Материал: Технологический процесс в гараже

Внимание! Если размещение файла нарушает Ваши авторские права, то обязательно сообщите нам

Технологический процесс в гараже

Введение

ремонт транспортный гараж

В документах правительства по лесному хозяйству целлюлозно-бумажной и деревообрабатывающей промышленности в связи с переходом на рыночную экономику намечено увеличить объем продукции, главным образом за счет дальнейшей механизации трудоемких работ в отрасли повышения на этой основе производительность труда.

Лесозаготовительная отрасль насыщается более производительной техникой, способствующей повышению уровню механизации основных технологических операций, увеличение объемов механизации предлагается достигнуть не только за счет улучшения использования машин и оборудования, но и за счет количественного их роста. Новая техника будет более энергонасыщенной, конструктивно более сложной, что потребует ужесточения проведения работ по техническому обслуживанию и ремонту.

Важнейшей задачей лесного хозяйства является повышение надежности и улучшения эксплуатации лесозаготовительной техники. Благодаря конструктивному совершенствованию лесосечных, лесотранспортных машин и нижескладского оборудования надежность техники за последние годы повысилась в два раза по сравнению с показателем первоначальных образцов.

Однако, требуемый качественный уровень не достигнут, показатели готовности использования новых машин не превышает 80%. Нормативные затраты на ТО и ремонт составляют 25% в общем объеме лесозаготовительных работ, но даже при столь больших затратах на поддержание машин в работоспособном состоянии мы пока не получаем от них должной отдачи. Вот почему существенное повышение уровня техническо готовности машин и снижение затрат на техническое обслуживание и ремонт являются важнейшими резервами роста эффективности лесозаготовительного производства.

В последние годы хозяйственным способом построено и реконструировано свыше 300 пунктов технического обслуживания, гаражей, тем не менее, их техническая оснащенность значительно отстает от основного производства. Лишь третья часть помещений в зонах обслуживания и ремонта имеет технологическую высоту. Обеспеченность диагностическим, ремонтным и гаражным оборудованием не превышает 30%.

Медленно в лесном хозяйстве производятся работы по централизации техобслуживания и сложных видов ремонта. И поэтому в ЛХ необходимо поднять дело централизованного техобслуживания и ремонта. Для этого нужно коренным образом изменить отношение к списываемой технике, максимально использовать повторно отдельные узлы, агрегаты, детали крепежа.

Решению такой задачи способствуют технические обменные пункты с постоянным штатом. На этих пунктах можно разбирать все списываемые машины и механизмы, что позволит резко увеличить оборотный фонд агрегатов, создать фонд дефицитных деталей, а так же постоянный резерв крепежного материала.

В ремонтном производстве - дефицит запасных частей. Заводы - изготовители далеко не в полной номенклатуре и количестве удовлетворяют потребителей, поставляя им зачастую запасные части в виде некондиционных деталей, требующих доработки.

В этих условиях восстановление изношенных деталей машин является важнейшим резервом ликвидации дефицита.

Таковы сегодня наиболее важные практические пути повышения технической готовности, улучшения использования лесозаготовительной техники.


1. Пояснительный раздел

1.1 Краткая характеристика ООО «Тугай Агро»

ООО «Тугай Агро» входит в состав Башкирской лесопромышленной холдинговой компании «Башлеспром» и расположен в северной части г. Уфы в Октябрьском районе по адресу: г. Уфа, 450026, ул. Уфимское шоссе 4.

История создания Уфимского фанерного комбината такова:

В планах первой пятилетки было намечено строительство комплекса промышленных предприятий в Северной части г. Уфа, на берегу реки Уфимка, около, так называемой Лихачевской излучины, был заложен комплекс зданий и сооружений Черниковского фанерного завода, проект которого был утвержден в Союзлеспромом ВСНХ в 1930 г. Народное хозяйство повседневно требовало фанеру, поэтому задолго до приема завода в эксплуатацию правительственной комиссии он начал обкатку оборудования и выпуск продукции. Официально прием правительственной комиссии был в 1934 г. приказом наркома лесной промышленности. В 1935 году к заводу присоединяется Черниковский лесопильный завод и организует новое предприятие «Черниковский фанерный комбинат».

