Міністерство освіти і науки, молоді та спорту України
Полтавський національний технічний університет
імені Юрія Кондратюка
Факультет інформаційних та телекомунікаційних технологій і систем
Кафедра
комп’ютерної інженерії
Розрахунково-графічна робота
«Телекомунікаційні
та інформаційні мережі»
Виконав:
студент 302-ТТ групи
Казидуб О.О.
Варіант№33
Перевірив:
к.т.н., доцент
Слюсар
І.І.
Полтава
2012
ЗАДАЧА№1
Інтенсивність надходження
заявок в мережу становить
, середній
час заняття елементів мережі дорівнює
. Визначити яка імовірність відмови
в обслуговуванні заявки
, яка
надходить, якщо функціонують
обслуговуючих приладів?
Розв’язання:
Для визначення ймовірність
відмови в обслуговуванні заявки необхідно використовувати наступні математичні
співвідношення (Z-умовне навантаження [Ерл]):
;
.
Відповідь:
.
ЗАДАЧА№2
В мережі є
обслуговуючих
приладів,
джерел
навантаження. Відомо, що середній час заняття елементів мережі дорівнює
, а
інтенсивність надходження заявок від одного джерела має значення
. Визначити
навантаження в мережі, що обслуговане Y.
Розв’язання:
;
;
.
Відповідь:
.
ЗАДАЧА№3
Чому дорівнює загублене в
мережі навантаження, якщо ймовірність відмови в обслуговуванні заявок дорівнює
, середній
час заняття елементів мережі -
, а інтенсивність надходження заявок
в мережу становить
?
Розв’язання:
;
;
.
Відповідь:
.
ЗАДАЧА№4
Визначити відносну q та
абсолютну пропускні Q здатності системи розподілу інформації, якщо відомо, що в
системі функціонує
справних
канали, інтенсивність надходження заявок
, а середній час зайняття
обслуговуючих приладів заявки дорівнює
.
Розв’язання:
;
;
;
.
Відповідь:
,
ЗАДАЧА№5
Визначити надійність зв’язку
в мережі граф рис.1 між вузлами в мережі 1 і 6, якщо ймовірність працездатного
стану ребра дорівнює
.
Рис.1.
Розв’язання:
Надійність зв’язку між
вузлами 1 і 6 можна обчислити за формулою
.
;
;
.
Відповідь: надійність зв’язку
між вузлами 1 і 6 дорівнює
.
ЗАДАЧА№6
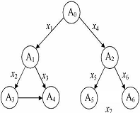
Оцінити показник живучості
мережі заданої структури граф рис.2 при l=2-разовому впливі, якщо ймовірність
ураження лінії дорівнює q=0,086.
Рис.2.
Розв’язання:
мережа навантаження розподіл пропускний
Таблиця 1
|
i |
l |
x1 |
x2 |
x3 |
x4 |
x5 |
x6 |
x7 |
N |
ni/N |
|
|
1 |
2 |
0 |
0 |
1 |
1 |
1 |
1 |
1 |
4 |
2 |
0.5 |
|
2 |
2 |
0 |
1 |
0 |
1 |
1 |
1 |
1 |
4 |
2 |
0.5 |
|
3 |
2 |
0 |
1 |
1 |
0 |
1 |
1 |
1 |
4 |
0 |
0 |
|
4 |
2 |
0 |
1 |
1 |
1 |
0 |
1 |
1 |
4 |
1 |
0.25 |
|
5 |
2 |
0 |
1 |
1 |
1 |
1 |
0 |
1 |
4 |
1 |
0.25 |
|
6 |
2 |
0 |
1 |
1 |
1 |
1 |
1 |
0 |
2 |
0.5 |
|
|
7 |
2 |
1 |
0 |
0 |
1 |
1 |
1 |
1 |
4 |
2 |
0.5 |
|
8 |
2 |
1 |
0 |
1 |
0 |
1 |
1 |
1 |
4 |
1 |
0.25 |
|
9 |
2 |
1 |
0 |
1 |
1 |
0 |
1 |
1 |
4 |
2 |
0.5 |
|
10 |
2 |
1 |
0 |
1 |
1 |
1 |
0 |
1 |
4 |
2 |
0.5 |
|
11 |
2 |
1 |
0 |
1 |
1 |
1 |
1 |
0 |
4 |
3 |
0.75 |
|
12 |
2 |
1 |
1 |
0 |
0 |
1 |
1 |
4 |
2 |
0.5 |
|
|
13 |
2 |
1 |
1 |
0 |
1 |
0 |
1 |
1 |
4 |
3 |
0.75 |
|
14 |
2 |
1 |
1 |
0 |
1 |
1 |
0 |
1 |
4 |
3 |
0.75 |
|
15 |
2 |
1 |
1 |
0 |
1 |
1 |
1 |
0 |
4 |
3 |
0.75 |
|
16 |
2 |
1 |
1 |
1 |
0 |
0 |
1 |
1 |
4 |
2 |
0.5 |
|
17 |
2 |
1 |
1 |
1 |
0 |
1 |
0 |
1 |
4 |
2 |
0.5 |
|
18 |
2 |
1 |
1 |
1 |
0 |
1 |
0 |
4 |
2 |
0.5 |
|
|
19 |
2 |
1 |
1 |
1 |
1 |
0 |
0 |
1 |
4 |
2 |
0.5 |
|
20 |
2 |
1 |
1 |
1 |
1 |
0 |
1 |
0 |
4 |
3 |
0.75 |
|
21 |
2 |
1 |
1 |
1 |
1 |
1 |
0 |
0 |
4 |
3 |
0.75 |
;
.
