ПГУ им. Т.Г.
Шевченко
Курсовая работа
Виды
нелинейных дифференциальных уравнений 1-го порядка
Выполнил:
студент 211 группы
специальности «ИКТиСС»
Бирт
Игорь Андреевич
Тирасполь 2014 год
ВВЕДЕНИЕ
Дифференциальное уравнение - уравнение, связывающее значение некоторой неизвестной функции в некоторой точке и значение её производных различных порядков в той же точке. Дифференциальное уравнение содержит в своей записи неизвестную функцию, её производные и независимые переменные; однако не любое уравнение, содержащее производные неизвестной функции, является дифференциальным уравнением.
Порядок дифференциального уравнения - наибольший порядок производных, входящих в него.
Процесс решения дифференциального уравнения называется интегрированием.
Все дифференциальные уравнения можно разделить на линейные и не линейные.
Нелинейное дифференциальное уравнение - дифференциальное уравнение (обыкновенное или с частными производными), в которое по крайней мере одна из производных неизвестной функции (включая и производную нулевого порядка - саму неизвестную функцию) входит нелинейно.
Иногда под Н.Д.У. понимается наиболее общее
уравнение определенного вида. Напр., нелинейнымобыкновенным дифференциальным
уравнением 1-го порядка наз. уравнение
с
произвольной функцией
при этом линейное
обыкновенное дифференциальное уравнение 1-го порядка соответствует частному
случаю
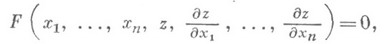
Н. д. у. с частными
производными 1-го порядка для неизвестной функции z
от независимых переменных
имеет вид:
где F- произвольная функция своих аргументов;
Виды нелинейных
дифференциальных уравнений 1-го порядка
Уравнения с разделенными переменными
П1.
![]()
![]()
Общий интеграл
![]()
![]()
П2.
![]()
![]()
![]()
Общий интеграл
![]()
![]()
![]()
Уравнение в полных дифференциалах
![]()
![]()
![]()
Где
![]()
Существует такая функция u(x,
y), что
![]()
![]()
![]()
Общий интеграл уравнения в полных дифференциалах u(x, y) = C.
Функция u может быть
представлена в виде



Однородное уравнение
![]()
![]()
![]()
где P(x, y), Q(x, y) -
однородные функции одной и той же степени
![]()
![]()
![]()
![]()
.
Подстановка y = ux, dy = xdu +
udx переводит однородное уравнение в линейное относительно функции u:
![]()
![]()
![]()
![]()
Уравнение вида



. Если прямые ![]()
![]()
и ![]()
![]()
пересекаются в
точке (x0; y0), то замена ![]()
![]()
![]()
приводит его к
однородному уравнению



. Если прямые ![]()
![]()
и ![]()
![]()
параллельны, то
замена ![]()
приводит к
уравнению с разделяющимися переменными



