Министерство образования и науки Российской Федерации
Государственное образовательное учреждение
высшего профессионального образования
Национальный
минерально-сырьевой университет "Горный"
Курсовой проект
Транспортно-экспедиционное
обслуживание доставки груза по маршруту Архангельск - Саратов
Студент: 5 курса
шифр: 9603020001
Форма обучения: очно-заочная
Специальность: 190701.65
Группа ОПУв-09-2
Лебедев Сергей Александрович
Преподаватель:
Таневицкий Игорь Владимирович
Санкт-Петербург,
2014 г.
Задание
Разработать технологию доставки груза в междугороднем сообщении с использованием двух видов транспорта и двух способов доставки груза.
доставка груз транспортный договорной
Исходные данные
|
Склад ГО (продавца) |
Архангельск |
|
Склад ГП (покупателя) |
Саратов |
|
Вид груза |
Бумага листовая для офисной техники |
|
Тара грузового места |
Ящики из гофрированного картона |
|
Масса грузового места брутто, кг. |
25,8 |
|
Размеры грузового места, мм. -длина -ширина -высота |
430 305 235 |
|
Объем партии поставки, груз. ед. |
500 |
|
Наличие подъездных ж/д путей ГО ГП |
Нет Есть |
|
Вознаграждение экспедитора,% |
10 |
Дополнительные данные
. Погрузочно-разгрузочные работы: погрузка груза на складе грузоотправителя (ГО) выполняется грузоотправителем; погрузка и разгрузка груза на железнодорожной станции отправления (прибытия) выполняется железнодорожным транспортом; разгрузка груза на складе грузополучателя (ГП) выполняется грузополучателем.
. Скорость междугородней перевозки груза автомобильным транспортом (АТ) - 450 км/сутки, железнодорожным транспортом (ЖТ) - 300 км/сутки; средняя скорость доставки груза АТ в черте города - 20 км/час; скорость локомотива 30 км/ч.
. Страхование груза производится на период доставки груза от ГО до ГП.
. Вознаграждение экспедитора определяется в процентах от стоимости
доставки груза.
Содержание
Введение
. Выбор вида транспорта и способа доставки груза Архангельск - Саратов
. Маршруты доставки груза
. Выбор транспортных средств и транспортного оборудования
. Расчет транспортно-технологической схемы доставки груза
.1 Сетевой график выполняемых работ
.2 Расчет стоимости и времени доставки груза
.3 Выбор варианта доставки
. Организационно-договорное обеспечение транспортно-технологической схемы доставки груза
.1 Участники процесса доставки груза
.2 Виды договоров, заключаемые между участниками процесса доставки груза
.3 Структурная схема договорно-правовых отношений между участниками доставки груза
Заключение
Библиографический
список
- разработать оптимальную транспортно-технологическую схему доставки груза на основе расчета временных и денежных затрат;
описать транспортно-экспедиционные операции на всём пути следования, от грузоотправителя до грузополучателя для выбранной транспортно-технологической схемы;
распределить обязанности между участниками перевозочного процесса в
соответствии с заключаемыми между ними договорами.
1. Выбор вида транспорта и способа доставки груза Архангельск - Саратов
ГОСТ 6658-75 Изделие из бумаги и картона. Изделия из бумаги и картона упаковывают в кипы или ящики. На каждую кипу или ящик на одну из боковых сторон или на загнутые концы оберточной бумаги должен быть наклеен бумажный ярлык с маркировкой, характеризующей упакованную продукцию. Мягкая упаковка кип предназначена для внутригородских перевозок изделий всеми видами транспорта либо в контейнерах, а также для железнодорожных перевозок вагонными отправками без перевалки в пути и при обязательном наличии железнодорожных путей у склада грузополучателя.
В Архангельске грузоотправитель не имеет в наличии железнодорожные подъездные пути и находится в 10 км. от ж/д станции Архангельск-Товарный.
Грузополучатель в Саратове находится в 15 км от ж/д станции Саратов-Товарный и имеет свой подъездной железнодорожный путь.
Так как по ГОСТу груз может транспортироваться любыми видами транспорта, мы повезем автомобильным и железнодорожным.
Способ доставки груза выбираем конвенциональный и контейнерный.
