Материал: Трехкорпусная вакуум-выпарная установка для концентрирования дрожжевой суспензии

Внимание! Если размещение файла нарушает Ваши авторские права, то обязательно сообщите нам

Определим коэффициент В по корпусам:

Коэффициент теплоотдачи α1 при высоте труб l = 5м равен:


Расчет коэффициента теплопередачи приведен в таблице.

Величины

1 корпус

2 корпус

3 корпус


А1 = 314 ∙ 103 B1 = 11,16

А2 = 306 ∙ 103 B2 = 6,55

А3 = 295 ∙ 103 B3 = 5,04

q

6000 12000

9000 12000

5000 9000

q-0,333

5,52 4,38

4,82 4,38

5,86 4,82

α1 = 0,62Aq-0,333

10746 8527

9145 8310

10721,6 8816

q0,6

184,9 280,2

235,8 280,2

165,7 235,8

α2 = Bq0,6

2063,5 3127

1544.5 1835,3

835,1 1188,4

K = 1/(1/α1 + 2,86 ∙ 10-4 + 1/α2)

1158 1383

959 1051

635 806

Δt = q/K

5,18 8,67

9,4 11,4

7,88 11,17

Из графика следует, что для предварительно вычисленных значений полезных разностей температур по корпусам Δtпол1 = 7,6 °C; Δtпол2 = 11 °C; Δtпол3 =10,3 °C удельные тепловые нагрузки соответственно равны: Коэффициенты теплопередачи по корпусам равны:

Полезные разности температур в корпусах установки находим из условия равенства их поверхностей теплопередачи:


Проверка суммарной полезной разности температур:

Площади поверхностей теплопередачи выпарных аппаратов:

По ГОСТ 11987-85 принимаем выпарной аппарат со следующей характеристикой: площадь поверхности теплообмена 450 м2; диаметр труб 38 x 2 мм, длина труб 5000 мм; диаметр греющей камеры не менее 1600 мм; диаметр сепаратора не более 4000 мм; диаметр циркуляционной трубы не более 1000 мм; высота аппарата не более 15000 мм; масса аппарата не более 31800 кг.

Площадь поверхности теплообмена принятого выпарного аппарата больше ориентировочно выбранной поверхности. Однако необходимости вносить коррективы в расчет нет, так как конструктивные размеры - диаметр и высота труб - остались прежними.

Уточним температуры кипения растворов, вторичных паров и их давления по корпусам:

Корпус

Температура, °С


кипения

вторичного пара

1

129,81 - 7,5 = 122,31

129,81 - 2 - 5,81 = 122

2

118,82 - 8,6 = 110,22

118,82 - 1 - 13,82 = 104

3

107,59 - 12,8 = 94,79

107,59 - 26 - 17,59 = 64


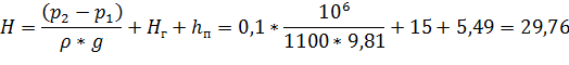
Полезные разности температур различаются во 2-м и 3-м корпусах, а в 1-м корпусе практически не изменяются. Поэтому при уточненном расчете площади поверхности теплопередачи полезные разности изменятся в основном для этих же корпусов, а для первого - практически не изменятся, что делает необязательным дальнейшие расчеты по уточнению площади поверхности теплообмена. Расчет барометрического конденсатора. Расход охлаждающей воды Gв определяют из теплового баланса конденсатора:


Iбк - энтальпия паров в барометрическом конденсаторе, Дж/кг;

Св - удельная теплоемкость воды, Дж/(кг ∙ К);

tн - начальная температура охлаждающей воды, °С;

tк - конечная температура смеси воды и конденсата, °С.

Диаметр барометрического конденсатора определяют из уравнения расхода:


ρ - плотность паров, кг/м3υ - скорость паров, м/с (принимаем 20 м/с)

ОСТ 26717-73: выбираем конденсатор с dбк = 600 мм, S = 5 мм; a = 1300 мм; r = 1200 мм.

Расчет барометрической трубы

Скорость течения воды:


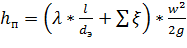
Высота трубы:


Определим режим течения в трубе:

Трубы выбираем гладкие, λ = 0,0135. e труб будет 0,1 мм. Длина - 9,12 м.

Расчет насосов. Выбираем диаметр трубопровода: принимаем скорость раствора во всасывающем и нагнетательном трубопроводах для перемещения жидкости одинаковой, равной 2 м/с. Тогда диаметр трубопровода определяется по следующей формуле:


Q - объемный расход, м3/с.

Принимаем трубопровод из стали марки X18H10T, диаметром 45 ∙ 3,5 мм.

Уточняем скорость движения раствора:

.

