Материал: Захаров, Сайфутдинов - Вычислительная техника

Внимание! Если размещение файла нарушает Ваши авторские права, то обязательно сообщите нам

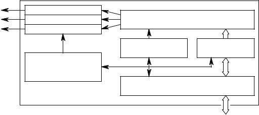
Синхросигналы строчной и кадровой разверток, а также сигналы управления яркостью лучей формируются видеоконтроллером, часто называемым видеокартой, или видеоадаптером. Основным компонентом видеокарты (рис. 8.9) является память, где хранятся передаваемые процессором числа, характеризующие каждый пиксель монитора. Цифроаналоговые преобразователи преобразуют эти числа в аналоговые сигналы, необходимые для работы монитора. Для ускорения процесса обработки видеоданных и разгрузки при этом центрального процессора ЭВМ современные видеокарты имеют свой собственный видеопроцессор.

Красный

ЦАП для красного

 

 

Зеленый

ЦАП для зеленого

Внутренняя шина видеокарты

Синий

ЦАП для синего

 

 

 

 

Видеопроцессор

Видеопамять

 

Синхронизация

 

 

 

и управление

 

 

 

 

Шинный интерфейс

 

Рис. 8.9. Структура видеоконтроллера

 

Минимальный размер видеопамяти определяется количеством цветов и разрешающей способностью монитора. Так, для представления на мониторе 16,7 млн цветов (цвет каждого пикселя задается 24-разрядным числом) с разрешающей способностью 640 480 пикселей необходимый объем видеопамяти равен 0,9 Мбайт, при разрешающей способности 800 600 пикселей – 1,4 Мбайт.

Газоразрядные и жидкокристаллические дисплеи. Такие дисплеи часто на-

зывают панелями. Газоразрядную панель образуют два плоскопараллельных стекла, между которыми размещены миниатюрные газоразрядные элементы. В инертном газе газоразрядного элемента под действием управляющих сигналов, формируемых микропроцессором устройства синхронизации и подаваемых на прозрачные электроды одного или обоих стекол, возникает разряд с ультрафиолетовым излучением. Это излучение вызывает свечение нанесенного на переднее или заднее стекло люминофора одного цвета черно-белой панели или люминофоров красного, зеленого или синего цветов цветной панели.

176

Основой жидкокристаллической панели служат также две плоскопараллельные стеклянные пластины. На одну из них нанесены прозрачные горизонтальные и вертикальные токопроводящие электроды. В местах их пересечения укреплены пленочные транзисторы, два вывода которых соединены с электродами на стекле, а третий образует обкладку конденсатора. Вторую пластину конденсатора представляет прозрачный металлизированный слой на второй стеклянной пластине, расположенной параллельно первой на расстоянии, измеряемом микронами. Между пластинами помещено органическое вещество (жидкий кристалл), поворачивающее под действием электрического поля плоскость поляризации проходящего через него света. С двух сторон панели укреплены поляроидные пленки (поляризующие), плоскости поляризации которых повернуты на 90° относительно друг друга.

Растр телевизионного изображения формируется сигналами, генерируемыми устройством синхронизации и подаваемыми на электроды стеклянных пластин. При подаче на эти электроды напряжения в точке их пересечения конденсатор заряжается и возникает электрическое поле между соответствующими обкладками конденсатора. В зависимости от величины напряжения изменяется угол поляризации жидкого кристалла между обкладками конденсатора. При отсутствии напряжения и соответственно электрического поля жидкий кристалл поворачивает угол поляризации света от лампы подсветки на 90°, в результате чего свет свободно проходит через поляроидные пленки. В зависимости от напряжения на обкладках конденсатора угол поляризации может изменяться от 90° до 0°, а прозрачность ячейки панели — от максимальной до непропускания света. Панель цветного дисплея содержит красный, зеленый и синий светофильтры, образующие триаду элемента разложения изображения.

