Материал: Технология процесса печатания дисперсным красителем на полиэфирной ткани

Внимание! Если размещение файла нарушает Ваши авторские права, то обязательно сообщите нам

Технология процесса печатания дисперсным красителем на полиэфирной ткани

Введение

полиэфирный краситель волокно

Полиэфирное волокно - синтетическое волокно, формируемое из расплава полиэтилентерефталата или его производных. Полиэтилентерефталат (ПЭТФ, ПЭТ) ˗ термопластик, наиболее распространённый представитель класса полиэфиров, известен под разными фирменными названиями: полиэфир, лавсан или полиэстер [1].

Исследования по полиэтилентерефталату и полиэфирным волокнам были начаты в Великобритании Уинфилдом (J.R. Whinfield) и Диксоном (G.T. Dickson), работавшими в это время в фирме Calico Printers Association Ltd, в период, начиная с 1935 г. Заявки на основополагающие патенты по синтезу волокнообразующего полиэтилентерефталата были поданы и зарегистрированы 29 июля 1941 г. и 23 августа 1943 г., но только в 1946 г. эти патенты были опубликованы.

В дальнейшем, приобретя эти патенты, фирмы Imperial Chemical Industries Ltd. (ICI) и E.I. Du Pont de Nemours & Co на их основе разработали усовершенствованные технологические процессы получения полиэтилентерефталата и волокон из него. Производство полиэфирных волокон было начато в Англии (волокно терилен - 1947-1951 гг. в большом опытном масштабе и в 1953-1955 гг. в промышленном масштабе) и США (волокно дакрон - 1953-1955 гг. в промышленном масштабе).

В СССР научные исследования в области синтеза полиэтилентерефталата были начаты под руководством академика В.В. Коршака в 1949 г. в Лаборатории высокомолекулярных соединений Академии наук СССР.

В СССР полиэтилентерефталат и получаемое из него волокно называли лавсаном, в честь места разработки - ЛАборатории Высокомолекулярных Соединений Академии Наук. Аналогичные волоконные материалы, изготавливаемые в других странах, получили другие названия: терилен (Великобритания), дакрон (США), тергал (Франция), тревира (ФРГ), теторон (Япония), полиэстер, мелинекс, милар Tecapet («Текапэт») и Tecadur («Текадур» (Германия) и т.д.

Разработка промышленной технологии синтеза полиэтилентерефталата и получения волокон были развернуты во ВНИИ искусственных волокон (г. Мытищи, под Москвой) под руководством проф. Б.В. Петухова и проф. Э.М. Айзенштейна (при большом содействии проф. А.А. Конкина - зам. директора по НИР, а затем директора ВНИИВа), а в 1956 г. здесь же был начат опытный выпуск волокон лавсан [2].

Данная курсовая работа посвящена технологиям и оборудованиям процесса печатания на полиэфирной ткани дисперсным красителем.


1. Химия дисперсного красителя и технология получения полиэфирной ткани

1.1    Химия дисперсного красителя

По химическому строению дисперсные красители - главным образом, азокрасители и антрахиноновые красители, реже - стириловые, хинофталоновые красители, нитродифениламины, ароиленимидазолы, антрапиридоны. Дисперсные азокрасители обеспечивают гамму цветов от желтого до темно-синего. В основном представлены моноазокрасителями - производными 4-аминоазобензола, дающими окраски оранжевых, красных, фиолетовых, темно-синих цветов, например, алый Ж (I) и бордо 2С (II). Получение широкой цветовой гаммы достигается изменением характера и положения заместителей в молекуле. Большинство моноазокрасителей содержит (в остатке диазосоставляющей) в параположении к азогруппе NO2 -гpyппy, углубляющую цвет. Углублению цвета способствует также введение электроноакцепторных заместителей в положения 2 или 2,6 к азогруппе или электронодонорных заместителей (алкилов, алкокси- и ациламиногрупп) в остаток азосоставляющей. Электроноакцепторные заместители (CN, ОСОСН3) в алкиламиногруппах азосоставляющей, понижая основность атома N аминогруппы, приводят к повышению цвета. Гидроксиазокрасители (ОН-группа в орто- или параположении к азогруппе) применяют ограниченно для получения цветов от желтого до красного. Более яркие желтые цвета обеспечивают стириловые, хинофталоновые красители, ароиленимидазолы. Практическое значение имеет и небольшое число дисазокрасителей, преимущественно желтого и оранжевого цветов, например, желтый прочный 4К (III). К дисперсным красителям относятся моноазокрасители, содержащие первичные аминогруппы, способные диазотироваться на волокне и сочетаться с азосоставляющими (диазотирующиеся дисперсные красители), например, диазочерный С (IV). Однако, ввиду сложности крашения, эти красители используют редко, главным образом, для получения на ацетатных тканях прочных черных окрасок.


