Материал: Выбор потребителем сотового оператора и тарифного плана

Внимание! Если размещение файла нарушает Ваши авторские права, то обязательно сообщите нам

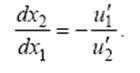
При предельной норме замены тарифа , то есть абонент находится в поиске наиболее сбалансированного варианта услуг мобильного оператора связи. И, здесь, набор потребителя, будет иметь следующий вид:


Здесь справедливым будет:


И так, предельная норма замены тарифа мобильного оператора связи :


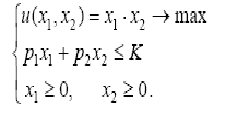
И, наконец мы можем осуществить рассмотрение следующего: абонент осуществляет пользование тарифов мобильных операторов связи. Есть следующие цены : p1 и p2, а x1 и x2 - тарифные планы. Можно представить их следующим образом:


Применяя функцию Лагранжа , где K - является предполагаемым доходом абонента. Осуществим решение системы уравнений:


Затем:


Итак, будет являться решением всей той системы следующий вид уравнения использования абонентом двух тарифных планов:


Следовательно, затрачивание денежных средств абонента при использовании двух тарифов различных мобильныхх операторов связи , то есть, используя две сим-карты, является половиной его общего дохода, разделенного на стоимость тарифных планов.

В целом, абоненты отдают свое предпочтение сбалансированным тарифам мобильных операторов связи, сравнительно с теми тарифными планами, содержащие одну опцию. Из (см. прил.рис. 1,2.) мы видим, что фактически сбалансированный тариф, который содержит в себе несколько опций определения стоимости, является приносящим такое же удовлетворение, как и другой тариф, но который содержит одну опцию тарифного плана. Тогда как сбалансированный тариф (6 опций) будет приносить наибольшее удовлетворение абоненту.

Заключение

В заключении, необходимо сказать, что нами был рассмотрен процесс выбора абонентом мобильного оператора связи, а так же тарифного плана. Потребитель исходит из рационального пользования систем связи для того, чтобы боле эффективно осуществить применение затрат на услуги мобильной связи. И, можно сказать об эффективном экономическом поведении абонента при осуществлении им выбора мобильного оператора связи и тарифного плана. Абонент четко понимает и представляет, как он будет использовать услуги предоставляемой ему связи и, учитывая свои предпочтения, осуществляет принятие решения о выборе соответствующего тарифного плана, и мобильного оператора связи.

Список литературы

1.  Афанасьев В.В., Горностаев Ю.М. Эволюция мобильных сетей // Серия изданий «Связь и бизнес». М.: ИТЦ «Мобильные коммуникации», 2009. - 206с.

.    Гордеев Ю. Перспективы мобильной связи в России из первых рук // Мобильные телекоммуникации. 2011, №03. - 26-37с.

.    Михайлов А.П., Самарский А.А. Математическое моделирование: Идеи. Методы. Примеры. 2-е изд., испр. - М.: ФИЗМАТЛИТ, 2010. - 152с.

.    Рейман Л.Д. Теория и практика функционирования инфокоммуникационных рынков. М.: Олма-пресс, 2009. - 147с.

мобильный связь тариф оператор

Приложение

Рисунок 1-Выгодный тарифный план сотового оператора Tele2

Рисунок 2 - Выгодный тарифный план сотового оператора МегаФон

Рисунок 3-Кривая безразличия к сотовому оператору

Рисунок 4 -Карта кривых безразличий при выборе сотового оператора и тарифного плана