В 1941 году комбинат полностью переходит на выпуск военной продукции и за большие заслуги и перед авиационной промышленностью комбинат переименовывается и с 1945 г. стал называться «Черниковский авиафанерный комбинат».

В 1950 г. был составлен план реконструкции комбината, предусматривающий выпуск клеевой фанеры и строительство нового лесозавода, цехов столярных плит и ДСП.

С 1962 года наш комбинат стал именоваться «Уфимский фанерно-мебельный комбинат», из вновь строящихся мебельных цехов в 1963 г. была выдана первая Башкирская продукция - мебель. В дальнейшем, с целью более узкой специализации, мебельное производство выводится из состава «Уфимского фанерно-мебельного комбината». Была организована самостоятельная «Уфимская мебельная фабрика». С августа 1966 года стал именоваться «Уфимский фанерный комбинат».

В данное время «Уфимский фанерный комбинат» оснащен современным оборудованием зарубежного производства. Здесь трудится более 2000 человек в три смены.

Административное управление «Уфимского фанерного комбината» находится по адресу: 405526, г. Уфа, Уфимское шоссе 4.

1.2 Технико-экономические показатели ООО «Тугай Агро» за 2013 год

.        1. Фанера клеевая.

В том числе фанера на экспорт.

. Древесностружечные плиты.

. Пиломатериалы.

. Товары народного потребления.

II. Товарная продукция.

III. Прибыль.

IV. Себестоимость товарной продукции.

V. Рентабельность.

1.3 Снабжение ООО «Тугай Агро» паром, электроэнергией, водой и тд.

Пароснабжение осуществляется от котельной, которая находится на территории предприятия.

Электроснабжение осуществляется от трансформаторных подстанций, источник напряжения 320В и 220В, расположенных на территории предприятия. Система прокладки электросети - кабельная.

Источник водоснабжения - хозяйственно-питьевой, технологической и пожарной от городского водопровода.

Канализационная сеть выполнена по проекту государственного проектного института. Сточные воды от участков самотеком отводятся в приемный резервуар насосной станции. Стоки, содержащие бензин, масла, грязь, перед поступлением в канализационную сеть обрабатывается в грязеуловителях.

1.4 Структура комбината

Цеха на комбинате делятся на основные и вспомогательные. К основным цехам относятся: цех сырья; сырье поступает в виде чураков для производства фанеры, ДСП летом и зимой по ж/д и дополнительно в летнее время на баржах по реке Уфа. После пропарки на открытых бассейнах поступает в Лущильный цех для лущения шпона, после лущения поступает в сушильный цех для сушки. После сушки шпон поступает в клеечно-обрезной цех, где выпускается фанера для народного хозяйства. После чего готовая продукция сдается в склад готовой продукции. Цех ДСП выпускает древесностружечные плиты, которые пользуются большим спросом в народном хозяйстве.

Свою производительную деятельность Уфимский фанерный комбинат осуществляет через вспомогательные цеха

К вспомогательным цехам относится: транспортный цех, ОГМ и ОГЭ.

1.5 Характеристика транспортного цеха

В функцию транспортного цеха входит: перевозка стройматериалов, оборудования, ГСМ, насаждение кустарников, лакокрасочных материалов, перевозка рабочих и др.

Автомобильный парк «Уфаводоканала» содержит необходимое количество автомобилей различных марок и типов. Для своевременного проведения работ по техническому обслуживанию и ремонту автомобилей гараж транспортного цеха имеет необходимые подразделения:

·        Участок механической работы

·        Зона ТО и ТР

·        Тракторный бок

·        Цеха отделения

1.6 Отчетные данные за 2013 год по использованию автомобилей

Таблица 1 - Отчетные данные за 2013 год по использованию автомобилей

№ п/п

Наименование, показатели

Единица измерения

План

Фактическое выполнение

1.

