Материал: Транспортно-експедиційне обслуговування

Внимание! Если размещение файла нарушает Ваши авторские права, то обязательно сообщите нам

Транспортно-експедиційне обслуговування

Міністерство освіти і науки України

Черкаський державний технологічний університет

Кафедра економічної кібернетики і маркетингу










Контрольна робота

з дисципліни «Логістика»

Студент(ка) 4 курсу групи СЗЕП - 15,

ФЕУ Нежива А. В








Черкаси - 2015

Зміст

Вступ

1.   Транспортно-експедиційні операції, альтернативи та критерії вибору, основні рішення управління при транспортуванні

2.      Практичні заняття


Вступ

Логістика - це сучасна наука про раціональну організацію виробництва та розподілу. Завдяки цій науці можна забезпечити доставку будь-яких вантажів у найкоротші терміни та з найменшими трудовими, матеріальними та фінансовими витратами.

Логістика виступає як певна виробнича інфраструктура економіки. Вона базується на чіткій взаємодії попиту, поставок, виробництва, транспортування і розподілу продукції. Логістика починається з первинних джерел сировини або вироблення напівфабрикатів, продовжується в обігу матеріалів і напівфабрикатів у рамках виробничого процесу підприємства і завершується доставкою готової продукції споживачу для досягнення економічних цілей підприємця.

Основні завдання логістики.

Такий завданням є забезпечення потреб споживачів. У тому числі, опосередковано через забезпечення всім необхідним виробництва, маркетингу та інших галузей діяльності. Основним завданням логістики як галузі є забезпечення нас свіжими газетами, свіжим хлібом в магазин і свіжою полуницею на ринку. Як допоміжна завдання використовується забезпечення необхідною сировиною виробництва, наприклад, борошном хлібозаводу або добривами та розсадою фермерів вирощують полуницю. Головними характеристиками при цьому виступають доступність товарів, швидкість і безперебійність поставок, а також гнучкість процесів.

При цьому інтегрована логістика враховує загальні витрати. Це дозволяє формувати так звані ланцюжка поставок, які і забезпечують доставку товарів споживачу в строк і з мінімальними витратами. Раніше не враховувалися загальні витрати в таких ланцюжках, та й ланцюжків-то не було.


1.      Транспортно-експедиційні операції, альтернативи та критерії вибору, основні рішення управління при транспортуванні

транспортний експедиційний товар доставка

Транспортно-експедиційне обслуговування - це діяльність в області перевезень, що охоплює весь комплекс операцій і послуг з доставки товару від виробника продукції до споживача. Транспортний сервіс у сучасних умовах включає в себе не тільки власне перевантаження вантажів від постачальника споживачеві, але і велика кількість експедиторських, інформаційних операцій, послуг з вантажопереробки, страхування, охорону і т.д. Такий підхід сприяє оптимальному вибору транспортних послуг, бо якість перевезень, як правило, більшою мірою відбивається на загальних витратах, ніж собівартість перевезень. Необхідність транспортної експедиції обумовлена тим, що процес доставки вантажу від вантажовідправника до вантажоодержувача, як правило, складається з декількох етапів перевезення, у тому числі з використанням різних видів транспорту.

При цьому виникає потреба як в організації та координації цих етапів, так і у виконанні супутніх перевізному процесу допоміжних робіт, які можуть виконуватися безпосередньо вантажовласниками (вантажовідправниками і вантажоодержувачами) і спеціалізованими організаціями (посередниками).

Одне з основних завдань транспортно-експедиційного обслуговування в сучасних умовах - пошук найбільш ефективного для замовника варіанти доставки вантажів на одному або декількох видах транспорту.

Види і характеристика транспортних засобів

Для початку, дамо визначення поняттю В«ТранспортВ». Транспорт - це галузь матеріального виробництва, що здійснює перевезення людей і вантажів.

