2. 1. РЕАКЦИИ СИНТЕЗА КЕТОНОВЫХ ТЕЛ

Кетоновые тела синтезируются в печени, легко проходят через митохондриальные и клеточные мембраны и поступают в кровь. Кровью они транспортируются во все другие ткани. Используются только ацетоацетат и бета-гидроксибутират.
Происходит в митохондриях (кроме клеток печени).
Бета-гидроксибутират превращается в ацетоацетат, а ацетоацетат вступает в реакцию с промежуточным продуктом ЦТК - сукцинил-КоА.
Пути использования образовавшегося из кетоновых тел АцетилКоА зависят от функционального состояния клетки (энергетический заряд) и ее специфики.
В ткани, которая получила этот Ацетил-КоА, он может быть использован для разных целей, но чаще всего в ЦТК для получения энергии.
В норме процессы синтеза и использования кетоновых тел уравновешены, поэтому концентрация кетоновых тел в крови и в тканях обычно очень низка, и составляет 0.12 - 0.30 ммоль/л.
Однако при общем или при углеводном голодании может нарушаться баланс между образованием и утилизацией кетоновых тел. Это связано с тем, что скорость образования кетоновых тел зависит от скорости b-окисления жирных кислот в печени, а процесс b-окисления ускоряется при усилении липолиза (распада жира) в жировой ткани. Усиление липолиза может происходить под действием гормона адреналина, при мышечной работе, при голодании. При недостатке инсулина (сахарный диабет) также происходит усиление липолиза. При усилении липолиза увеличивается скорость утилизации кетоновых тел, которые являются важными источниками энергии при мышечной работе, голодании.
Постепенное истощение запасов углеводов при сахарном диабете приводит к относительному отставанию утилизации кетоновых тел от кетогенеза. Причина отставания: не хватает сукцинил-КоА и ЩУК, которые, в основном, являются продуктом обмена углеводов. Поэтому верно выражение: "Жиры сгорают в пламени углеводов". Это означает, что для эффективного использования продуктов распада жира необходимы продукты углеводного обмена: сукцинил-КоА и ЩУК.
Таким образом, при углеводном голодании концентрация кетоновых тел в крови увеличивается. На 3-й день голодания концентрация кетоновых тел в крови будет примерно 2 - 3 ммоль/л, а при дальнейшем голодании - гораздо более высокой. Это состояние называют ГИПЕРКЕТОНЕМИЯ. У здоровых людей при мышечной работе и при голодании наблюдается гиперкетонемия, но она незначительна.
Все кетоновые тела являются органическими кислотами. Их накопление приводит к сдвигу pH в кислую сторону. В клинике повышение концентрации кетоновых тел в крови называется "ГИПЕРКЕТОНЕМИЯ", а сдвиг pH при этом в кислую сторону - "КЕТОАЦИДОЗ".
2.
Мочевая
кислота является конечным продуктом
пуринового обмена. Она образуется как
из эндогенных, так и из экзогенных
пуриновых нуклеозидов. Основная часть
мочевой кислоты выводится с мочой,
остальная - экскретируется с калом.
Мочевая кислота плохо растворима в
воде. Повышение содержания мочевой
кислоты (гиперурикемия) в крови приводит
к отложению уратов в тканях, формированию
клинического синдрома – подагры, который
сопровождается развитием перифокального
асептического воспаления.
Гипоурикемия может возникать в результате снижения продукции мочевой кислоты как в случаях наследственной ксантинурии, наследственного дефицита пуриннуклеозидфосфорилазы и лечения аллопуринолом. Гипоукрикемия может возникнуть из-за уменьшения экскреции почками мочевой кислоты, что может иметь место при злокачественных опухолях, СПИДе, синдроме Фанкони, сахарном диабете, тяжелых ожогах и других заболеваниях.
