Материал: Теплообменная установка для нагревания молока

Внимание! Если размещение файла нарушает Ваши авторские права, то обязательно сообщите нам

Теплообменная установка для нагревания молока

Министерство сельского хозяйства Российской Федерации

Российский государственный аграрный университет - МСХА

имени К.А. Тимирязева

Технологический факультет

Кафедра процессов и аппаратов перерабатывающих производств








Курсовая работа

Теплообменная установка для нагревания молока


Исполнитель:

студентка группы205

техн. факультета

Гущина Екатерина Сергеевна

Преподаватель Стефановский В.М.



Москва 2012 г.

Содержание

Введение

. Теоретические и методические основы решения задачи

.1 Теоретические основы решения задачи

.2 Методические основы решения задачи

. Основная часть

.1 Тепловой расчет

.2 Конструктивный расчет

.3 Расчет тепловой изоляции

.4 Гидравлический расчет

. Подбор насоса

Заключение

Список использованной литературы

Приложение

Введение

Теплотехника - наука, изучающая методы получения, преобразования, передачи и использования теплоты, а также принципы действия и конструктивные особенности тепловых машин и аппаратов. Теплопередача - физический процесс передачи тепловой энергии от более горячего тела к более холодному либо непосредственно (при контакте), либо через разделяющую (тела или среды) перегородку из какого - либо материала. Самопроизвольная передача тепла всегда происходит от более горячего тела к более холодному, что является следствием второго закона термодинамики (однако возможно передать тепло от холодного тела с помощью вспомогательных устройств, таких как холодильник). Теплопередачу невозможно остановить, ее можно только замедлить. Существует три простых вида передачи тепла: теплопроводность, конвекция и тепловое излучение. Существуют также различные виды сложного переноса тепла, которые являются сочетанием элементарных видов. Основные из них: теплоотдача - конвективный теплообмен между потока жидкости или газа и поверхностью твердого тела; теплопередача - теплообмен от горячей жидкости к холодному через разделяющую их стенку; конвективно-лучистый перенос тепла - совместный перенос тепла излучение и конвекцией.

В данной курсовой работе необходимо подобрать насос для поднятия молока на определенную высоту. Молоко - жидкость, выработанное секрецией молочной железы выращенных на ферме животных. Молоко содержит много питательных минеральных веществ необходимых организму, таких как кальций <#"866560.files/image001.gif">

Где M1 и M2 - массовый расход соответственно горячего и холодного теплоносителя, кг/сек;и V2 - объемный расход соответственно горячего и холодного теплоносителя, м3/сек

????1 и ????2 - плотность соответственно горячего и холодного теплоносителя, кг/м3;

С1 и С2 - массовая теплоемкость при постоянном давлении соответственно горячего и холодного теплоносителя, Дж/(кг град);н и t1k - начальная и конечная температура горячего теплоносителя, градCн и t2k - начальная и конечная температура холодного теплоносителя, градС

Qпот - потери теплоты в окружающую среду, Вт.

Нагревание с изменением агрегатного состояния теплоносителя

При нагревании пищевой среды конденсирующимся паром уравнение теплового баланса имеет вид:

D(iп - сконд tконд)=M2C2 (t2k-t2H)+Qпот, Вт (4)

где D - расход греющего пара, подаваемого в аппарат за единицу времени, кг/сек;п - энтальпия пара, поступающего в аппарат, Дж/кг;

сконд - теплоемкость конденсата, выходящего из аппарата, Дж/(кг С);конд - температура конденсата, выходящего из аппарата, градС

Стремясь максимально использовать поверхность теплообмена, этапы охлаждения в теплообменнике перегретого пара и образовавшегося конденсата исключают, когда уравнение теплового баланса(4) принимает вид:

=M2C2 (t2k-t2H)+Qпот, Вт (5)

где r - скрытая теплота парообразования, Дж/кг;

Расчет среднего температурного напора

Характер изменения температур теплоносителей в процессе прохождения через аппарат (рис.1) зависит от особенностей процессов теплоотдачи, вида, расхода теплоносителей и направления их движения (схемы: прямоток, противоток, перекрестный ток или смешанный ток).