2. Маршруты доставки груза
Рис. 2.1. Схема первого маршрута доставки груза автомобильным транспортом
от грузоотправителя до грузополучателя.

3. Выбор транспортных средств и транспортного оборудования
Масса партии груза:
Мпг = Nге·mге, (1)
где Nге - количество грузовых единиц в партии груза;ге - масса грузовых
единиц.
Мпг = 500·25,8 = 12900 кг.
Объем партии груза:
пг = Nге·υге, (2)
где Nге - количество грузовых единиц в партии груза;
υге - объем грузовых единиц.
пг = 500·(0,430·0,305·0,235)=500·0,031=15,5 м3
Выбор автомобиля:
Бортовой автомобиль МАЗ-6312в9470-000 Грузоподъемность 14,75 т. Объем 46,8 м3
Удельная масса:
ρгр=
, (3)
ρгр=
=
= 832,258 кг/м3
Так как ρгр>230 кг/м3 то в расчёт тарифа на перевозку ведётся по массе.
Так как масса одного грузового места < 100кг, надбавки к тарифу не применяются.
Выбор ж/д вагона:
Подходит 4-осный крытый цельнометаллический модель 11-260 грузоподъемностью 68 т., 4-осная платформа, модель 13-935А-04
Выбор контейнера: 20 фут. контейнер "Dry-Cube"
Контейнер 1ССC: грузоподъемность 21,63т., объем 33 м3
4. Расчет транспортно-технологической схемы доставки груза
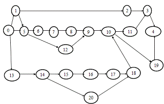
.1 Сетевой график выполнения работ
Рис. 4.1. Сетевой график транспортно-экспедиционного обслуживания по
маршруту Архангельск-Саратов
4.2 Расчет стоимости и времени доставки груза
Таблица 1
Расчет стоимости и времени доставки груза по маршруту Архангельск-Саратов
|
Выполняемая работа и ее расчет |
Стоимость, Руб. |
Время Час. |
||
|
0 Отправка груза |
- |
- |
||
|
1 Погрузка груза конвенциональным способом на АТ в Архангельске |
7000 |
2,5 |
||
|
2 Перевозка груза АТ от ГО до ГП |
129000 |
105 |
||
|
3 Разгрузка груза на складе ГП в Саратове. |
- |
3 |
||
|
4 Получение груза, его прием |
- |
- |
||
|
5 Перевозка АТ от склада ГО на ж/д ст. Архангельск- товарный |
100 |
0,7 |
||
|
6 Разгрузка груза с АТС на ж/д вагон ст. Архангельск-товарный |
853,3 |
3 |
||
|
7 Хранение груза на закрытом складе |
98,04 |
24 |
||
|
8 Погрузка груза на крытый ж/д вагон на ст. Архангельск-товарный |
853,3 |
2,5 |
||
|
9 Перевозка груза ж/д от ст. Архангельск-товарный до Саратов-товарный. |
91550 |
155 |
||
|
10 Подача и уборка ж/д вагона под разгрузку от ст. Саратов-товарный до ст. ГП |
1927,5 |
0,83 |
||
|
11 Разгрузка груза из ж/д вагона на склад ГП. |
- |
3 |
||
|
12 Перегрузка на ж/д. ст. Архангельск-товарный |
1370,08 |
3 |
5000 - |
0,5 2,5 |
|
14 Перевозка контейнера 1С АТ со ст. ГО на ж/д Архангельск-товарный |
5000 |
0,33 |
||
|
15 Разгрузка контейнера на контейнерную открытую площадку |
84 |
0,15 |
||
|
16 Хранение груза контейнера на ж/д Архангельск-товарный |
74 |
24 |
||
|
17 Погрузка груза контейнера с открытой контейнерной площадки на жд вагон |
84 |
0,15 |
||
|
18 Перевозка груза контейнера ж/д от Архангельск-товарный до Саратов-товарный |
15761 |
155 |
||
|
19 Разгрузка контейнера на склад ГП |
- |
3 |
||
|
Аренда порожних контейнеров |
1050 |
155 |
||
|
20 Перегрузка контейнера с ЖТ на АТ |
134 |
0,15 |
.3 Выбор варианта доставки
Таблица 2
Стоимость и время доставки при различных вариантах доставки.
|
№ варианта |
Схема варианта |
Стоимость, руб. |
Время, час. |
|
1 |
0-1-2-3-4 |
136000 |
110,5 |
|
2 |
0-1-5-6-7-8-9-10-11-3-4 |
102 382,14 |
194,53 |
|
3 |
0-1-5-12-9-10-11-4 |
101 947,58 |
165,03 |
|
4 |
0-13-14-15-16-17-18-10-19-4 |
27 930,5 |
186,46 |
|
5 |
0-13-14-20-18-10-19-4 |
27 822,5 |
162,31 |
Относительное значение критериев доставки.