Одним з найважливіших завдань логістики є надання транспортно-експедиційних послуг. Особлива увага приділяється цьому в Україні в останні роки. Такими є послуги, які надаються клієнтам з перевезення вантажу, його експедиції різними організаціями посередників (як українських, так і зарубіжних).

За способом організації вантажні перевезення поділяються на децентралізовані й централізовані, що бувають прямими, змішаними та комбінованими, а також контейнерними і пакетними. При децентралізованій організації перевезень доставку вантажів здійснює одержувач, який замовляє транспорт, виконує навантаження, експедирування та розвантаження вантажу. При цьому постачальник не зацікавлений у механізації вантажних робіт, скороченні простоїв рухомого составу та ефективному його використанні.

Централізовані перевезення є прогресивним способом виконання транспортного процесу та експлуатації рухомого составу. Перевезення вантажів таким способом дає змогу поліпшити використання рухомого составу, підвищити продуктивність праці на всіх стадіях переміщення вантажів, звільнити вантажовідправників та вантажоодержувачів від турбот стосовно транспортування вантажів. При централізованих перевезеннях істотно скорочуються невиробничі простої транспортних засобів. Більші простої за умов «самовивезення» пояснюються такими причинами: вантаж не готовий до перевезення; не готові товарно-транспортні документи; відсутній чіткий графік, внаслідок чого виникають стихійні черги під завантаження.

Організація централізованих перевезень дає змогу вчасно підготувати вантаж і документи на нього для перевезення, а також скласти графік черговості подання і навантаження транспортних засобів. Скорочення приблизно утричі простоїв забезпечує зростання у 3 рази кількості їздок за один день.

Усі перелічені вище чинники роблять рухомий состав більш продуктивним при централізованих перевезеннях у тоннах за годину приблизно в 4 рази, а в тонно-кілометрах за годину - більш ніж у 6 разів, що сприяє зниженню собівартості перевезень у 2,5 раза. При децентралізованому перевезенні вантажів споживачі для навантаження автомобілів користуються послугами вантажників та експедиторів. Тому виникають не тільки додаткові транспортні витрати споживачів, а й витрати, пов'язані з непродуктивними витратами часу вантажників та експедиторів.

Існують також інші чинники більш ефективного і якісного перевезення вантажів. Централізоване перевезення дає змогу широко використовувати контейнери й пакети, забезпечуючи цим такі переваги: скорочення кількості перевантажувальних операцій за рахунок поєднання дрібних вантажних місць в одне; спрощення приймання, сортування та видачі вантажів; механізація вантажно-розвантажувальних робіт. При цьому скорочується час на навантаження і розвантаження, а отже, зменшуються простої транспортних засобів, підвищується їх продуктивність, знижуються втрати вантажів при транспортуванні.

Важливою організаційною перевагою централізованих перевезень є чіткий розподіл зобов'язань та відповідальності між вантажовідправником, вантажоодержувачем та автотранспортною організацією. Це є передумовою організації ефективного технологічного процесу, у якому кожен з учасників доставки спеціалізується на конкретних видах робіт, несе за них матеріальну відповідальність, а отже, заінтересований у підвищенні якості та ефективності кожної операції. Все це зменшує сумарні витрати на переміщення вантажів від виробників до споживачів.

Централізовані перевезення організаціями посередників здійснюються на основі договорів. При цьому своєчасно виконується план реалізації продукції і, в свою чергу, вдосконалюється сам процес перевезень, знижуються витрати на транспортування.

За системи централізованих перевезень транспортні організації є організаторами процесу доставки вантажу одержувачам і виконують усі пов'язані з процесом перевезення транспортно-експедиційні операції (приймання вантажу та одержання товарно-транспортних та інших супроводжувальних документів, охорона його на шляху прямування, здача вантажоодержувачам і оформлення товарно-транспортних та інших супроводжувальних документів). Вони також приймають на себе матеріальну відповідальність за збереження вантажу, що перевозиться.