Для определения среднего температурного напора ∆tср между горячим и холодным теплоносителями необходимо предварительно, в соответствии с выбранным направлением движения теплоносителей, построить диаграмму изменения температур и рассчитать ∆tср по следующим формулам:


Расчет общего коэффициента теплопередачи


Согласно теории теплообмена коэффициент теплопередачи для плоской стенки рассчитывают по формуле



где α2 - коэффициент теплоотдачи от горячего теплоносителя к омываемой поверхности стенки, Вт/(м2град);

δ i - толщина стенки (слоя накипи, слоя ржавчины или загрязнений), м;

λ i - коэффициент теплопроводности материала (стенки трубы, слоя накипи, слоя ржавчины или загрязнений), Вт/(м град);и d2 - внутренний и внешний диаметры трубы соответственно, м;

Связь между k и kL определяется соотношением:

=

Теплоотдача без изменения агрегатного состояния теплоносителя

При развитом турбулентном режиме течения теплоносителя в прямых трубах (Re>10000) уравнение подобия имеет вид:


где S - площадь живого сечения потока, м2;

П- смоченный периметр, м

Для труб круглого сечения dэкв = dвнутр

Для канала кольцевого сечения эквивалентный диаметр равен

экв = (Dвнутр - dнаружн),

где Dвнутр - внутренний диаметр "большой" трубы,наружн - наружный диаметр "малой" трубы.

При вычислении критериев Re, Pr и Nu значения физических констант жидкости выбирают из таблиц при так называемой определяющей температуре. В данном случае в качестве определяющей температуры принята средняя арифметическая температура жидкости(газа).

При движении потока вдоль плоской стенки для расчета коэффициента теплоотдачи при Re >10000 рекомендуется следующее приближенное уравнение:


В уравнении физических констант берутся при начальной температуре теплоносителя. В качестве характерного размера l принимается длина теплоотдающей стенки в направлении движения потока.

Если режим движения теплоносителя внутри прямой трубы ламинарный (Re< 2320), то для расчета коэффициента теплоотдачи используется следующее уравнение подобия:

Nu = 0,15 Re0,33 Gr0,3 Pr0,43()0,25


Nu = 0,76 Re0,5 Pr0,43()0,25

При переходном режиме(2320<Re<10000) расчет коэффициента теплоотдачи рекомендуется производить по графику (рис. 2).


Расчет тепловой поверхности теплопередачи

Расчет площади поверхности теплопередачи производится в соответствии с уравнением:


Поверхность теплообмена (в м2) рассчитана без учета тепла (или холода) в окружающую среду и, следовательно, будет меньше поверхности, которая обеспечит реальные условия работы аппарата.

Для расчета реальной поверхности необходимо дополнительно знать также Qпот - тепловой поток, теряемый аппаратом в окружающую среду. Это требует знания площади внешней поверхности аппарата и условий теплообмена между корпусом и окружающей средой.

Конструктивный расчет

Конструктивный расчет сводится к определению основных размеров аппарата, он имеет особенности для каждого типа теплообменников.

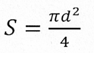
Для определения основных габаритных размеров аппарата необходимо в первую очередь рассчитать сечения для прохода теплоносителей, пользуясь уравнением расхода

=S u (21)

где V - объемный расход теплоносителя, м3/сек;- площадь поперечного сечения потока теплоносителя, м2;- средняя скорость движения теплоносителя, м/сек.

Уравнение(21) можно выразить через массовый расход теплоносителя:

= S u????

где M - массовый расход теплоносителя, кг/сек;

???? - плотность теплоносителя, кг/м3;???? - произведение этих величин называют массовая скорость теплоносителя, кг/(м2 сек).

Выбор скорости теплоносителя

Скорость движения жидких теплоносителей в аппаратах принимают:

В трубах- 1÷2 м/сек, в межтрубном пространстве - 0,2 ÷ 0,6 м/сек. Если в продукте содержится твердая примесь, то скорость следует принимать не менее 1,5 м/сек, чтоб предотвратить осаждение. При выборе скорости необходимо учитывать вязкость теплоносителя.

Скорость движения газа в трубах принимают: 15 ÷ 20 м/сек.

Скорость движения пара внутри труб принимают - до 50 м/сек

Определения основных размеров аппарата

В соответствии с принятой скоростью теплоносителей и заменой в уравнении площади поперечного сечения для прохода теплоносителя, выражений, например, через диаметр d трубы.

 (23)

Получим формулу для расчета диаметра патрубков для входа и выхода теплоносителей (в м)

 (24)

Где ???? - плотность теплоносителя на входе (для входного патрубка) или на выходе из аппарата, определяется по таблицам в зависимости от начальной или конечной температуры теплоносителя, кг/м3.- скорость теплоносителя на входе или на выходе из аппарата; скорость на входе принимается в пределах рекомендованных значений скоростей теплоносителей в трубах; скорость на выходе меньше скорости на входе за счет гидравлических сопротивлений аппарата.