3. 1. ферменты поджелудочной железы
Рецепторы находятся в цитоплазме и в ядре. Тиреоидные гормоны (а точнее — трийод-тиронин, так как тироксин должен отдать один атом йода и превратиться в трийодтиронин, прежде чем оказать свой эффект) связываются с ядерным хроматином и индуцируют синтез 10—12 белков — это происходит за счет активации механизма транскрипции. Тиреоидные гормоны активируют синтез многих белков-ферментов, регуляторных белков-рецепторов. Тиреоидные гормоны индуцируют синтез ферментов, участвующих в метаболизме, и активируют процессы энергообразования. Одновременно тиреоидные гормоны повышают транспорт аминокислот и глюкозы через мембраны клеток, усиливают доставку аминокислот в рибосомы для нужд синтеза белка.
|
Связываясь с рецепторами внутри клетки, тироксин увеличивает потребление кислорода, активность Na+, К+ - АТФ-азы, ускоряет гликолиз, синтез холестерола и желчных кислот, биосинтез белка в разных тканях, стимулирует рост и дифференцировку клеток. Тиреоидные гормоны необходимы для нормальной функции мозга в течение всей жизни. |
Действуют по механизму стероидных гормонов. |
4. 1. Гистамин образуется путем декарбоксилирования гистидина в тучных клетках соединительной ткани
Гистамин образует комплекс с белками и сохраняется в секреторных гранулах тучных клеток. Секретируется в кровь при повреждении ткани (удар, ожог, воздействие эндо- и экзогенных веществ), развитии иммунных и аллергических реакций. Гистамин выполняет в организме человека следующие функции:
стимулирует секрецию желудочного сока, слюны (т.е. играет роль пищеварительного гормона);
повышает проницаемость капилляров, вызывает отёки, снижает АД (но увеличивает внутричерепное давление, вызывает головную боль);
сокращает гладкую мускулатуру лёгких, вызывает удушье;
2.
СТГ
|
Название |
Формула (природа) |
Биологическая роль |
Механизм действия |
Гиперфункция |
Гипофункция |
|||||
|
Пептидные гормоны |
||||||||||
|
СТГ, соматотропный гормон, гормон роста |
Синтезируется в соматотрофных клетках в передней доле гипофиза. Одноцепочечный пептид, состоит из 191 АМК, образуется из прогормона, пик секреции отмечается вскоре после засыпания. |
Усиливает транспорт аминокислот в клетки мышц, стимулирует синтез белка, усиливает липолиз. В печени вызывает образование соматомедина С (ИФР-1), который стимулирует включение сульфатов в гликозаминогликаны протеогликанов хрящевой ткани.Стимулирует постнатальный рост скелета и мягких тканей. Участвует в регуляции энергетического и минерального обмена. Ингибирует образование тиреотропина. |
В клетках мишенях (гепатоцитах,. адипоцитах, миоцитах, хондроцитах и других) активирует тирозинкиназу и протеинкиназу С |
Гигантизм при гиперфункции в детском или подростковом возрасте.у взрослых развивается акромегалия. |
Гипофизарный нанизм или карликовость |
|||||
6. 1. В норме содержание мочевой кислоты в сыворотке крови составляет 0,15–0,42 ммоль/л, в суточной моче - 400-600мг. При повышении концентрации мочевой кислоты в крови (гиперурикемия) она выпадает в осадок с образованием кристаллов солей мочевой кислоты (уратов) в суставных хрящах и синовиальной оболочке; при этом образуются также камни в почках. Это вызывает воспалительный процесс, часто сопровождающийся болевым синдромом. Когда гиперурикемия принимает хронический характер, говорят о развитии подагры .
2.
Цикл Кори Глюкозо-лактатный цикл
(цикл Кори) Глюкозо-лактатный
цикл – это циклический процесс,
объединяющий реакции глюконеогенеза
и реакции анаэробного гликолиза.
Глюконеогенез происходит в печени,
субстратом для синтеза глюкозы является
лактат, поступающий в основном
из эритроцитов или мышечной
ткани.
В эритроцитах молочная
кислота образуется непрерывно, так как
для них анаэробный гликолиз является
единственным способом образования
энергии.
В скелетных мышцах высокое накопление молочной кислоты (лактата) является следствием гликолиза при очень интенсивной, субмаксимальной мощности, работе, при этом внутриклеточный рН снижается до 6,3-6,5. Но даже при работе низкой и средней интенсивности в скелетной мышце всегда образуется некоторое количество лактата.