Транспортно-експедиційне обслуговування вантажів може здійснюватися суб'єктами підприємницької діяльності - експедиторами, які діють за дорученням вантажовідправників і вантажоодержувачів. Вони організовують транспортно-експедиційне обслуговування, але самі можуть і не брати безпосередньої участі в процесі перевезення.

Користування послугами транспортно-експедиційних посередників має певні переваги:

. Кожна партія вантажу може бути перевезена з найменшими витратами за рахунок консолідації вантажів (збору вантажів із декількох клієнтів).

. Є великий діапазон можливих розмірів і типів транспортних засобів. Можливо вибрати найбільш пристосований для цього вантажу транспортний засіб.

. Клієнтами можуть готуватися відправки без урахування наявності зворотнього вантажу.

. Виключається проблема простою, порожніх пробігів і недовантаження транспортних засобів у періоди спаду ділової активності і проблема їх недостатності у періоди її підвищення.

. Транспортно-експедиційні послуги дасть змогу замовникам скоротити потребу в транспортних засобах і обслуговуючому персоналі до мінімуму.

. Раціоналізуються і оптимізуються вантажні потоки на всіх рівнях.

. Якісно підвищується ефективність роботи самих транспортних засобів, а також обслуговуючого персоналу.

. Знижуються кількісні параметри і покращується культура запасів за рахунок збільшення частоти поставок.


2. Практичні завдання

Завдання 1. Визначення оптимального розміру замовлення

Задача 1

Визначити оптимальний розмір замовлення виходячи з наступних даних: витрати на обслуговування замовлення - 20 грн., кількість товару, реалізованого за рік - 2500,0 од. витрати на складування від середньорічної вартості запасу - 50%, вартість одиниці продукції - 12 грн.


Висновок: оптимальний розмір замовлення становить 129 одиниць товару.

Задача 2

Розрахуйте оптимальний розмір замовлення партії продукції при поповненні замовлення на кінцевий інтервал в умовах дефіциту. Витрати на поставку одиниці продукції Сi = 15 грн, річні витрати на зберігання (Сu× t) = 0,1 грн, розмір партії поставки: 600


Висновок: оптимальний розмір замовлення становить 424 одиниць товару.


Завдання 2. Визначення параметрів системи управління запасами «мінімум - максимум»

Розрахувати параметри системи управління запасами «мінімум - максимум», якщо річна потреба у матеріалах становить S шт., кількість робочих днів у році - N днів, оптимальний розмір замовлення Q шт., час поставки t днів, можлива затримка у поставках - g днів. Вихідні дані для розрахунку параметрів системи «мінімум - максимум» згідно варіанту наведені в табл. 2.1.

Таблиця 2.1. Вихідні дані для розрахунку параметрів системи «мінімум - максимум»

Показник

Варіант


6

S

1450

N

225

Q

77

t

10

g

3



.Розрахунок очікуваного денного споживання:


.Розрахунок очікуваного споживання матеріалів за час поставки:



.Розрахунок максимального споживання матеріалів за час поставки:


.Розрахунок гарантійного запас матеріалів:


.Розрахунок граничного рівня запасу:


.Розрахунок визначення максимально бажаного рівня запасу матеріалів:


Завдання 3. Визначення оптимального місця розташування складу (метод визначення центру ваги)

Задача 1

На території району розташовано 8 продовольчих магазинів, їх координати, а також місячний вантажообіг наведено в таблиці 4.2. Визначити оптимальне за витратами місце для складу, використовуючи метод визначення центру ваги. Вихідні дані:


Таблиця 4.2

№  магазину

Координати Х, км

Координати Y, км

Товарообіг, т/м

1

3

3

7

2

17

26

20

3

43

27

19

4

28

35

21

5

56

60

23

6

66

63

17

7

77

77

30

8

102

110

25


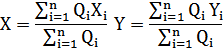
Координати центра ваги вантажних потоків (х склад, y склад), тобто точки, в яких може бути розміщений розподільчий склад, визначаються за формулами:


Х-склад = (7×3 +20×17 +19 ×43 +21×28 +23×56+17×66+30×77+25×102) / 162=55.8 км

У-склад = (7×3 +20 ×26 +19×27 +21 ×35 +23 ×60+17×63+30×77+25×110) / 162=57.4 км

Висновок. Координати найбільш прийнятного за даних умов центру ваги вантажних потоків становлять X (55.8км); Y (57.4).

