Материал: Захаров, Сайфутдинов - Вычислительная техника

Внимание! Если размещение файла нарушает Ваши авторские права, то обязательно сообщите нам

полученные после выполнения всей программы вычислений, передаются на устройства вывода (УВыв) информации. В качестве УВыв могут использоваться экран дисплея, принтер, графопостроитель и др.

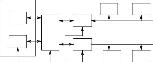
Вкомпьютерах третьего поколения произошло усложнение структуры за счет разделения процессов ввода-вывода информации и процесса ее обработки (рис. 6.3).

Вструктуре имеются устройства: управления обмена информацией (УВВ), каналы ввода-вывода (КВВ). КВВ получили наибольшее распространение применительно к большим ЭВМ. Здесь наметилась тенденция к децентрализации управления и параллельной работе отдельных устройств, что позволило повысить быстродействие компьютеров.

Процессор

УВВ ...

УВВ

АЛУ

КВВ

 

 

 

 

ОЗУ

 

УУ

КВВ

 

 

 

 

ВЗУ ...

ВЗУ

Рис. 6.3. Структурная схема компьютера третьего поколения

Среди каналов ввода-вывода выделяются мультиплексные каналы, способные обслуживать большое количество медленно работающих устройств ввода-вывода, и селекторные каналы, обслуживающие в монопольных режимах скоростные внешние запоминающиеустройства (ВЗУ).

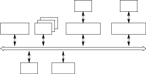
В ПЭВМ, относящихся к компьютерам четвертого поколения, произошло дальнейшее изменение структуры (рис. 6.4).

Соединение всех устройств обеспечивается с помощью общей шины, представляющей собой линии передачи данных, адресов, сигналов управления и питания. Единая система аппаратурных соединений значительно упростила структуру, сделав ее еще более децентрализованной. Все передачи данных по шине осуществляются под управлением сервисных программ.

121

 

 

ВУ

...

ВУ

 

 

 

 

Процессор

ОП

Контроллер ...

Контроллер

Общая шина

КПД Таймер

Рис. 6.4. Структурная схема ПЭВМ

Ядро ПЭВМ образуют процессор и основная память, состоящая из ОЗУ и постоянного запоминающего устройства (ПЗУ). ПЗУ предназначено для постоянного хранения программ управления. Подключение всех внешних устройств (ВУ): дисплея, клавиатуры, внешних ЗУ и др., обеспечивается через соответствующие адаптеры — согласователи скоростей работы сопрягаемых устройств или контроллеры — специальные устройства управления периферийной аппаратурой. Контроллеры в ПЭВМ играют роль каналов ввода-вывода. В качестве особых устройств следует выделить таймер — устройство измерения времени и контроллер прямого доступа к памяти (КПД) — устройство, обеспечивающее доступ к основной памяти, минуя процессор.

Все приведенные структуры не выходят за пределы классической структуры фон Неймана и их объединяют следующие общие принципы построения:

структура памяти;

способы доступа к памяти и внешним устройствам;

система и форматы команд;

организация интерфейса;

возможность изменения конфигурации компьютера.

122

6.4. Центральный процессор

Процессор – устройство, непосредственно осуществляющее обработку информации и выполняющее функции управления работой ЭВМ в соответствии с заданной программой.

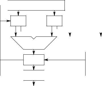
Процессор состоит из арифметико-логического устройства (АЛУ), устройства управления (УУ) и блока внутренних регистров (БВР) (рис. 6.5). Узлы соединены шинами, по которым передаются адреса – шина адреса (ША), данные – шина данных (ШД) и сигналы управления – шина управления (ШУ).

Арифметико-логическое устройство (АЛУ) предназначено для выполнения различных арифметических и логических операций над словами (операндами). Арифметические операции АЛУ: сложение, вычитание, умножение, деление кодов двоичных чисел с фиксированной и плавающей запятой в двоичной (шестнадцатеричной) и двоично-десятичной СС.