Общий пробег

Км

865000

895878

2.

Коэффициент использования пробега

-

0,56

0,6

3.

Коэффициент использования парка

-

0,55

0,56

4.

Коэффициент технической готовности автомобилей

-

0,8

0,81

5.

Среднесуточный пробег: Легковые

Км

180

180

5.1

Автобусы

Км

180

200

5.2

Грузовые

Км

170

190

5.3

Специальные

Км

160

190


1.7 Списочный состав автомобилей и их техническое состояние

Таблица 2 - Списочный состав автомобилей и их техническое состояние

Автомобили

Всего

Непрошедшие КР

Прошедшие КР

Пробег за отчетный год

Общий пробег

Грузовые: МТЗ-80

10

1

9

40339

57274

МТЗ-82

10

1

9

63779

83731

МАЗ-5551

10

1

9

38743

141607

ЭО-2621

3

2

1

82138

635151

Автогрейдер

3

3

-

25456

112654

Камаз-5320

2

2

-

57147

207612

ЗИЛ-45085

4

4

-

16046

23305

Камаз-5511

2

2

-

50378

128211

ГАЗ-53

1

1

-

22140

31957

ЗИЛ-ММЗ-554М

6

5

1

18402

165952

Специальные: ЗИЛ-130

2

2

-

72529

316590

УРАЛ 5557-10

1

1

-

417

1037

Мерседес

1

-

1

4337

179005

Зил 433362

1

1

-

22040

281848

Автобусы: УАЗ - 3909

 5

 3

 2

 64408

875248

КАВЗ - 3976

2

2

-

57670

125084

УАЗ - 2206

1

1

-

48219

149652

ГАЗЕЛЬ - 322132

1

1

-

47426

74648

ЗИЛ-5305

1

1

-

31944

123708

Легковые: ГАЗ - 310200

 2

 2

 -

 49416

 544704

ВАЗ - 2107

4

2

2

99001

779769

УАЗ - 31512

5

5

-

79608

169562

Итого:

50

43

7

895878

5212647


1.8 Режим работы автомобилей

Автомобили ООО «Тугай Агро» работают в одну смену продолжительностью 8,2 часа при пятидневной рабочей неделе. Начало работы в 07:30 ч., окончание в 16:30 ч.

1.9 Хранение автомобилей

Хранение автомобилей в комбинате в течение года производится на открытых площадках и боксах.

Автомобили предприятия в основном заняты на работах, обеспечивающих выполнение производственной программы предприятия. Из-за недостаточного количества эксплуатируемых автомобилей предприятие не имеет возможности заключать договора на аренду автотранспорта.

1.10 Характеристика гаража ООО «Тугай Агро»

В гараже ООО «Тугай агро» занимаются в основном техническим обслуживанием и текущим ремонтом автомобилей. Гараж предприятия состоит из зоны ТО и участка механических работ с отделениями: моторное, аккумуляторное, электротехническое и т.д. Для профилактических работ автомобилей имеется бокс на шесть стояночных мест, две машины могут занимать имеющиеся смотровые ямы, которые оборудованы кран-балками.

В отделениях гаража выполняются следующие работы:

·    в моторном отделении производится разборка, т.е. снятие негодных узлов и деталей, при необходимости они ремонтируются на соответствующих отделениях или заменяются новыми (отремонтированными). После этого двигатели собирают и устанавливают на эту же машину;

·        в электротехническом отделении производится ремонт генераторов, стартеров и других приборов электрооборудования автомобилей;

·        в аккумуляторном отделении производится ремонт и зарядка аккумуляторных батарей.

