Курсовая работа (т): Виды нелинейных дифференциальных уравнений 1-го порядка

Внимание! Если размещение файла нарушает Ваши авторские права, то обязательно сообщите нам

= xy' + (y')2

Решение

Полагая y' = p, его можно записать в виде


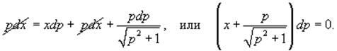
Продифференцировав по переменной x, находим:


Заменим dy на pdx:


Приравнивая первый множитель к нулю, получаем:


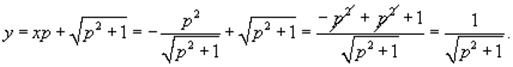
Теперь подставим это во второе уравнение:


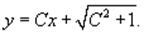
В результате получаем общее решение заданного уравнения Клеро. Графически, это решение представляется в виде однопараметрического семейства прямых. Приравнивая нулю второй сомножитель, находим еще одно решение:

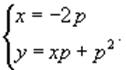
Это уравнение соответствует особому решению дифференциального уравнения и в параметрической форме записывается как


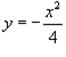
Исключая p из системы, получаем следующее уравнение интегральной кривой:


С геометрической точки зрения, парабола


является огибающей семейства прямых, определяемых общим решением.

Найти общее и особое решения дифференциального уравнения


Решение.

Введем параметр y' = p:

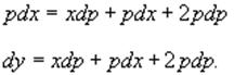
Дифференцируя обе части уравнения по переменной x, получаем:


Поскольку dy = pdx, то можно записать:


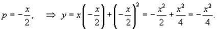
Рассмотрим случай dp = 0. Тогда p = C. Подставляя это в уравнение, находим общее решение:


Графически это решение соответствует однопараметрическому семейству прямых линий.

Второй случай описывается уравнением


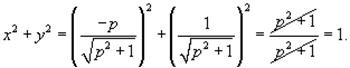
Найдем соответствующее параметрическое выражение для y:


Параметр p можно исключить из формул для x и y. Возводя последние уравнения в квадрат и складывая их, получаем:


Полученное выражение является уравнением окружности радиусом 1, расположенным в начале координат. Таким образом, особое решение представляется единичной окружностью в плоскости xy, которая является огибающей для семейства прямых линий.

ЛИТЕРАТУРА

1.      Н.С. Пискунов "Дифференциальное и интегральное исчисление", том второй, издательство "Наука", Москва 1985

.        В. Ф. Зайцев, А. Д. Полянин. Справочник по обыкновенным дифференциальным уравнениям. М.: Физматлит, 2001.

.        К.Н. Лунгу, В.П. Норин и др. "Сборник задач по высшей математике", второй курс, Москва: Айрис-пресс, 2007

.        Э. Камке. Справочник по обыкновенным дифференциальным уравнениям. М.: Наука, 1976.

.        Источники информации в интернете.