Генератор

данных

 

тактовых

 

импульсов

АЛУ

 

шина

Устройство

 

Внутренняя

 

управления

Блок

 

внутренних

 

регистров

 

 

Шина управления

Шина данных

 

внешняя

внешняя

Шина адреса

Рис. 6.5. Структура процессора

В АЛУ выполняются операции: нормализации числа, сдвига арифметического (без сдвига кода знака) и логического (сдвиг кода всего числа со знаком) и др. Кроме основных логических операций дизъюнкции (ИЛИ), конъюнкции (И) и инверсии (НЕ), в АЛУ предусматриваются другие операции, необходимые для логической обработки алфавитно-цифровой информации: сравнение слов на равенство, сортировка их по признакам и т. п. В отличие от арифметических операций, логические операции

123

являются поразрядными: они выполняются одновременно над одноименными разрядами слов независимо от значений соседних разрядов.

Классификация АЛУ

Все существующие АЛУ можно разбить на следующие классы:

1.По способу представления чисел различают АЛУ, в которых двоичные, шестнадцатеричные или (и) десятичные числа представляются в формах с фиксированной, плавающей или (и) естественной запятой.

2.По последовательности обработки разрядов операндов АЛУ делятся на последовательные и параллельные. В последовательных АЛУ операнды поступают последовательным кодом и их обработка (например, суммирование) производится разряд за разрядом последовательно во времени. В параллельных АЛУ операнды поступают параллельным кодом и их разряды обрабатываются одновременно.

3.По принципам построения основных (базовых) блоков различают АЛУ с комбинационным и накапливающим сумматором, АЛУ на однородных вычислительных средах (матричные), АЛУ с табличным выполнением операций и др.

4.По характеру использования блоков различают АЛУ со специализированными блоками (блочные) и АЛУ с многофункциональными блоками. В блочных АЛУ для выполнения каждой операции или каждой группы однотипных операций предусмотрены отдельные блоки. Например, блоки суммирования двоичных и десятичных чисел с фиксированной и плавающей точкой, блок умножения, блок деления, блок логических операций и другие. Такая специализация блоков сама по себе, а также возможность одновременной работы нескольких блоков, существенно увеличивает быстродействие АЛУ.

В многофункциональных АЛУ одни и те же узлы и блоки используются для выполнения различных операций. При настройке на конкретную операцию производится коммутация этих узлов в требуемую схему. Многофункциональные АЛУ более компактны, но их быстродействие ниже, чем у блочных АЛУ ввиду меньшей специализации и дополнительных задержек в узлах коммутации.

Основу АЛУ составляет операционный блок, на вход которого поступают данные (операнды). В операционном блоке над поступающими операндами производятся все операции, предусмотренные назначением АЛУ. Устройство управления вырабатывает последовательность сигналов управления под воздействием генератора

124

тактовых импульсов. Каждый сигнал управления поступает в операционный блок в определенный тактовый интервал и инициирует определенную микрооперацию над операндами (прием в регистр, сдвиг, инвертирование и т. п.). Каждая операция над операндами в АЛУ представляет собой определенную последовательность микроопераций.

Требуемая операция над операндами в АЛУ задается кодом операции. Этот код вызывает формирование в устройстве управления соответствующей последовательности сигналов управления.

Состав операционного блока определяется его предназначением — перечнем операций, формами представления операндов. Для выполнения операций над операндами в состав АЛУ входят (рис. 6.6): входные регистры А и В (РгА, РгВ) для приема операндов, n-разрядный сумматор (СМ), регистры для приема и хранения промежуточного и окончательного результата операции Pг S и Рг вых, блок логических операций – для формирования сигналов оповещения о промежуточных и окончательных значениях операндов (положительный или отрицательный результат, равен нулю или переполнение разрядной сетки и др.). Логические операции выполняются в регистрах с соответствующими логическими схемами или в блоке логических операций. Схема соединения узлов, указанных на рис. 6.6, меняется в зависимости от выполняемой операции.

Блок внутренних регистров

Рг А

Рг В

 

 

 

 

 

 

 

 

 

 

СМ

 

Блок логических

 

операций

 

 

 

 

 

 

 

 

Рг S

Рг вых Результат

Рис. 6.6. Состав многофункционального АЛУ

125