Материал: Усилительные свойства биполярных транзисторов

Внимание! Если размещение файла нарушает Ваши авторские права, то обязательно сообщите нам

Усилительные свойства биполярных транзисторов

Санкт- Петербургский политехнический университет

Институт металлургии машиностроения и транспорта

Кафедра: Мехатроники и робототехники при Центральном научно-исследовательском институте робототехники и технической кибернетики(ЦНИИ РТК)








Отчет по лабораторной работе №101

«Усилительные свойства биполярных транзисторов»

Работу выполнили студенты группы 33328/1:

Мухин Р.С.

Фурин И.О.

(Бригада №3)

Работу принял:

Лавров А.П.



Санкт-Петербург

г.

Цель работы:

Изучить основные свойства биполярного транзистора и особенности использования его в усилителях.

Измерительные приборы:

Название

Назначение

Погрешность

Милливольтметр В3-38

Измерение действующего значения синусоидального напряжения

Погрешность измерения напряжения не выше 6% от максимума установленного предела измерения

Генераторы сигналов ГЗ-33, Г3-112

Источник синусоидального напряжения заданной часто- ты и амплитуды

Погрешность по установ- ленной на приборе частоте не превышает (0,02 f+1 Гц)

Частотомер Ч3-33

Измерение частоты электри- ческих колебаний

Погрешность измерения частоты не превышает 1/t, где t - время измерения.

Осциллограф универсальный двух- канальный С1-83

Исследование формы элек- трических колебаний, изме- рение напряжений и времен- ных интервалов исследуе- мых сигналов

Погрешности измерения менее 8% при размерах изображения от 2 до 6 дел. по вертикали или от 4 до 8 дел. по горизонтали


Ход выполнения работы:

Выбор рабочей точки и оценка малосигнальных параметров.


) Для рабочей точки был выбран коллекторный ток Iк=3 мА и UK поддерживалось на уровне 5,5-6,0 В.

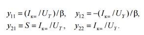
) Проведем оценку малосигнальных y параметров для РТ:

Справочными данные транзистора КТ201Б:

β º h21 ≈ 50 и UY = 140 В, UТ=25 мВ

y11= 2.4*10-3     См    у12=-4,3*10-7 См

y21=0.12 См                у22= 2,1*10-5 См

Исследование усилителя с общим эмиттером.

) Схема усилителя с общим эмиттером представлена справа на рисунке 1.

RL=620 Ом, Cбл=150 мкФ, RБ=1 кОм

) Измерим коэффициенты усиления напряжения, тока, мощности и входное сопротивление.

f=2,5 кГц             U0=7.4 мВ          U1=5 мВ             U2=220мВ

Rвх= U1/IБ=5*10-3/(2,4*10-3/103) =2 кОм

Коэффициент усиления напряжения:

|Ku|= U2/ U1=220/5=44

Коэффициент усиления тока:

Ki=Iк/Iб= ( U2/RL)/((U0- U1)/Rб)= (220*10-3/620)/(2.4*10-3/103)=147.85

Коэффициент усиления мощности:

Kp=|Ku|*|Ki|= 6.5*103

) Вычислим малосигнальные параметры и сравним с теоретическими расчетами на стр. 2:

биполярный транзистор усилитель сопротивление

y11(пр)=1/ Rвх=0.5*10-3 См                            y11(теор)= 2.4*10-3 См

y21(пр)=S≈|Ku|/ RL=0.07 См                            y21(теор)=0.12 См

β(пр)= y21/ y11=70                                  β(теор)=50

) Исследуем зависимости коэффициентов усиления напряжения, тока и входного сопротивления от рабочей точки. Данные измерений представлены в табл.1:

|Ku|= U2/ U1 ;              Ki= ( U2/RL)/((U0- U1)/Rб );                   Rвх =U1/IБ

Таблица 1. Зависимость коэффициентов усиления напряжения, тока и входного сопротивления от рабочей точки

Iк , мА

U0 , мВ

U1, мВ

U2, мВ

|Ku|

Ki

Rвх, Ом

1

7,4

110

18,97

110,89

3625,00

1,5

7,4

5,5

140

25,45

118,85

2894,74

2

7,4

5,2

170

32,69

124,63

2363,64

2,5

7,4

5,1

200

39,22

140,25

2217,39

3

7,4

5

220

44,00

147,85

2083,33

3,5

7,4

4,7

260

55,32

155,32

1740,74

4

7,4

4,3

290

67,44

150,88

1387,10

4,5

7,4

4

320

80,00

151,80

1176,47

5

7,4

4

320

80,00

151,80

1176,47


Рисунок 2. График зависимости коэффициента усиления напряжения от рабочей точки.

Рисунок 3. График зависимости коэффициента усиления тока от рабочей точки.

Рисунок 4. График зависимости входного сопротивления тока от рабочей точки.

) Снимем АХ U2=f(U1):

Таблица 2. Амплитудная характеристика U2=f(U1).

U1, мВ

U2, В

0,16

0,010

0,36

0,016

0,56

0,022

0,70

0,028

0,90

0,034

1


Рисунок 5. График амплитудной характеристики U2=f(U1).

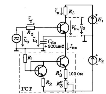
. Исследование эмиттерного повторителя с общим коллектором.

) Схема эмиттерного повторителя с общим коллектором представлена справа на рисунке 6:

Рисунок 6. Схема эмиттерного повторителя с общим коллектором

RL=620 Ом

) Измерим коэффициенты усиления напряжения, тока, мощности и входное сопротивление.

Рабочая точка: IK=2.9 мА   U0=10 мВ  U1=8,4 мВ U2=8мВ

β º h21 ≈ 50 и UY = 140 В, UТ=25 мВ          f=2,5 кГц

Rвх= U1/IБ=8,4*10-3/(1,6*10-3/10*103) =52.5 кОм

Коэффициент усиления напряжения:

|Ku|= U2/ U1=8/8,4=0,95

Коэффициент усиления тока:

Ki=Iк/Iб= ( U2/RL)/((U0- U1)/Rб)= (8,4*10-3/620)/(1,6*10-3/10*103) =84.6

Коэффициент усиления мощности:

Kp=|Ku|*|Ki|= 80

) Вычислим коэффициенты усиления и сравним с расчетами:

y11= 2.32*10-3 См= S= Iк=/Uт =0.116 См’=-S*RL=-0.116*620=-71.92=| Ku’|/(1+| Ku’|)=0.986                                              |Ku|= 0,95=1+ y21/ y11=51                                                  Ki=84.6= Ku* Ki=0.986*51=50,3                                        Kp= 80вх=(1+| Ku’|)/y11=31.43*103                                         Rвх=52.5

) Измерим выходное сопротивление эмиттерного повторителя:

RL'=50 Ом          U2'=16 мВ

RL"=20 Ом                   U2"=10 мВ

Rвых=( U2'- U2")/( U2"/ RL"- U2'/ RL')=33.33 Ом

Rвых=1/S=1/0.116=9

) Снимем АХ U2=f(U1):

Таблица 2. Амплитудная характеристика U2=f(U1) эмиттерного повторителя.

U1, В

U2, В

1,2

0,8

1

0,7

0,8

0,6

0,6

0,4

0,4

0,3

0,2

0,2

0,007

0,0056


Рисунок 7. График амплитудной характеристики U2=f(U1) эмитерного повторителя.

Вывод

В ходе выполнения лабораторной работы были изучены основные свойства биполярного транзистора и особенности использования его в усилителях.