Плоские панели имеют преимущества перед вакуумными кинескопами по техническим параметрам, экологической безопасности и сроку службы. Экран современных жидкокристаллических мониторов (панелей) с разрешением 1280 1024 имеет до 5 млн точек, каждая из которых управляется собственным транзистором. Такие мониторы занимают в 2—3 раза меньше места, чем мониторы с ЭЛТ, во столько же раз легче, потребляют гораздо меньше электроэнергии и не излучают электромагнитных волн, воздействующих на здоровье людей.

177

Принтеры

Печатающие устройства (принтеры) — это устройства вывода данных из компьютера, преобразующие ASCII-коды и битовые последовательности в соответствующие им символы и фиксирующие их на бумаге.

Матричные принтеры

В матричных принтерах изображение формируется из точек ударным способом. В игольчатых (ударных) матричных принтерах печать точек осуществляется тонкими иглами, ударяющими бумагу через красящую ленту. Каждая игла управляется собственным электромагнитом. Печатающий узел перемещается в горизонтальном направлении листа, и знаки в строке печатаются последовательно. Многие принтеры выполняют печать как при прямом, так и при обратном ходе. Количество иголок в печатающей головке определяет качество печати.

Достоинства матричных принтеров: низкая стоимость расходных материалов для него, возможность одновременной печати нескольких копий.

Недостатки: невысокие качество и скорость печати, а также шум при печати.

Струйные принтеры

Струйные принтеры в печатающей головке вместо иголок имеют тонкие трубочки – сопла, через которые на бумагу выбрасываются мельчайшие капельки красителя (чернил). Матрица печатающей головки обычно содержит от 12 до 64 сопел (дюз).

Технически процесс распыления состоит в том, что в стенку сопла встроен электрический нагревательный элемент, температура которого при подаче электрического импульса резко возрастает за 5–10 мкс. Все чернила, находящиеся в контакте с нагревательным элементом, мгновенно испаряются, что вызывает резкое повышение давления, под действием которого чернила выстреливаются из сопла на бумагу. После «выстрела» чернильные пары конденсируются, в сопле образуется зона пониженного давления и в него всасывается новая порция чернил. Технологии термической пузырьковой печати придерживается большинство фирм-производителей принтеров, в том числе Canon, Hewlett-Packard, Lexmark и т. д.

Лазерные принтеры

Лазерные принтеры обеспечивают наиболее качественную печать с наивысшим разрешением и скоростью. В них применяется электрографический способ формирования изображений. Выпускаются лазерные принтеры двух основных

178

модификаций: лазерные и светодиодные. В лазерных принтерах для создания сверхтонкого светового луча, вычерчивающего на поверхности предварительно заряженного светочувствительного барабана контуры невидимого точечного электронного изображения, служит лазер. В светодиодных принтерах роль источника лазерного луча выполняет светодиодная панель.

С засвеченных на поверхности барабана лучом лазера или светодиодами точек стекает электрический заряд. После проявления электронного изображения порошком красителя (тонера), налипающего на разряженные участки, выполняется печать — перенос тонера с барабана на бумагу и закрепление изображения на бумаге разогревом тонера до его расплавления.

Достоинства лазерных принтеров: высокая скорость печати, высокое качество печати, бесшумность.

Недостаток лазерных принтеров – большое потребление электроэнергии и значительная стоимость расходных материалов.

8.5. Системные и периферийные шины ПЭВМ

Все каналы передачи данных, применяемые в ПК, можно условно разделить на две группы – внутренние (шины) и внешние (интерфейсы). Шины данных применяются для соединения компонентов системной платы и подключения плат расширения, а интерфейсы – для подключения внешних относительно системной платы или ПК в целом устройств накопителей, устройств ввода-вывода, коммуникационного оборудования и др.

