Материал: Выбор и обоснование кинематической схемы гидропульсационной машины

Внимание! Если размещение файла нарушает Ваши авторские права, то обязательно сообщите нам

Моменты инерции


Силы тяжести звеньев определим по формуле:



Координаты центров масс звеньев:


Проекции сил инерции и моменты сил инерции:

.3 Аналитическое решение уравнений кинетостатики


См. в первой курсовой работе.

Таблица 3. Результаты расчетов

Реакция

Стандартная программа

R45x

3.501*10^4

R54y

-2.4358*10^5

R05x

-3.501*10^4

R24x

3.4793*10^4

R24y

-2.4288*10^5

R03x

-3.302*10^5

R03y

-7.024*10^5

R12x

3.651*10^5

R12y

4.5893*10^5

R01x

3.657*10^5

R01y

4.589*10^4

Q

4.0958*10^4


На рис. 2.3 показан график зависимости движущего момента .

Рис. 2.3

.4 Оценка внешней виброактивности исполнительного механизма и уравновешивание механизма

При движении машины помимо статических усилий возникают динамические усилия, которые передаются на стойку (корпус) машины. Эти динамические усилия, будучи переменными по модулю и направлению, передаются на фундамент, вызывая ряд нежелательных явлений вибрационного характера.

Условием полного внешнего внешнего уравновешивания является равенство нулю главного вектора и главного момента реакций в опорах относительно произвольного центра приведения. Если при этом активные силы уравновешены, то задача внешнего уравновешивания механизма сводится к уравновешиванию главного вектора и главного момента сил инерции его подвижных звеньев.

Уравновешивание можно произвести двумя способами:

1. Установка противовесов на звенья.

Этот способ позволяет полностью уравновесить главный вектор сил инерции, но, как следствие установки противовеса, подвижные звенья механизма нагружены значительными массами.

2. Установка вращающихся противовесов.

Этот способ наиболее часто используется. В результате использования этого способа уравнивается одна гармоника главного вектора сил инерции.

Определим главный вектор сил инерции


Определим приведенный момент инерции:


Мерой внешней виброактивности механизма при внутренней рабочей нагрузке является главный вектор сил инерции. В цикловых механизмах он является периодической функцией и может быть разложен в сходящийся ряд Фурье, представляющий собой сумму эллиптических гармоник.

Для упрощения расчетов  раскладывается в ряд Фурье с точностью до пяти гармоник:


=1,2,3,4,5- номер гармоники.


Чтобы уравновесить данный механизм необходимо поставить противовесы, предварительно сосчитав их массы и начальные углы установки

Уравновесим F1:


 для любого .

Определим: - массы противовесов;

- углы установки противовесов при =0.

Запишем проекции векторов  на оси x,y:



Приравняем коэффициенты при  и  (считаем, что радиусы установки противовесов равны радиусу кривошипа ):

+4: ; 3+2: ;

-4: ; 3-2: .

Массы противовесов:

;


Углы установки:

; ;

;

Получим:

;

На рис. 3.1 показана схема установки противовесов.

Рис. 3.1

На рис. 3.6. показан годограф сил инерции.

Рис. 3.2

В данном случае установка противовесов нецелесообразна, тк годограф изменился несильно

.5 Выбор двигателя


В курсовом проекте используем электрический двигатель постоянного тока независимого возбуждения. Такой двигатель имеет линейную статическую характеристику, что упрощает расчет установившегося режима и режима разбега.

Двигатель выбираем по необходимой мощности, т.е. такой мощности, которая требуется для того, чтобы механизм, испытывающий воздействие заданных сил, совершал требуемые движения.

В результате расчета на ЭВМ было получено значение необходимой потребной мощности:

,

Этой мощности соответствует двигатель 2ПН100L, обладающий следующими характеристиками:

Типоразмер двигателя

Мощность Nдн

Скорость nдн

Номинальный ток , Iн

Номинальное напряжение, u н

Сопротивление, R

Индуктивность L

Момент инерции ротора, Jр

 

Вт

об/мин

А

 В

Ом

Гн

кгм2

2ПН100L

1 100

 1 500

5,5

220

2,2

0,083

0,012



Найдем номинальный момент на двигателе:

Определим :


Число оборотов в минуту на холостом ходу:

oб/мин

Электромагнитная постоянная времени


Крутизна статической характеристики двигателя

.

Передаточное число редуктора


Поскольку вал двигателя вращается быстрее чем кривошип, необходимо использовать передаточный механизм, в качестве которого будем использовать планетарный редуктор.

На рис. 4.1 показана схема редуктора.

Рис. 4.1

Данная схема редуктора может обеспечить передаточное число от 30 до300.

Часть 3


Динамическое исследование машинного агрегата

.1 Задачи динамического исследования

Задачей динамического исследования машины является определение закона движения входного звена исполнительного механизма  с учетом динамических свойств приводного двигателя, движущего момента  и динамической нагрузки в приводе , а также оценка неравномерности вращения входного звена и проверка перекладки зазоров в приводе, улучшение динамических показателей качества машины.

.2 Построение динамической и математической модели машины и выбор передаточного механизма

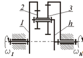
Схема машинного агрегата.

Рис. 1.1 Схема машинного агрегата

Машина включает в себя двигатель, передаточный и исполнительный механизм.

Динамический расчет машинного агрегата связано с определением и исследованием стационарного решения дифференциальных уравнений:

,

q - обобщенная координата, в качестве которой выбран угол поворота входного звена исполнительного механизма

- приведенный момент инерции

- приведенный момент сил сопротивления

приведенная динамическая характеристика двигателя:


 - постоянная времени двигателя

 - крутизна статической характеристики двигателя

 - скорость ротора двигателя,

 - движущий момент,

 - номинальный движущий момент,

 - номинальная скорость ротора двигателя,

 - постоянная времени двигателя.

В итоге в уравнении остаются две неизвестные величины - движущий момент  и угол поворота кривошипа с его производными. Для решения уравнения движения необходимо задать дополнительное соотношение между этими неизвестными.

Уравнение, устанавливающее связь между движущим моментом и скоростью двигателя, есть уравнение механической характеристики двигателя.

Исходя из вышесказанного, можно записать следующую систему дифференциальных уравнений:


Второе выражение в системе называется динамической характеристикой двигателя. Параметр τ называется электромагнитной постоянной времени. Параметр  называется крутизной характеристики двигателя. Чем больше крутизна двигателя, тем слабее изменение нагрузки влияет на величину угловой скорости.

.3 Определение коэффициентов уравнения движения машины

Определение приведенного момента инерции  производится через определение кинетической энергии всего механизма:

Приведенный момент инерции:


Производная приведенного момента инерции:

.

Полученная функция раскладывается в ряд Фурье с точностью до пяти гармоник:

;

;

;

;

Получены коэффициенты

Jci

Jsi

-0.8224

2.1368

-0.941

-3.7203

2.2234

0.1136

-0.2333

0.7535

-0.191

-0.1406


Построим график зависимости приведенного момента инерции от угла поворота кривошипа


Построим график зависимости производной приведенного момента инерции от угла поворота кривошипа


Приведенный момент сил сопротивления

.

Приведенный момент сил сопротивления определяется как коэффициент при вариации обобщенной координаты в выражении для возможной работы активных сил сопротивления (рабочей нагрузки и сил тяжести), составим выражение для нахождения сил сопротивления:


Приведенный движущий момент

.

В ряд Фурье с точностью до пяти гармоник также раскладывается момент сил сопротивления:

;

;

;

;