Антрахиноновые красители обеспечивают гамму красных, фиолетовых, синих и бирюзовых цветов, розовый Ж формула V) и синий К смесь соединений с основным компонентом формулы VI.


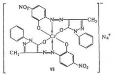
Они представлены 1-амино-4-гидроксиантрахиноном и его замещенными, которые содержат в положении 2, например, атом Вr, группы ОСН3 или ОС6Н5 и дают розовые и красные окраски; 1,4-диаминоантрахиноном и его производными, содержащими N-алкильные (или арильные), N, N-диалкильные, 5-нитро-, 2,3-дихлор- или 2-алкоксигруппы и обеспечивающими гамму цветов от красно-фиолетовых до сине-зеленых; синими красителями на основе 1,4,5,8-тетразамещенных антрахинона, содержащих группы ОН, NO2, NH2 или NHR (R - алкил, арил). Так как индивидуальные зеленые, коричневые, серые и черные дисперсные красители отсутствуют, для получения окрасок указанных цветов готовят смесовые композиции. Наиболее практическое значение имеют дисперсные красители для полиэфирного волокна. Поскольку в процессах крашения и отделки это волокно подвергается высокотемпературным обработкам, к окраскам дисперсных красителей предъявляется требование высокой устойчивости не только к свету, но и к сублимации. Светостойкость окрасок повышается при введении в молекулу дисперсного красителя электроноакцепторных заместителей, снижающих основность атома N в аминогруппе, а устойчивость к сублимации - при увеличении размера и полярности молекулы. В случае моноазокрасителей повышение устойчивости окрасок достигается введением в остаток диазосоставляющей в ортоположение к азогруппе Cl, Br, CN, в пара-положение - NO2, в параположение остатка азосоставляющей - N, N-диацетоксиэтиламино-, N-этил-N-цианоэтиламино-, N-цианоэтил-N-ацетоксиэтиламиногрупп; в ряду антрахиноновых красителей вводят, например, атомы галогена. Светостойкость окрасок зависит также от химической природы и физических свойств волокна. Окраски многих дисперсных красителей на полиамидном волокне менее светостойки, чем на ацетатном и полиэфирном. В особые группы выделяют металлсодержащие и активные дисперсные красители, предназначенные для прочного окрашивания полиамидных волокон. Металлсодержащие дисперсные красители - металлкомплeксные соединения, содержащие один атом Сr или Со на две молекулы моноазокрасителя, например, дисперсный красный СМП (VII, М - металлсодержащий, П - для полиамидных волокон).



Они превосходят обычные дисперсные красители по устойчивости окрасок к свету и мокрым обработкам, уступают по яркости и ровняющей способности. Используются преимущественно для получения темных тонов. Дисперсные активные красители сочетают хорошие ровняющие свойства дисперсных красителей с высокой устойчивостью окрасок к мокрым обработкам [3].

.2 Технология получения полиэфирной ткани

Технологическая схема непрерывного процесса получения полиэтилентерефталата

В основу непрерывного процесса заложен принцип непрерывного прохождения реакционной массы через последовательный ряд аппаратов, остаточное давление в которых уменьшается от первых к последним [4].

Непрерывный процесс получения полиэфирного волокна в равной мере может быть осуществлен при использовании в качестве сырья как диметилтерефталата (ДМТ), так и терефталевой кислоты (ТФК) [5]. На рис. 3 приведена схема непрерывного получения полиэфирного штапельного волокна из ДМТ.