Длина патрубков определяется:

 (25)

Кожухотрубные теплообменные аппараты

Конструктивный расчет кожухотребных аппаратов сводится к определению числа труб, размещению их в трубны решетках и определению диаметра кожуха аппарата.

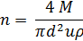
Учитывая принятый ранее диаметр труб, определяем число труб n при одном ходе теплоносителя в аппарате:


где M - массовый расход теплоносителя, кг/сек.

Известная из теплового расчета поверхность нагрева аппарата может быть выражена, как

м

откуда длина одной трубки


где dср - средний расчетный диаметр труб, определяется в зависимости от соотношения α1 и α2:

если α1 > α2 dср = dнаруж

если α1 ≈ α2 dср =0,5(dнаруж +dвнутр)

если α1 < α2 dср = dвнутр

Рекомендуется делать трубы длиной Lдопуск не более 4 м. При поверхности теплообмена более 300 м2 длину выбирают до 6 м.

Если по расчету получается L> Lдопуск, то аппарат делается многоходовым и определяется число ходов в трубном пространстве:


а общее число труб (длиной Lдопуск) в аппарате

общ = n m

После определения числа труб и количества ходов, их размещают на трубных решетках.

Трубы в трубных решетках чаще размещают по вершинам правильных шестиугольников (рис. 3).

Рис. 3

общ = 3a(a - 1) +1;= 2a - 1;

nобщ =  (b2 - 1) +1,

где nобщ - общее число труб в решетке;- число труб по диагонали шестиугольника- число труб в стороне шестиугольника

Нормалями НИИХИММАШАа рекомендуется следующее соответствие шага (расстояние между осями двух соседних труб) t и диаметрами труб (таблица 6)

Соответствие шага и диаметра труб

Диаметры dнар/dвнутр , мм

25/21

38/36

57/52

Шаг t , мм

32

48

70


Диаметр окружности D', на которой размещают крайние трубки, определяется по уравнению:

' = t (b - 1), м

Внутренний диаметр корпуса одноходового теплообменника принимается

≈ D' + (3÷4) dнар, м

При расчете кожухотрубных теплообменных аппаратов может получиться, что для обеспечения условия задания необходим теплообменник с небольшим числом очень длинных трубок. В этом случае целесообразно проектировать многоходовые аппараты.

После завершения теплового и конструктивного расчетов следует обосновать необходимость применения тепловой изоляции и решить вопрос о том, какую часть внешней поверхности корпуса теплообменника надо покрывать слоем изоляционного материала.

Условия, при которых нанесение тепловой изоляции не требуется

Во-первых, необходимо учитывать требования техники безопасности:

Наружная стенка аппарата не должна иметь температуру выше 35÷40°С, а температура в цехе не должна намного отличаться от 20°С для обеспечения нормальных условий работы обслуживающего персонала.

Во-вторых, надо сопоставить полезный тепловой поток Q c Qпот - тепловым потоком, теряемым в окружающую среду неизолированный внешней поверхностью аппарата. Расчет Qпот производят по уравнению теплоотдачи:

Qпот = α3Fk (tст - tвозд), Вт

где α3 - коэффициент теплоотдачи от наружной поверхности аппарата к воздуху помещения, Вт/(м2град).- площадь поверхности внешней трубы (диаметром Dнар), м2;ст - температура наружной поверхности внешней трубы, °С(35°С);возд - средняя температура воздуха в помещении цеха, °С(20°С).

Коэффициент теплоотдачи α3 рассчитывают по уравнению подобия для теплоотдачи при свободном движении жидкости (воздуха)

= c( Gr Pr)n (44)

Значения с и n в уравнении(44) для отдельных участков различны и являются функцией аргумента ( Gr Pr) . Их значения приведены в таблице 7.

Значения с и n в формуле (44)

(Gr Pr)

С

N

1·10-3…5·102

1,18

1/8

5·102…2·107

0,54

¼

2·107…1·1013

0,135

1/3


При вычислении чисел Nu = и Gr=  β ∆t за характерный размер L, входящий в качестве линейного размера в критерии подобия, принят для труб - их диаметр.

В качестве определяющей температуры3 принята средняя температура пограничного слоя

tm = ,

где tсм - температура наружной поверхности аппарата (внешней трубы); tвозд - температура воздуха вне зоны, охваченной процессом.

В случае, если требования техники безопасности выполняются и потери теплоты Qпот незначительны (менее 5% от сообщаемой продукту теплоты Q),то изоляцию можно не устанавливать. Более точный ответ о целесообразности изоляции может дать сравнительный экономический расчет стоимости тепла и расходов на изоляцию.