Системные шины

Шина (bus) – совокупность линий связи, по которым информация передается одновременно. Под основной, или системной, шиной обычно понимается шина между процессором и подсистемой памяти. Шины характеризуются разрядностью и частотой. Важнейшими функциональными характеристиками системной шины являются количество обслуживаемых ею устройств и ее пропускная способность, то есть максимально возможная скорость передачи информации. Пропускная способность шины зависит от ее разрядности (есть шины 8-, 16-, 32- и 64-разрядные) и тактовой частоты, на которой шина работает.

179

Основные характеристики системных шин представлены в таблице 8.3.

 

 

 

 

 

 

 

 

 

 

 

 

 

 

 

Таблица 8.3

 

 

 

 

 

 

MCA

 

 

 

 

 

 

 

 

 

Характеристика

Шина ISA

 

EISA

 

VLB

 

PCI

 

AGP

 

 

 

 

 

 

 

 

 

 

 

 

 

 

 

 

 

Разрядность шины для

 

 

 

 

 

 

 

32 / 32

 

 

32 / 32

 

32 / 32

 

16 / 24

32 / 32

 

 

32 / 32

 

данных и адреса (бит)

 

 

 

64 / 64

 

 

64 / 64

 

64 / 64

 

 

 

 

 

 

 

 

 

 

 

 

 

 

 

 

 

 

 

 

 

 

 

 

 

Рабочая частота (МГц)

8

 

8–33

 

10–20

 

 

до 33

 

до 66

 

66 / 133

 

 

 

 

 

 

 

 

 

 

 

 

 

 

 

 

 

 

Пропускная

 

 

 

 

 

 

 

 

 

 

 

132 / 264 /

 

528 / 1056 /

 

16

 

33

 

 

76

 

 

132

 

 

 

способность (Мбайт/с)

 

 

 

 

 

 

 

528

 

2112

 

 

 

 

 

 

 

 

 

 

 

 

 

 

 

 

 

 

 

 

 

 

 

 

 

 

 

 

 

 

 

 

 

 

 

 

 

 

 

 

 

 

Число подключаемых

 

 

 

 

 

 

 

 

 

 

 

 

 

 

 

 

6

 

15

 

 

15

 

 

4

 

 

10

 

 

1

 

устройств (HIT )

 

 

 

 

 

 

 

 

 

 

 

 

 

 

 

 

 

 

 

 

 

 

 

 

 

 

 

 

 

 

 

 

 

 

 

 

 

 

 

 

 

 

 

 

 

 

 

 

 

 

 

 

 

 

 

 

 

 

 

Разрядность или ширина шины (bus width) – количество линий связи в шине, то есть количество битов, которое может быть передано по шине одновременно.

Тактовая частота шины (bus frequency) – частота, с которой передаются последовательные биты информации по линиям связи.

Шина расширения ISA (Industry Standard Architecture – промышленная стан-

дартная архитектура) – использовалась в первом компьютере IBM PC и позволяла добавлять в систему различные устройства.

Шина PC/XT – 8-разрядная шина данных и 20-разрядная шина адреса, рассчитанная на тактовую частоту 4,77 МГц, имеет 4 линии для аппаратных прерываний и 4 канала для прямого доступа в память (каналы DMA – Direct Memory Access). Шина адреса ограничивала адресное пространство микропроцессора величиной 1 Мбайт. Использовалась с МП 8086, 8088.

Шина PC/AT –16-разрядная шина данных и 24-разрядная шина адреса, рабочая тактовая частота 8 МГц (16 МГц), имеет 7 линий для аппаратных прерываний и 4 канала DMA. Использовалась в МП 80286, совместима и с микропроцессором тактовой частотой больше 66 МГц. Благодаря 24-разрядной шине адреса адресное пространство увеличилось с 1 Мбайт до 16 Мбайт. Пропускная способность шины данных равна 5,5 Мбайт/с, ввиду ряда особенностей ее использования.

Шина EISA (Extended ISA) – 32-разрядная шина данных и 32-разрядная шина адреса создана как функциональное и конструктивное расширение ISA. Адресное пространство шины 4 Гбайт, работает на частоте 8–10 МГц.

180