Рисунок 1.1 Непрерывная схема производства ПЭТ с прямым формованием полиэфирного волокна из расплава:

- емкость для приготовления катализатора; 2 - бункер ДМТ; 3 - ленточный транспортер; 4 - расплавитель ДМТ; 5 - сублиматор; 6 - насадочная колонна; 7 и 9 - конденсаторы-холодильники; 8 и 10 - сборники метанола и этиленгликоля; 11-пароэжекторный насос; 12-прядильная машина; 13 - поликонденсатор; 14 - шестеренчатый насос; 15 - форполиконденсатор; 16 - переэтерификатор; 17 - центробежный насос; 18-расходная емкость для этиленгликоля

Для проведения переэтерификации ДМТ этиленгликолем (ЭГ) используют горизонтальный каскадный реактор, который может иметь до семи реакционных зон. В этот аппарат непрерывно дозируют расплав ДМТ и смесь ЭГ с катализатором. Мольное соотношение ДМТ: ЭГ равно 1,7-1,8, то есть в данном случае количество взятого ЭГ меньше эквимольного. Температура реакционной массы на входе в переэтерификатор достигает 160-180°С, а на выходе - 245°С. Продолжительность пребывания компонентов в реакционной зоне составляет 4 ч. Поликонденсация ДГТ и олигомеров осуществляется в нескольких аппаратах (в двух или трех) специальной конструкции, которая обеспечивает создание тонкого слоя при интенсивном перемешивании расплава и минимальное время пребывания полимера в зоне реакции.

Для получения штапельного волокна требуется ПЭТ со средней молекулярной массой (22000-25000), поэтому в данную схем (рис. 3) включено только два аппарата поликонденсации. При предварительной поликонденсации в первом аппарате поддерживается невысокий вакуум (остаточное давление 3,3-6,6 кПа и температура 265-270°С). Продолжительность пребывания продукта в аппарате около 2 ч. Окончательная поликонденсация протекает во втором реакторе при 275-280°С и вакууме 0,066-0,133 кПа. Готовый расплав выгружается из аппарата с помощью вертикального шнека или шестеренчатого насоса и транспортируется в течение 8-10 мин по обогреваемому расплавопроводу к прядильной машине. В этот момент в полимер вводят различные добавки, а также матирующие (двуокись титана) и окрашивающие агенты.

Для полноты завершенности реакции переэтерификации важно иметь большой избыток этиленгликоля [4], но это вызывает увеличение количества побочного продукта - диэтиленгликоля и ухудшение цвета расплава.

Непрерывный процесс получения полиэтилентерефталата (ПЭТ) и нитей на его основе имеет следующие преимущества [5]: отпадает необходимость в применении громоздких загрузочных бункеров, сложных и энергоемких плавильных устройств, достигается возможность переработки ПЭТ практически любой молекулярной массы, поскольку не требуется повторного плавления полимера.

Непрерывный способ более перспективен и экономичен [11]: его применение позволяет снизить себестоимость волокна на ~ 10% при использовании в качестве исходного сырья диметилтерефталата и на ~ 20% при использовании терефталевой кислоты [4].

Формование полиэфирного волокна

При прямом формовании полиэфирных нитей расплав подается непосредственно на прядильные блоки (головки) [5]. Для ускорения процесса затвердевания струек расплава и охлаждения нити последнюю обдувают холодным воздухом в направлении перпендикулярном (боковом, аналогично применяемому для полиамидных волокон) (рис. 4, а) или радиальном (рис. 4, б) к оси волокна.


Рисунок 1.2 Схемы обдувочных устройств:

а - поперечная обдувка: 1 - фильерный комплект; 2 - боковая распределительная сетка; 3 - обдувочная шахта; 4 - пучок нитей; 5 - направляющее устройство; 6 - сопроводительная шахта;

б - радиальная обдувка: 1 - фильера; 2 - пучок нитей; 3 - распределительная решетка; 4 - направляющие ролики; 5 - трубопровод для подачи воздуха; 6 - ротаметр; 7 - воздушная камера.

Радиальная обдувка, осуществляемая с внешней или с внутренней стороны пучка нитей, способствует получению свежесформованной нити с высокой равномерностью структурно-механических свойств, особенно при формовании волокна из фильер с количеством отверстий 500 и выше. При формовании технической нити и волокна, где применяют фильеры с большим числом отверстий, на каждую фильеру устанавливают индивидуальную обдувочную шахту.

Применение эффективных методов охлаждения полиэфирных нитей позволяет сократить расстояние от фильеры до приемного механизма до 2,5-3,0 м [4]. На этом пути на нить наносят замасливающие препараты, снимающие электростатические заряды и обеспечивающие компактность и гладкость нити при последующих операциях.

Для приема нити применяют стандартные намоточные машины с тянущими дисками или без них - с прямой намоткой на бобину.