7. 1. Глюконеогенез – процесс синтеза глюкозы de novo из неуглеродных предшественников. Главная функция этого процесса заключается в поддержании уровня глюкозы в крови во время голодания и интенсивной физической работы. Наиболее активно процесс протекает в печени, менее интенсивно в корковом слое почек и слизистом эпителии кишечника.
2. Причины заболевания надпочечников. Болезнь Аддисона
Заболевания надпочечников проявляются на фоне атрофии ткани надпочечников.
В большинстве случаев заболевания надпочечников развиваются на фоне аутоиммунного процесса в клетках надпочечников, который вызывает повреждение функции органа. Так развивается первичная недостаточность надпочечников — болезнь Аддисона.
Болезнь Аддисона характеризуется недостаточностью синтеза надпочечниками гормонов минералокортикоидов и глюкокортикоидов.
Дефицит глюкокортикоидов. Недостаток глюкокортикоидов способствует развитию гипотензии. Нарушается углеводный, белковый и жировой обмен. Изменяется чувствительность к инсулину. В условиях отсутствия кортизола углеводы начинают синтезироваться из белков. Так развивается гипогликемия и снижается запас в печени гликогена. Поэтому у пациентов развивается сильная слабость и появляется недостаточность нервно — мышечных функций.
Дефицит минералокортикоидов. Недостаток синтеза этих гормонов надпочечниками приводит к увеличению выведения натрия и уменьшению выведения калия с мочой, потом и слюной. В итоге наблюдается высокий уровень калия и низкое содержание натрия в крови.
кожа приобретает бронзовый оттенок, очень похожий на тот, который бывает после регулярно получаемого загара. Часто появляются пигментные пятна на лице, шее и плечах.
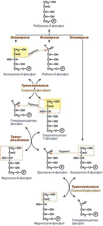
8. 1. Этот путь окисления глюкозы не связан с образованием энергии, а обеспечивает анаболизм клеток. В связи с этим у новорожденных и детей первых лет жизни его активность довольно высока.
Пентозофосфатный
путь включает два этапа – окислительный и
этап структурных перестроек (неокислительный).
На первом, окислительном, этапе глюкозо-6-фосфат в трех реакциях превращается в рибулозо-5-фосфат, реакции сопровождаются восстановлением двух молекул НАДФ до НАДФН.
На этом этапе происходит регуляция процесса: инсулин повышает активность глюкозо-6-фосфат-дегидрогеназы и фосфоглюконат-дегидрогеназы
Второй этап – этап структурных перестроек, благодаря которым пентозы способны возвращаться в фонд гексоз.
В этих реакциях молекулы рибулозо-5-фосфата изомеризуются до рибозо-5-фосфата и ксилулозо-5-фосфата. Далее под влиянием ферментов транскетолазы и трансальдолазы происходят структурные перестройки с образованием других моносахаридов.
При реализации всех реакций второго этапа пентозы превращаются во фруктозо-6-фосфат и глицеральдегидфосфат, т.е. возвращаются в реакции гликолиза. Поэтому иногда пентозофосфатный путь называют шунтом, т.е. рассматривают как обходной путь окисления глюкозы.
Глицеральдегид-3-фосфат в зависимости от условий и вида клеток может
либо "проваливаться" во 2-й этап гликолиза,
либо через диоксиацетонфосфат восстанавливаться до глицерол-3-фосфата и далее направляться в синтез фосфатидной кислоты и далее триацилглицеролов,
либо при необходимости из него могут образоваться и гексозы
2. Сахарный диабет (СД) – полиэтиологическое заболевание, связанное:
со снижением количества β клеток островков Лангерганса,
с нарушениями на уровне синтеза инсулина,
с мутациями, приводящими к молекулярному дефекту гормона,
со снижением числа рецепторов к инсулину и их аффинности в клетках-мишенях,
с нарушениями внутриклеточной передачи гормонального сигнала.
Выделяют
два основных типа сахарного диабета:
1. Инсулинзависимый сахарный диабет (ИЗСД, диабет 1 типа) – диабет детей и подростков (ювенильный), его доля составляет около 20% от всех случаев СД.