/27 822,5=4,88
382,14/27 822,5=3,68
947,58/27 822,5=3,66
930,5/27 822,5=1,003
,53/110,5=1,76
,03/110,5=1,49
,46/110,5=1,68
,31/110,5=1,46
Таблица 3
|
№ варианта |
Схема варианта |
стоимость |
время |
|
1 |
0-1-2-3-4 |
4,88 |
|
|
2 |
0-1-5-6-7-8-9-10-11-3-4 |
3,68 |
1,76 |
|
3 |
0-1-5-12-9-10-11-4 |
3,66 |
1,49 |
|
4 |
0-13-14-15-16-17-18-10-19-4 |
1,003 |
1,68 |
|
5 |
0-13-14-20-18-10-19-4 |
1 |
1,46 |
Среднеарифметическое значение потерь.
=min{Mj(R)}
=2,94
=2,72
=2,57
=1,34
=1,23
Таблица 4
|
№ варианта |
Схема варианта |
Mj(R) |
|
1 |
0-1-2-3-4 |
2,94 |
|
2 |
0-1-5-6-7-8-9-10-11-3-4 |
2,72 |
|
3 |
0-1-5-12-9-10-11-4 |
2,57 |
|
4 |
0-13-14-15-16-17-18-10-19-4 |
1,34 |
|
5 |
0-13-14-20-18-10-19-4 |
1,23 |
По данным расчетов следует, что оптимальным вариантом доставки является вариант №5.
Стоимость сквозной доставки с учетом вознаграждения экспедитора составит:
822,5+10% =30 604,75 руб.
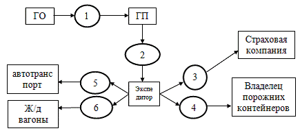
5. Организационно-договорное обеспечение транспортно-технологической
схемы доставки груза
.1 Участники процесса доставки груза
Участниками процесса доставки груза являются:
Компания-поставщик (грузоотправитель)
Транспортные или экспедиционные компании (экспедитор)
Распределительный центр или склад
Компания-грузополучатель
.2 Виды договоров, заключаемымих между участниками процесса доставки
груза
- Договор купли/продажи между ГО и ГП
- Договор ТЭО между ГО и ГП
- Договор страхования между Экспедитором и страховой компанией
- Договор аренды контейнеров между Экспедитором и владельцем порожних контейнеров
- Договор перевозки между Экспедитором и АТ
- Договор ж/д перевозок
5.3 Структурная схема договорно-правовых отношений между участниками
доставки груза
Заключение
При выполнении курсового проекта проведены расчёты с целью определения наиболее оптимального способа доставки листовой бумаги для офисной техники из Архангельска до Саратова.
Определена стоимость перевозки с учётом вознаграждения экспедитора.
Разработаны схемы, на которых подробно представлены основные участники
доставки, их обязанности, документооборот и сопровождающие груз транспортно-экспедиционные
операции.
Список литературы
1. Основы транспортно-экспедиционнного обслуживания: Методические указания к выполнению курсовой работы для студентов специальностей 190701 - организация перевозок и управление на транспорте (автомобильный транспорт), 080502 - экономика и управление на предприятии (автотранспорта) / СПб. гос. архит.-строит. ун-т.; сост. О.В. Попова. - СПб., 2008;
. Горев А.Э., Грузовые автомобильные перевозки: Учеб. пособие для студ. высш. учеб. заведений. - М.: Издательский центр "Академия", 2004;
. Сханова
С.Э., Попова О.В., Горев А.Э. Транспортно-экспедиционное обслуживание: Учебное
пособие для студ. высш. учеб. заведений. - М.: Издательский центр
"Академия", 2005.