Исходные данные:
Pгаза=2·10-4 мм рт. ст.;
Uп=180 В;
Tст=300 К;
Tп=500°С=773 К;
Iр=130 А;
Соединение: TiC.
Необходимо определить:
1)ионный ток насыщения ji max;
2)толщину двойного слоя, определяемую дебаевским радиусом экранирования λD;
3)потоки ионов металла и атомов молекулярного газа в произвольной точке на единицу площади в единицу времени ni, nг ;
4)энергию, выделяемую на поверхности конденсации за единицу времени Δq;
5)количество газа, вступившего в реакцию с металлом nx;
6)пороговое значение потенциала подложки Uпкр.
7)содержание неметалла Cx в соединении TiC;
,
(1.1)
где μр – коэффициент эрозии катода, μр = 53·10-9 кг/Кл [11, с. 57];
–
среднее зарядовое число ионов,
=
1,79 [11, с. 57];
mi – масса конденсирующегося иона, mi = 79,4996·10-27 кг [11, с. 57];
Rk – радиус катода, Rk = 0,04 м [7, стр. 150];
Ip – ток дуги, А;
l – расстояние от торца катода до обрабатываемой поверхности, l = 0,15 м [7, стр. 149].
.
Потоки ионов металла и молекулярного газа в произвольной точке на единицу площади в единицу времени определяются соотношениями [11, с.19]
, (1.3)
, (1.4)
где αк – коэффициент конденсации (αк=1);
k – постоянная Больцмана, k = 1,38·10-23 Дж/К;
Рг – давление газа, Рг = 0,0266 Па;
m – масса молекулы (для молекулярного газа) или атома (для атомарного газа);
Т – температура газа, T = 300 K;
ji – плотность тока;
Выполнив подстановку получим:
![]()
![]()
Поверхность в плазме оказывается окруженной слоем из положительных ионов двойного слоя. Толщина двойного слоя определяется дебаевским радиусом экранирования [11, с.19];
, (1.2)
где k – постоянная Больцмана, k = 1,3810-23Дж/К;
Te – температура электрона, (Te = 4 эВ);
![]()
При этом практически вся разность потенциалов между поверхностью и плазмой сосредотачивается в двойном слое, в котором ионы ускоряются. У иона, сталкивающегося с поверхностью, имеется большой выбор в конечном исходе процесса столкновения. Вероятность каждого из процессов сложным образом зависит от свойств самого иона (масса, величина заряда), скорости его движения и угла столкновения с поверхностью, а также от состава, температуры, физико-энергетических свойств и топографии поверхностного слоя. Такая многопараметрическая зависимость, безусловно, препятствует детальному пониманию процессов, протекающих при контакте плазмы о поверхностью. В то же время это расширяет диапазон возможностей плазменных технологий, обеспечивающих преобладающую роль тех или иных конкретных элементарных процессов, и соответственно, тех или иных свойств покрытий.
На поверхности конденсации за единицу времени выделится энергия, определяемая соотношением [11, с.20]:
, (1.5)
где Uп – отрицательное напряжение смещения на подложке относительно плазмы, В;
– средняя энергия ионов, Дж (для Ti
=
122·10-19 Дж); [11, с.57];
Qк – энергия, выделяющаяся при конденсации одного иона, Дж;
, (1.6)
где QИ – теплота испарения металла (для Ti QИ = 422 кДж/моль);
Na – число Авогадро, Na = 6,022·1023 моль-1;
![]()
Тогда энергия на поверхности конденсации за единицу времени
![]()
В непрерывном стационарном режиме работы, если тепло отводится за счет излучения и часть подведенной энергии идет на образование химических соединений и диссоциацию молекул газа, затраченная энергия будет определяться соотношением [11, c. 20]:
,
где nx – количество газа, вступившего в реакцию;
Тст – температура стенок камеры;
εr – интегральный коэффициент излучения наносимого материала;
Qp – потенциальный барьер реакции;
Тп – температура подложки;
σ - постоянная Стефана-Больцмана.
Выражение для выделяющейся мощности совместно с условием отвода тепла от изделия определяет его тепловой баланс [11, c. 20]:
![]()
или
![]()
Количество газа, вступившего в реакцию с металлом, рассчитывается по формуле [11, с.21]
, (1.7)
где Тст – температура стенок камеры, Тст = 300 К;
εr – интегральный коэффициент излучения наносимого материала, εr = 0,51;
Qp – потенциальный барьер реакции;
Тп – температура подложки, Тп = 773 K ;
σ – постоянная Стефана-Больцмана, σ = 5,6710-8 Дж/с·м2·К4;
, (1.8)
где c – теплота образования, Дж/моль (с = 238647 Дж/моль);
Тогда количество газа, вступившего в реакцию с металлом
![]()
.
