Материал: Теория автоматического управления

Внимание! Если размещение файла нарушает Ваши авторские права, то обязательно сообщите нам

Теория автоматического управления

Министерство образования и науки Российской Федерации

ФГБОУ ВПО «Магнитогорский государственный технический

университет им. Г.И. Носова»

Факультет автоматики и вычислительной техники

Кафедра электроники и микроэлектроники








Расчётно-графическая работа

по дисциплине «Теория автоматического управления»


Выполнил: студент группы АПБ-12-1 Кунусбаева А.М.

Проверил: доцент кафедры ЭиМЭ, к.т.н. Пишнограев Р.С.







Магнитогорск, 2015

Оглавление

1. Задание

1.1 Определение передаточной функции объекта по управляющему воздействию WРАЗ(p)

1.2 Определение передаточной функции объекта по управляющему воздействию Wf(p)

. При известных типах и параметрах W1(p)..W4(p) определить характер устойчивости объекта по управляющему воздействию с помощью любого алгебраического критерия

. При WОС(р) = 1 выполнить синтез оптимального регулятора WР(р)

. Проверка устойчивости САУ графическим критерием

. Определение коэффициента ошибки системы при линейно изменяющемся управляющем воздействии

Библиографический список

1. Задание


. Полагая WР(р) = 1 и WОС(р) = 0, привести в общем виде:

.1.WРАЗ(р) - передаточную функцию объекта управления по управляющему воздействию x;

.2.Wf(p) - передаточную функцию объекта управления по возмущающему воздействию f.

Все преобразования структурной схемы объекта привести в пояснительной записке.

. При известных типах и параметрах W1(p)..W4(p) определить характер устойчивости объекта по управляющему воздействию с помощью любого алгебраического критерия.

. При WОС(р) = 1 выполнить синтез оптимального регулятора WР(р).

. Проверить устойчивость полученной системы управления (с учётом регулятора) любым графическим критерием. Показать на графиках и привести значения запаса устойчивости по амплитуде КЗ и фазе φз.

. Определить We(р) - передаточную функцию объекта управления и регулятора по ошибке регулирования в общем виде. Все необходимые преобразования структурной схемы объекта привести в пояснительной записке. При известных типах и параметрах W1(p)..W4(p) и WР(р) рассчитать коэффициенты ошибок определить степень астатизма САУ.

Таблица 1 - Параметры передаточных функций объекта управления

Вар.

Вар. пар.

W1(p)

W2(p)

W3(p)

W4(p)

2


K3

K4


4

K1 = 4,8 τ1 = 0,00001

K2 = 200

K3 = 0,15

K4 = 0,2


Рисунок 1 - Исходная структурная схема системы автоматического управления

.1      Определение передаточной функции объекта по управляющему воздействию WРАЗ(p)

передаточный функция регулятор

На рисунке 1 показана исходная структурная схема исследуемой системы управления. Согласно принципу суперпозиции, определение передаточной функции системы по управляющему воздействию x осуществляется при отсутствии возмущающего воздействия f. На основании данного принципа с учётом условий задания WР(р) = 1 и WОС(р) = 0 исходная структурная схема рисунка 1 преобразуется в структурную схему, показанную на рисунке 2.

Рисунок 2 - Структурная схема системы автоматического управления с учётом условий задания и принципа суперпозиции

Структурная схема, показанная на рисунке 2 может быть преобразована к виду, показанному на рисунке 3.

Рисунок 3 - Структурная схема системы после преобразования схемы рисунка 2

Согласно правилам структурных преобразований структурная схема системы может быть преобразована к виду, представленному на рисунке 4.

Рисунок 4 - Окончательный вид структурной схемы

Запишем WРАЗ(р):

Подставим заданные значения из таблицы 1 и получим:


.2 Определение передаточной функции объекта по управляющему воздействию Wf(p)

Рисунок 5 - Структурная схема системы автоматического управления с учётом условий задания и принципа суперпозиции

Преобразуем схему к привычному виду.

Рисунок 6 - Структурная схема системы автоматического управления с учётом условий задания и принципа суперпозиции

Так как  и  параллельны, то


Упростим схему.