Схемы двух возможных вариантов заправки нитей на намоточных машинах приведены на рис. 5.

Рисунок 1.3 Варианты заправки полиэфирных нитей на намоточных машинах:

а - с тянущими дисками; б - бездисковая схема

Бездисковая схема намоточной машины имеет определенные преимущества. Нить, наматываемая на шпулю, при перемещении нитераскладчика растягивается по отношению к исходному состоянию на величину, равную 100·%, которая определяется углом θ между вертикалью и направлением нити в момент ее наматывания на торец прядильной паковки. Естественно, что схема б обеспечивает уменьшение угла θ и тем самым получение более равномерной нити по двойному лучепреломлению и линейной плотности. Угол θ может быть еще более уменьшен установкой замасливающего ролика на максимально возможной высоте, на расстоянии 1,2-1,5 м от зеркала фильеры. Бездисковая схема намотки упрощает конструкцию машины. Перезаправка нити в этом случае производится с помощью пневмопистолета в течение 6-8 с.

Обычная скорость намотки составляет 400-600 м/мин при производстве нитей линейной плотности 111 текс, 800-900 м/мин - для нитей 28 текс и до 1700-2000 м/мин при выпуске нитей 4-5 текс.


2. Технология процесса печатания дисперсным красителем на полиэфирной ткани

2.1    Предварительная подготовка полиэфирной ткани

При подготовке полиэфирной ткани необходимо удалить замасливатели, шлихту и случайные загрязнения. Так как при замасливании и шлихтовании обычно применяют водорастворимые материалы, то они могут быть сравнительно легко удалены промывкой тканей с помощью синтетических моющих средств при 60-100°C в течение 30 мин.

При необходимости полиэфирную ткань отбеливают действием диоксохлората натрия, который не разрушает эти полимеры. Беление осуществляют при рН 4,0-4,5 и 90-95°С B течение 30 мин.

Полиэфирное волокно в условиях эксплуатации, например при стирке, может дать значительную усадку из-за наличия внутренних напряжений в волокнах. В связи с этим при подготовке изделий из синтетических и триацетатных волокон особое место занимает процесс термообработки для стабилизации линейных размеров и формы изделий из таких волокон.

Термостабилизация включает нагревание ткани или любого другого изделия из синтетических волокон в натянутом состоянии до требуемой температуры и последующее быстрое охлаждение материала. При этом происходит разрыв межмолекулярных (водородных и других) связей, вследствие чего ликвидируются внутренние остаточные напряжения в волокнах. Под действием внешней нагрузки макромолекулы полимера занимают положения, соответствующие ненапряженному релаксированному состоянию волокон. В момент быстрого охлаждения текстильного материала это новое расположение макромолекул полимера фиксируется вследствие повторного образования межмолекулярных связей. Верхний предел температуры термостабилизации ограничивается температурой размягчения того или иного синтетического волокна, а нижний-определяется минимальной энергией, необходимой для обратимого разрушения межмолекулярных связей. Диапазон допустимых температур

зависит также от среды, в которой проводится термостабилизация. Обычно ее осуществляют горячим воздухом. В этом случае оптимальная температура термофиксации для изделий из полиамидных волокон составляет 190-200°C; для полиэфирных и триацетатных материалов она равна 210-220°С; длительность процесса не превышает 60-90 с.

2.2    Технология печатания

Различают три вида печатания: 1) прямая печать, когда печатную краску наносят на белую ткань; при этом получают либо так называемые белоземельные рисунки с малой площадью покрытия поверхности белой ткани, либо грунтовые рисунки, когда большая часть или вся поверхность ткани покрывается печатной краской; 2) вытравная печать, когда на предварительно окрашенную ткань наносят вытравной печатный состав; в условиях последующего запаривания на напечатанных местах происходит разрушение окраски и получаются на окрашенной ткани белые узоры, если вытравной состав не содержит красителя, или цветные узоры при наличии в составе вытравной печатной краски неразрушающегося красящего вещества; 3) резервная печать осуществляется путем нанесения на белую ткань специального печатного состава (резерва), после чего она поступает на крашение; при этом краситель фиксируется на всей ткани, за исключением тех мест, на которые нанесен резервирующий состав, препятствующий выбиранию красителя из красильной ванны и фиксированию его волокном; таким путем можно получить цветные или белые узоры в зависимости от того, содержит или не содержит резервирующий состав красящее вещество.