Определяем величину критерия Рейнольдса:

.

Режим турбулентный. Принимаем абсолютную шероховатость стенок e = 0,2 мм, степень шероховатости dэ/е = 190. Коэффициент трения λ = 0,031. Определяем сумму коэффициентов местных сопротивлений:

Всасывающая линия:

Вход в трубу (края - острые): ξ = 0,5Нормальный вентиль: для d = 0,02 м ξ = 8,0; для d = 0,04 м ξ = 4,9Интерполяцией находим для d = 0,038 м ξ = 5,2; тогда

Нагнетательная линия:

Выход из трубы: ξ = 1;Нормальный вентиль: ξ = 5,2;Дроссельная заслонка: ξ = 0,9 при α = 15°;Колено под углом 90°: ξ =1,6.

Следовательно:

Определяем потери напора по формуле:


Во всасывающей линии: В нагнетательной линии:

Общие потери напора:



Полезная мощность насоса рассчитывается по формуле:


Принимая ηп = 1 и ηн = 0,6 для насосов малой производительности, находим по формуле мощность на валу двигателя:


ηп и ηн - КПД соответственно насоса и передачи от электродвигателя к валу.

С учетом коэффициента запаса мощности β устанавливаем двигатель со следующей мощностью:


Устанавливаем центробежный насос марки X8/30 со следующими характеристиками: производительность 2,4 ∙ 103 м3/с, напор 30 м, КПД насоса 0,5. Насос снабжен электродвигателем 4A100S2 с номинальной мощностью 4 кВт, КПД 0,83 и частотой вращения вала 48,3 с-1.

Рассчитаем предельную высоту всасывания:


При 40 °C pt = 7,39 ∙ 103 Па

Таким образом, центробежный насос может быть расположен над уровнем раствора в емкости на высоте не мене 6,3 м.

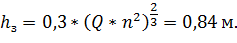
Расчет емкостей. Рассчитаем объем жидкости в приемном бункере: .

Тогда объем бункера будет равен отношению объема жидкости к коэффициенту заполнения, который для приемника и выходного бункера будет равен 0,8:

В третьем корпусе расход 4,1 кг/с. Следовательно, он равен также (4,1*3600)/1000 = 15 т/ч.

Аналогично рассчитываем объем жидкости в выходном бункере на основе данных третьего корпуса: .

Выбираем бункеры стандартных объемов: приемный бункер на 2000 м3 и выходной бункер, соответственно, на 500 м3, как наиболее близкие к номинальным значения объема.

Заключение

В данной курсовой работе представлен расчет процесса выпаривания раствора дрожжевой суспензии по следующим исходным данным:

.        Начальная массовая концентрация - 15%;

.        Конечная массовая концентрация - 25%;

.        Количество поступающей суспензии - 30 т/ч

.        Абсолютное давление греющего насыщенного водяного пара - 3 ∙ 105 Па;

.        Абсолютное давление в барометрическом конденсаторе - 0,15 ∙ 105 Па;

.        Взаимное направление пара и суспензии - прямой ток;

.        Выпарной аппарат - с выносной греющей камерой;

.        Температура раствора, поступающего на установку - 30 °С;

.        Температура раствора, поступающего из теплообменника - 80 °С;

.        Начальная температура охлаждающей воды - 15 °С;

.        Температура конденсата вторичного пара, выходящего из барометрического конденсатора, ниже температуры конденсации на 4 °С.

Список использованной литературы

1.      Берман Л. Д., «Теоретические основы хим. технологии», 1974, т.8, № 6, с. 811-22;

.        И.Л. Иоффе, «Проектирование процессов и аппаратов химической технологии», Ленинград, «ХИМИЯ», Ленинградское отделение, 1991;

.        А.М. Карпов, А.В. Саруханов, «Теплофизические и физико-химические характеристики продуктов микробиологического синтеза», Москва ВО «Агропромиздат», 1987;

.        И.М. Грачева, Л.А. Иванова, В.М. Кантере, «Технология микробных белковых препаратов, аминокислот и биоэнергия», Москва, «Колос», 1992;

.        К.А. Калунянц, Л.И. Голгер, В.Е. Балашов, «Оборудование микробиологических производств», Москва, «Агропромиздат», 1987;

.        К.Ф. Павлов, П.Г. Романков, А.А. Носков, «Примеры и задачи по курсу процессов и аппаратов химической технологии» , Ленинград, «ХИМИЯ», Ленинградское отделение, 1981;

.        Николаев А.П. и др., «Процессы и аппараты пищевых производств. Примеры и задачи. Учебное пособие», Киев: Вища школы, 1992.


Не нашли материал для своей работы?
Поможем написать уникальную работу Без плагиата!