Рисунок 7 - Окончательный вид структурной схемы

Запишем функцию .


2. При известных типах и параметрах W1(p)..W4(p) определить характер устойчивости объекта по управляющему воздействию с помощью любого алгебраического критерия

Для определения степени устойчивости объекта управления воспользуемся критерием Гурвица.

Известно, что передаточная функция замкнутой системы может быть определена как:


Характеристическое уравнение объекта управления D(p) представляет собой полином:

Тогда коэффициенты характеристического уравнения D(p) равны: a0 =, a1 =, a2 = . Составим матрицу Гурвица G и найдём все её диагональные определители Δii:

Δ11 =

Δ22 =

Так как все главные определители матрицы Гурвица положительны, как и a0, можно сказать, что система устойчива.

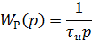
3. При WОС(р) = 1 выполнить синтез оптимального регулятора WР(р)

Согласно заданию, синтез регулятора WPАЗ(p) необходимо выполнять из условия получения в системе управления астатизма первого порядка. Для выполнения задания достаточно, чтобы регулятор представлял собой интегральное звено с передаточной характеристикой:


Передаточная функция разомкнутой системы имеет вид:


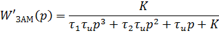
Передаточная функция разомкнутой скорректированной системы имеет вид:


Передаточная функция скорректированной замкнутой системы:

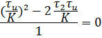
=3, m=1

 

Система оптимальна, если:


Подставив в формулу значения коэффициентов, получим:


Передаточная характеристика регулятора примет вид:


4. Проверка устойчивости САУ графическим критерием

Для проверки устойчивости скорректированной САУ воспользуемся критерием Боде. Для этого необходимо построить ЛАЧХ и ЛФЧХ разомкнутой системы управления с учётом регулятора. Структурная схема системы управления при WОС(p) = 1 представлена на рисунке 8.

Рисунок 8 - Структурная схема скорректированной САУ

Передаточная функция разомкнутой скорректированной системы управления равна:


ЛАЧХ и ЛФЧХ САУ представлены на рисунке 9. Также на рисунке 9 обозначены коэффициенты запаса по амплитуде и по фазе системы.

На рисунке 9 видно что значение .

Рисунок 9 - ЛАЧХ и ЛФЧХ САУ

5. Определение коэффициента ошибки системы при линейно изменяющемся управляющем воздействии

С условием задания WОС(p) = 1, исходная структурная схема САУ может быть представлена в виде, показанном на рисунке 10. Найдём передаточную функцию системы по ошибке регулирования е (рисунок 10).

Рисунок 10 - Структурная схема скорректированной САУ


Определим степень астатизма САУ, для этого найдем количество коэффициентов ошибок равных нулю.


Так как первый коэффициент ошибки равен нулю, а второй отличен от нуля, то эта система с астатизмом первого порядка.

Библиографический список

1.   Лазарева Т.Я., Мартемьянов Ю.Ф. Линейные системы автоматического регулирования: Учебное пособие. Тамбов: Изд-во Тамб. гос. техн. ун-та, 2001.- 264 с.

2.      Певзнер Л.Д. Теория систем управления. - М.: Издательство Московского государственного горного университета, 2002. - 472 с.

.        Ротач В.Я. Теория автоматического управления: учебник для вузов. - 5-е изд., перераб. и доп. М: Издательский дом МЭИ, 2008. -396 с., ил.

.        Электротехника: Учебное пособие для вузов. - В 3-х книгах. Книга II. Электрические машины. Промышленная электроника. Теория автоматического управления / Под. ред. П.А. Бутырина, Р.Х. Гафиятуллина, А.Л. Шестакова. - Челябинск: Изд-во ЮУрГУ, 2004.- 711 с.

.        Теория автоматического управления: Учеб. для вузов по спец. «Автоматика и телемеханика». В 2-х ч. Ч. I. Теория линейных систем автоматического управления / Н.А. Бабаков, А.А. Воронов, А.А. Воронова и др.; Под ред. А.А. Воронова. - 2-е изд., перераб. и доп. - М.: Высш. шк., 1986.- 367 с.