2. Инсулиннезависимый сахарный диабет (ИНЗСД, диабет 2 типа) – диабет взрослых, его доля – около 80%.
|
Сравнительная характеристика типов сахарного диабета |
|||
|
|
Инсулинзависимый СД |
Инсулиннезависимый СД |
|
|
Возраст (чаще всего) |
Дети, подростки |
Средний, пожилой |
|
|
Проявление симптомокомплекса |
Острое (несколько дней) |
Постепенное (годы) |
|
|
Внешний вид (до лечения) |
Худощавое |
У 80% ожирение |
|
|
Снижение массы тела (до лечения) |
Обычно есть |
Не характерно |
|
|
Концентрация инсулина в крови |
Снижена в 2-10 раз |
В норме или повышена |
|
|
Концентрация С-пептида |
Резко снижена или отсутствует |
В норме или повышена |
|
|
Семейный анамнез |
Отягощен редко |
Часто отягощен |
|
|
Зависимость от инсулина |
Полная |
Только у 20% |
|
|
Склонность к кетоацидозу |
Есть |
Нет |
|
Осложнения
11.
2. Обмен глицина и серина
12.
1. Холестерол является ненасыщенным
спиртом
Синтез холестерола в организме составляет примерно 0,5-0,8 г/сут, при этом половина образуется в печени, около 15% в кишечнике, оставшаяся часть в любых клетках, не утративших ядро. Таким образом, все клетки организма способны синтезировать холестерол.
2. желтуха новорожденных
Гемолитическая болезнь новорожденных
(ГБН) – патологическое состояние ребенка
(плода), которое сопровождается распадом
(гемолизом) эритроцитов, обусловленным
несовместимостью его крови с материнской
по эритроцитарным антигенам.
При
резус-конфликте Rh-положительные
эритроциты плода проникают в кровь
матери с Rh-. В ответ ее организм вырабатывает
антирезус-антитела. Они проходят сквозь
плаценту, попадают в кровь ребенка,
связываются с рецепторами на поверхности
его эритроцитов и уничтожают их. При
этом в крови плода существенно снижается
количество гемоглобина и повышается
уровень неконъюгированного (непрямого)
билирубина. Так развиваются анемия и
гипербилирубинемия (гемолитическая
желтуха новорожденных).
Непрямой билирубин – желчный пигмент, обладающий токсичным действием на все органы, – почки, печень, легкие, сердце и так далее.
15. 1. Гликоген – полисахарид, по структуре подобный крахмалу, но более разветвленный (т.е. содержит больше 1,6-гликозидных связей, а значит большее количество концевых мономеров, что облегчает его распад ).
2. Внешний и внутренний механизмы свёртывания крови взаимодействуют между собой. Фактор VII, специфичный для внешнего пути свёртывания, может быть активирован факторомXIIа, который участвует во внутреннем пути свёртывания. Это превращает оба пути в единую систему свёртывания крови.
23. 1. Витамин С (аскорбиновая кислота, антицинготный, антискорбутный)
Биологическая роль витамина С (связана с его участием в окислительно-восстановительных реакциях).
Витамин С, являясь сильным восстановителем, играет роль кофактора в реакциях окислительного гидроксилирования, что необходимо для окисления аминокислот пролина и лизина в оксипролин и в оксилизин в процессе биосинтеза коллагена. Коллаген может синтезироваться и без участия витамина С, но такой коллаген не является полноценным (не формирутся его нормальная структура). Поэтому при недостатке витамина С ткани, содержащие много коллагена, становятся непрочными, ломкими. В первую очередь нарушается структура стенок сосудов, повышается их проницаемость, наблюдаются кровоизлияния под кожу и под слизистые оболочки.
Участвует в синтезе стероидных гормонов надпочечников.
Необходим для всасывания железа.
Участвует в неспецифической иммунной защите организма.
Авитаминоз "С" — цинга. Проявления цинги: болезненность, рыхлость и кровоточивость десен, расшатывание зубов, нарушение целостности капилляров — подкожные кровоизлияния, отечность и болезненность суставов, нарушение заживления ран, анемия. Иногда цинга развивается у новорожденных на искусственном вскармливании пастеризованным молоком, в которое не добавлен витамин С. В основе всех изменений при цинге, за исключением анемии, лежит нарушение синтеза коллагена. Анемия связана с нарушением всасывания железа.