Завдання 3. Визначення необхідної кількості стелажів

Використавши дані таблиці, визначити необхідну кількість стелажів для зберігання матеріалів трьох видів. Стелажі трьохярусні, мають 20 секцій. Один пакет розміщується у одній секції.

Варіант 6

Вид матеріалу

Кількість матеріалу для зберігання, т

Вага пакету, т

1

25,5

0,24

2

46,2

0,35

73,8

0,61


Розв’язок.

)        Знайти кількість пакетів кожного виду матеріалів:) 1.25,5/0,24=106)         2.46.2/0.35=132) 3.73.8/0.61=121

)        Знайти кількість місць на стелажі, знаючи, що стелажі трьохярусні і мають по 20 секцій:

×20 = 60 секцій.

)        Визначити загальну кількість пакетів:

+ 132 + 121 =359.

)        4) Знайти необхідну кількість стелажів:

/ 60 = 5.98=6

Відповідь: всього потрібно 6 стелажів, адже, п’ять стелажів будуть завантажені повністю, а у шостому розмістяться тільки 9 пакетів.

Висновок

Транспортно-експедиційне обслуговування є важливою діяльністю, що охоплює весь комплекс операцій і послуг з доставки товару від виробника продукції до споживача. Транспортний сервіс у сучасних умовах включає в себе не тільки власне перевантаження вантажів від постачальника споживачеві, але і велика кількість експедиторських, інформаційних операцій, послуг з вантажопереробки, страхування, охорону і т.д. Такий підхід сприяє оптимальному вибору транспортних послуг, бо якість перевезень, як правило, більшою мірою відбивається на загальних витратах, ніж собівартість перевезень. Необхідність транспортної експедиції обумовлена тим, що процес доставки вантажу від вантажовідправника до вантажоодержувача, як правило, складається з декількох етапів перевезення, у тому числі з використанням різних видів транспорту.

Транспортно-експедиційне обслуговування вантажів може здійснюватися суб'єктами підприємницької діяльності - експедиторами, які діють за дорученням вантажовідправників і вантажоодержувачів. Вони організовують транспортно-експедиційне обслуговування, але самі можуть і не брати безпосередньої участі в процесі перевезення.


Список використаної літератури

1. Гаджинский А. М. Практикум по логистике / А. М. Гаджинский. - 8-е изд. - М.: Издательско-торговая корпорация «Дашковик·», 2012.- 312 с.

. Гурч Л. М., Марченко С. М. Методичні рекомендації щодо забезпечення самостійної роботи студентів з дисципліни “Логістика” (для бакалаврів). - К.: МАУП, 2007. - 69 с.

3. Качала, Т.М. Логістика: основи теорії і практики: навч. посіб. [Текст] / Т.М. Качала, О.В. Коломицева. - М-во освіти і науки України, Черкас. держ. технол. ун-т. - Черкаси: ЧДТУ, 2010. - 160 с.

4. Корсаков А.А. ОСНОВЫ ЛОГИСТИКИ: Учебное пособие / Московский государственный университет экономики, статистики и информатики. - М., 2005. - 69 с.

5. Практикум по логистике: Уч. пособие. - 2-е изд., перероб. и доп. / под ред. Б.А. Аникина. - М: ИНФРА-М, 2006. - 276 с.

. Скузоватова Н.В. Логистика: Практикум / Н.В. Скузоватова. - Оренбург: ОГИМ, 2010. - 62 с.


Не нашли материал для своей работы?
Поможем написать уникальную работу Без плагиата!