1.11 Режим работы гаража предприятия и существующий технологический процесс ремонта машин и механизмов

Работа ремонтных рабочих организована в одну смену по пятидневной рабочей неделе.

Текущий ремонт машин и механизмов производится по потребности. В настоящее время в гараже предприятия организован индивидуальным методом. Для проведения ремонта автомобили устанавливают на пост текущего ремонта и там снимают узлы и агрегаты, требующие ремонта, и отправляют их в соответствующие ремонтные участки гаража. В отделениях гаража одним или несколькими способами производят ремонт этих деталей и узлов. После чего производят сборку узлов и агрегатов и устанавливают их на машину. Недостатком этого метода является то, что машины долго стоят на ремонте. Поэтому дипломным проектом предусматривается внедрение агрегатного метода ремонта автомобилей, при котором неисправные узлы и агрегаты заменяются новыми или заранее отремонтированными.

1.12 Состояние охраны труда и техники безопасности

В области промышленной санитарии недостатками являются: отсутствие бытовых помещений, со специально оборудованными шкафами для хранения сменной одежды, полы неровные, стены окрашены в темные цвета. По отчетной книжке 2005 года имелись случаи производственного травматизма, слабо поставлен повторный инструктаж по технике безопасности на рабочих местах. Отсутствует пожарная сигнализация. Промывку деталей производят керосином или дизельным топливом, нет ванны для мойки деталей. В некоторых отделениях нет вентиляции, особенно в аккумуляторной.

1.13 Недостатки в организации текущего ремонта автомобилей

Правильной организацией текущего ремонта автомобилей мешает недостаток в современном оборудовании, инструментах, приспособлениях и некоторых запчастях. Из-за финансовых затруднений предприятие не может своевременно и в полном объеме приобрести запасные части.

Автомобили в основном старые и, следовательно, на их ремонт уходит больше времени и средств.

Отдельные ремонтные участки разбросаны по всей территории, что вызывает хождение из одного здания в другое, особенно это неудобно при ремонте тяжелых узлов и деталей.

Технологически необходимое оборудование имеется не полностью, отсутствуют технологические карты на ремонт деталей, узлов и агрегатов, что вызывает некачественное выполнение этих ребят.

В технологию слабо внедряются мероприятия по НОТ. Отсутствует агрегатный метод организации ремонта.

1.14 Предложения по улучшению работы ремонтной базы

Для обеспечения качественного текущего ремонта автомобилей необходимо все производственные участки гаража объединить в одном здании.

Для повышения качества ремонта и уменьшения простоя автомобилей в ремонте следует вместо индивидуального метода ремонта ввести агрегатный метод организации ремонта.

Для нормализации качества ремонтных работ, снижения его продолжительности и себестоимости, необходимо ввести оборотный фонд детали, узлов и агрегатов.

1.15  Характеристика моторного отделения ООО «Тугай Агро»

Назначенные и выполняемые работы:

·    Отделение по ремонту автомобильных двигателей гаража ООО «Тугай Агро» предназначено для проведения текущего ремонта двигателей автомобилей.

Основные детали и узлы, подвергающиеся ремонту в отделении:

·    Блоки и головки блоков цилиндров;

·        Детали кривошипно-шатунного механизма;

·        Детали механизма газораспределения;

·        Детали систем охлаждения и смазки;

·        Детали системы питания;

·        Обкатка и испытание двигателей.

Оборудование моторного отделения

Для проведения необходимого объёма работ отделение располагает следующим оборудованием (таблица 3):

Таблица 3 - Список оборудования

№ п/п

Оборудование

Кол-во

Примечание

1

Верстак

2

1400х900х800

2

Монтажный стол

2

1200х1200х600

3

Шкаф для инструментов

1

960х700х1800

4

Ларь для обтирочных материалов

1

700х400х400

5

Шкаф для инструментов

2

1019х554

6

Стеллаж

1

1200х1300х1700

7

Шкаф для одежды

1

1019х554

8

Кран-балка

1

9

Набор ключей

2

4-106-1,4-105+

10

Станок для шлифовки клеп. валов

1

17-208


Выполняемые технологические операции

При проведении текущего ремонта двигателя выполняются основные технологические операции:

·        Разборка и сборка резьбовых соединений;

·        Замена шпилек и нарезание резьбовых отверстий;

·        Слесарно-подгоночные работы;

·        Дополнительные регулировочные работы.