Відповідь:
.
ЗАДАЧА№7
Визначити шляхи з мінімальною вагою між всіма вузлами мережі. Результат представити у вигляді матриці.
Розв’язання:
Рис.3.
=4, b=9, c=7, d=8, e=9.
;
;
;
.
Відповідь :
-
характеристичні матриці.
ЗАДАЧА№8
Знайти множину усіх шляхів від вузла a1 до a2. Побудувати дерево шляхів відносно вузла a1.
Розв’язання:
Структура мережі відповідає
графу (рис.4.). Необхідно побудувати дерево шляхів рангу
для вузла
4.
,
.
Рис.4.
Дерево шляхів матиме вигляд
(рис.5.):
Рис.5.
Відповідь : використовуючи
побудоване дерево, випишемо всі шляхи рангу r 3, що з’єднують вузол 4 з вузлом
1:
.
ЗАДАЧА№9
Визначити максимальну пропускну здатність в мережі між вузлами a1=4 і a2=7.
Розв’язання:
Структура мережі представлена у
вигляді графа (рис.6).
Рис.6.
1)
;
. 4)
;
.
)
;
. 5)
;
.
)
;
.
ЗАДАЧА№10
Оцінити коректність конфігурації мережі Ethernet за параметрами: часом подвійного обертання сигналу (PDV) між двома найбільш віддаленими станціями мережі та скороченням міжкадрового інтервалу (PVV) при проходженні послідовності кадрів через всі повторювачі.
Розв’язання:
Рис.7. Структура мережі
Ethernet
|
№ сегменту |
10 Base-FB |
10 Base-FL |
10 Base-T |
L, м |
№ сегменту |
10 Base-FB |
10 Base-FL |
10 Base-T |
L, м |
|
||||
|
1 |
+ |
L1 |
6 + |
|
L2 |
|||||||||
|
2 |
+ |
L1 |
7 |
+ |
L3 |
|||||||||
|
3 |
+ |
L1 |
8 |
+ |
L3 |
|||||||||
|
4 + |
|
L2 |
9 |
+ |
L3 |
|||||||||
|
5 + |
L2 |
|
||||||||||||
Рис.8. Технологічні показники мережі
Ethernet
Між вузлом1 і вузлом2:PDV=774,51>575 Конфігурація мережі не коректна=30,5<49 оскільки одна з умов не задовольняється.
Між вузлом1 і вузлом3:PDV=774,51>575 Конфігурація мережі не коректна=30,5<49 оскільки одна з умов не задовольняється.
Між вузлом2 і вузлом3:PDV=617,51>575 Конфігурація мережі не коректна=30,5<49 оскільки одна з умов не задовольняється.
Відповідь :конфігурація мережі
Ethernet не коректна, жоден зі шляхів не задовольняє обом умовам мережі
Ethernet.
ЗАДАЧА№11
На підприємстві необхідно завершити організацію надання послуг VoIP. З метою приховування інформації утворюються підмережі класу «С». Визначити маску однієї з них, якщо планується робота в ній абонентів у кількості N=28. При цьому врахувати ΔN-ий запас 8 (у відсотках) на подальше її розширення. Відповідь вказати у вигляді стандартного запису, наприклад: 255.255.255.128.
Розв’язання:
;
;
;
.255.255.224.
Відповідь : 255.255.255.224.
ВИКОРИСТАНА ЛІТЕРАТУРА
1. ВоробієнкоП.П., НікітюкЛ.А., РезніченкоП.І. Телекомунікаційні та інформаційні мережі: Підруч. для ВНЗ. -К.: Саммит-книга, 2010. -640 с.
. ОлиферВ.Г., ОлиферH.A. Компьютерные сети. Принцип, технологии, протоколы: Учебник для вузов. 4-е изд. -СПб.: "Питер", 2010. -944с.
. СтекловВ.К., БеркманЛ.Н. Проектування телекомунікаційних мереж: Підруч. для студ. вищ. навч. зал. за напрямком «Телекомунікації»/за ред. В.К.Стеклова.-К.: Техніка, 2002.-792 с.