Уравнение Бернулли
![]()
![]()
![]()
Подстановкой ![]()
сводится к
линейному
![]()
![]()
![]()
Уравнение Риккати
![]()
![]()
![]()
Если известно какое-либо из
решений ![]()
, то уравнение
сводится к
линейному подстановкой ![]()
.
Уравнение Лагранжа
![]()
![]()
![]()
Дифференцируя по x и полагая y'
= p, приходим к линейному уравнению относительно x как функции p:
![]()
![]()
![]()
Уравнение Клеро
![]()
![]()
- частный случай
уравнения Лагранжа.
ПРАКТИЧЕСКАЯ ЧАСТЬ.
Уравнения Риккати
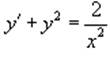
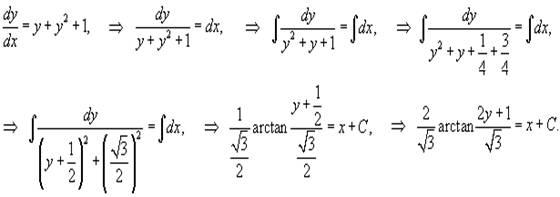
Решить дифференциальное уравнение
' = y + y2 + 1.
Решение.
Данное уравнение является простейшим уравнением Риккати с постоянными коэффициентами. Переменные x, y здесь легко разделяются, так что общее решение уравнения определяется в следующем виде:
Решить уравнение Риккати
Решение
Будем искать частное решение в форме:
Подставляя это в уравнение, находим:
Получаем квадратное уравнение для c:
Мы можем выбрать любое значение c. Например,
пусть c = 2. Теперь, когда частное решение известно, сделаем замену:
Снова подставим это в исходное уравнение
Риккати:
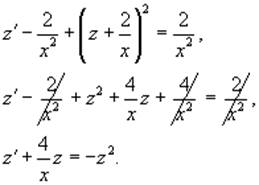
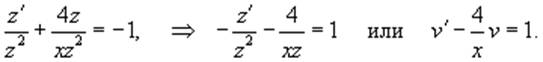
Как видно, мы получили уравнение Бернулли с параметром m = 2. Сделаем еще одну замену:
Разделим уравнение Бернулли на z2 (полагая, что
z ≠ 0) и запишем его через переменную v:
Последнее уравнение является линейным и легко
решается с помощью интегрирующего множителя:
Общее решение линейного уравнения определяется
функцией
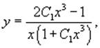
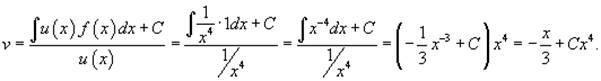
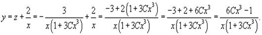
Теперь мы будем последовательно возвращаться к предыдущим переменным. Так как z = 1/v, то общее решение для z записывается следующим образом:
Следовательно,
Можно переименовать константу: 3C = C1 и
записать ответ в виде
где C1 − произвольное действительное
число.
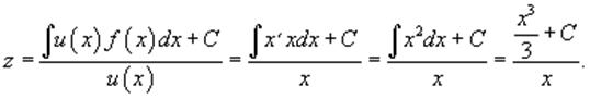
Уравнения Бернули
Найти все решения дифференциального уравнения
Решение.
Данное уравнение является уравнением Бернулли с
дробным параметром m = 1/2. Его
можно свести к линейному дифференциальному уравнению с помощью замены
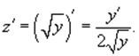
Производная новой функции z(x)
будет равна
Разделим исходное уравнение Бернулли на
Аналогично другим примерам на этой веб-странице, корень y = 0 также является тривиальным решением дифференциального уравнения. Поэтому можно записать:
Заменяя y
на z, находим:
Итак, мы имеем линейное уравнение для функции z(x).
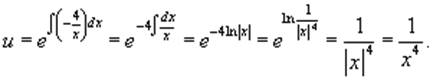
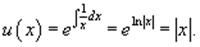
Интегрирующий множитель здесь будет равен
Выберем в качестве интегрирующего множителя
функцию u(x)
= x. Можно проверить,
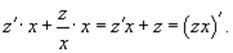
что после умножения на u(x)
левая часть уравнения будет представлять собой производную произведения z(x)u(x):
Тогда общее решение линейного дифференциального уравнения будет определяться выражением:
Возвращаясь к исходной функции y(x),
записываем решение в неявной форме:
Итак, полный ответ имеет вид:
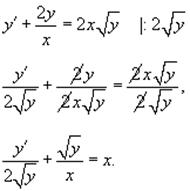
Уравнения с
разделяющимися переменными
Найти все решения дифференциального уравнения
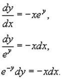
' = −xey.
Решение.
Преобразуем уравнение следующим образом:
Очевидно, что деление на ey
не приводит к потере решения, поскольку ey
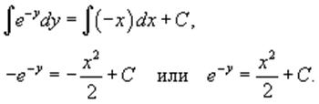
> 0. После интегрирования получаем
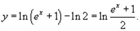
Данный ответ можно выразить в явном виде:
В последнем выражении предполагается, что константа C > 0, чтобы удовлетворить области определения логарифмической функции.
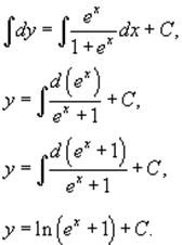
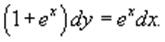
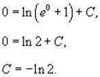
Найти частное решение уравнения, при
(0) = 0.
Решение.
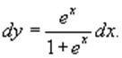
Перепишем уравнение в следующем виде:
![]()
Поскольку 1 + ex
> 0, то при делении мы не потеряли никаких решений. Интегрируем полученное
уравнение:
Теперь найдем константу C из начального условия
y(0) = 0.
Следовательно, окончательный ответ имеет вид:
Уравнение Клеро
Найти общее и особое решения дифференциального уравнения