатунов:
кг
.
Вычисляем главные моменты инерций шатунов:
Н
;
Н
.
2.2 Силовой расчет диады 4-5
Составляем уравнение равновесия диады 4-5:

Выбираем масштабный коэффициент плана сил диады 4,5:
H/мм.
На плане сил:






Для
определения
составим
дополнительное уравнение равновесия:
.
.
;
мм.
Из плана сил определяем:



2.3 Силовой расчет диады 2-3
Составляем уравнение равновесия диады 2-3:

Для
определения
составим
дополнительное уравнение равновесия:
.
.
H;
мм.
Из плана сил определяем:




2.4 Силовой расчет кривошипа
Выделяем из механизма кривошип и рассматриваем его в равновесии.

Из плана сил определяем:


2.5 Определение уравновешивающей силы с помощью рычага Жуковского
Для определения уравновешивающей силы методом Жуковского поворачиваем план скоростей на 90о.






Определим расхождение результатов в определении уравновешивающей силы методом Жуковского и методом планов сил.
;

2.6 Определение угловых скоростей в кинематических парах
Определяем угловые скорости во вращательных кинематических парах

6..




2.7 Определение потерь мощности
Мгновенную потребляемую мощность без учета потерь мощности на трение определяем соотношением:

Мощность привода, затрачиваемая на преодоление силы полезного сопротивления, равна:

Потери мощности на трение во вращательных кинетических парах:





где rц = 0.0175 м – радиус цапфы;
'
= 0.21 – коэффициент трения.
Потери мощности на трение в поступательных кинематической паре


Суммарная мощность сил трения.


Мгновенная потребная мощность двигателя

Кинетическая энергия механизма равна сумме кинетических энергий звеньев с заданными массами:


За звено приведения выбираем кривошип. Кинетическая энергия кривошипа опишется таким образом:

Приведенный момент инерции подсчитаем из условия равенства кинетических энергий механизма и звена приведения.
Тмех= Тпр ,
отсюда

Исходные данные:
1. Число зубьев шестерни z5 = 8
2. Число зубьев колеса z6 = 26
3. Модуль m =3 мм
угол профиля a = 20°
коэффициент высоты головки ha* = 1
коэффициент радиального зазора с* =0,25
1. Суммарное число зубьев
z = z5 + z6 = 8+26 =34.
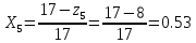
2. Минимальные коэффициенты смещения


3. Угол профиля исходного контура = 20
4. Угол зацепления = w=20
5. Делительное межосевое расстояние


6. Межосевое расстояние aw = a = 51 мм
7. Делительная высота головки зуба
ha5 = m( ha* + Х5 )=3(1+0.53)=4.59 мм.,
ha6 = m( ha* + Х6 )=3(1-0.53)=1.41 мм.
8. Делительная высота ножки зуба
hf5 = m( ha* + c* - x5 ) =3(1+0.25-0.53)= 2.16 мм.,
hf6 = m( ha* + c* - x6 ) =3(1+0.25+0.53)= 5,34 мм.
9. Высота зуба
h5 = h6 = h = 2.25m = 2.25·3=6.75 мм.
10. Делительные диаметры
d5 = m · z5 = 3 · 8 = 24 мм.,
d6 = m · z6 = 3 · 26 = 78 мм.
11. Основной диаметр
db5 = m · z5 · cos = 3·8·cos20=22.55 мм.,
db6 = m · z6 · cos =3·26·cos20=73.29 мм.
12. Начальный диаметр
dw5 = d5 = 24 мм.,
dw6 = d6 =78 мм.
13.Диаметр вершин зубьев
da5 = m · z5 + 2m( ha* + X5 ) = 3·8+2·3·(1+0.53)=33.18 мм.,
da6 = m · z6 + 2m( ha* + X6 ) = 3·26+2·3·(1-0.53)=80.82 мм.
14.Диаметр впадин зубьев
df5 = m·z5- 2m( ha* + c*- X5) = 3·8-2·3·(1+0.25-0.53)=19.68 мм.,
df6 = m·z6 - 2m( ha* + c* - X6) = 3·26-2·3·(1+0.25+0.53)=67.32 мм.
15.Начальная толщина зуба и делительная толщина зуба
S5 = 0.5m + 2mX5tg = 0.5·3.14·3+2·3·0.53·tg20=5.86 мм.,
S6 = 0.5m + 2mX6tg = 0.5·3.14·3+2·3·(-0.53)·tg20=3.55 мм.
16. Основная толщина зуба


17. Угол профиля по окружности вершин


18. Толщина зуба по окружности вершин


19. Делительный шаг
Р = · m = 3.14 · 3= 7.85 мм.
20. Основной шаг
Рb = · m · сos = 3.14·3·cos20=7.38мм.
20. Радиус кривизны галтели
= 0.38 · m =0.38·3= 0.95 мм.
21. Начальный шаг
.
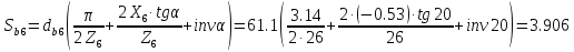
Проверка коэффициента торцового перекрытия


коэффициент торцового перекрытия графически:
ℰa
=
;
ℰa
=
= 1,45;
погрешность:
∆
=
⋅
100 %;
∆
=
⋅
100 % = 1 % < 5 %.