Полученное значение количества газа, вступившего в реакцию, превышает значение количества потоков ионов и атомов газа на единицу площади в единицу времени, так как значение приложенного потенциала на подложку превышает пороговое значение потенциала подложки.
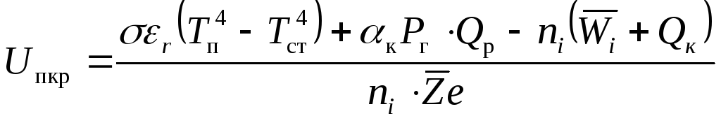
Пороговое значение потенциала подложки, при котором весь поток газа вступает в химическое соединение, однозначно связанное с давлением газа, можно найти из соотношения [11, с.21]
, (1.9)
При подстановке числовых значений получаем

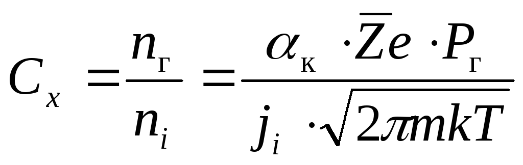
Если энергия Δq, подводимая к поверхности, достаточна для того, чтобы
весь падающий на поверхность подложки поток газа образовал химическое соединение, то содержание неметалла Сx [11, с.21] не зависит от энергии ионов и будет определяться только потоком nг, то есть давлением газа, тогда
, (1.10)
![]()
В зависимости от параметров конденсируемого плазменного потока в процессе синтеза покрытий методом вакуумной ионно-плазменной обработки рассчитаны характер и эффективность плазмохимических реакций, и получены следующие характеристики:
1)плотность ионного тока насыщения,
;
2)толщина двойного слоя положительных
ионов,
![]()
3) поток ионов металла, ni = 114,5·1019 ион/м2;
поток ионов газа, nг = 117,18·1019 атом/м2;
4)энергия выделяемая на поверхности
конденсации,
![]()
5)количество газа вступившего в реакцию,
![]()
6)пороговое значение потенциала в
подложке,
![]()
7)содержание неметалла в соединении,
![]()
Список литературы
Б.А. Артамонов, Ю.С. Волков, В.И. Дрожалова. Электрофизические и электрохимические методы обработки материалов. Учебное пособие (в 2-х томах). Обработка материалов с применением инструмента/ под ред. В.П. Смоленцева. - М.: Высш. шк., 1983 г.
В. Г. Филимошин, А. П. Шулепов. Проектирование технологических процессов электрохимических и комбинированных методов обработки поверхности деталей двигателей летательных аппаратов. Учебное пособие.: Куйбышев,1985 г.
Н.А. Амирханова. Теоретические основы электрохимической размерной обработки: Учебное пособие. УГАТУ, Уфа,1994 г.
Н.А. Амирханова, А.Н. Зайцев, Р.А. Зарипов. Электрохимическая размерная обработка материалов в машиностроении. Учеб. пособие. : УГАТУ, Уфа, 2004 г. – 258 с.
Г.Л. Амитан. Справочник по электрохимическим и электрофизическим методам обработки. – Л.: Машиностроение. Ленингр. отд-ние, 1988. – 719с.
В.В. Будилов. Физические основы вакуумно-плазменной технологии нанесения покрытий: Учеб. пособие. УГАТУ, Уфа, 1993 г.
В.В. Будилов, Р.М. Киреев, С.Р. Шэхтман. Технология вакуумной ионно-плазменной обработки: учебное пособие/– М.: Изд-во МАИ, 2007. – 155с.
С.Б. Масленков, Е.А. Масленкова. Стали и сплавы для высоких температур. Справочное издание в 2-х книгах. - М.: Металлургия, 1991 г.
А.Г. Григорьянц. Основы лазерной обработки материалов. – М.: Машиностроение, 1989 г. - 304с.
Рыкалин Н.Н.. Расчёты тепловых процессов при сварке. М.: Машгиз, 1951 г. – 296 с.
Р. М. Киреев. Методические указания к выполнению курсовой работы по дисциплине «Теоретические основы обработки концентрированными потоками энергии» / Уфимск. гос. авиац. техн. ун-т; - Уфа, 2008.-57 с.
http://www.plasmacentre.ru/technology/13.php.