Режим работы отделения

Работы в отделениях проводят в одну смену продолжительностью 8,2 часа с перерывом на обед - 30 минут.

Штат и системы оплаты труда

На работах занято 2 человека: слесарь-моторист 5 разряда и слесарь - моторист 4 разряда. Система оплаты - повременно - премиальная. Часовая тарифная ставка слесаря - моториста 5 разряда составляет 35,0 руб., 4 разряда - 32,0 руб.

Первичная документация

Первичными документами для учета использования машин и расходов на их обслуживание являются:

·    Путевой лист автомобиля;

·        График работы, технического обслуживания и ремонта;

·        Карточка расхода запасных частей и технических материалов.

Состояние охраны труда

На участке имеется журнал замечаний и предложений по охране труда, в котором записываются замечания, внесённые в ходе проверки. Назначают сроки выполнения и ответственные за выполнение этих недостатков. По технике безопасности установлено проведение инструктажа (вводного на рабочем месте, повторного и дополнительного). Имеется наглядная агитация по технике безопасности. На участках имеются медицинские аптечки для оказания первой медицинской помощи. Освещение электрическое - общее, отопление - центральное водяное, вентиляция - вытяжная общая.

Недостатки в организации труда

Одним из недостатков организации является несвоевременность постановки автомобилей на ТО и ТР, что приводит к увеличению трудозатрат и расходы запчастей. Недостаточная механизация проведения технологического процесса ремонта. Отсутствуют стенды для ремонта, недостаточное количество инструментов. Отделение не имеет ванны для мойки деталей.

2. Технический раздел

.1 Выбор исходных нормативных данных

Чтобы в дальнейшем не производить параллельных расчётов, разномарочный состав парка автомобилей приводим к двум - трём маркам по межремонтному пробегу, трудоемкости текущего ремонта и удельному простою в техническом обслуживании и текущем ремонте. Для точности воспользуемся методом определения средневзвешенных показателей.

Все автомобили делим на три группы:

1.            Легковые автомобили.

2.      Автобусы.

.        Грузовые и специальные автомобили.


2.2 Списочный состав автомобилей ООО «Тугай Агро»

Таблица 4 - Списочный состав автомобилей ООО «Тугай Агро»

№ п/п

Наименование подвижного состава

Марки

Кол-во

В т.ч. прошед. К.Р.

Пробег до К.Р

Периодичность ТО

Трудоемкость ч/час на 100 км

Удельный простой при ТР на 1000 км

Простой






до 1 К.Р. L1

после 1 К.Р. L2 К.Р.

L1

L2

ТР

ТО1

ТО2



1

Легковые автомобили

ГАЗ - 310200 ВАЗ - 2107 УАЗ - 31512

2 4 5

 2

108000 200000

- 160000

2800 2800 2800

11200 11200 11200

8,2 4,9/7,5 8,2

5,8 5,8 5,8

20,8 20,8 20,8

0,33 0,20 0,33

18 18 18

2

Авто бусы

УАЗ-3909 КАВЗ-3976 УАЗ-695 ГАЗЕЛЬ - 322132 ЗИЛ-5305

5 2 1 1 1

2 - - - -

250000 320000 360000 350000 180000

200000 - - - -

3500 2400 3500 3500200 0

14000 12000 14000 14000 10000

9,3/14 9,0 11 7,6

9 9,8 9,8 6,8 7,8

30,4 32,4 40,6 25,4 31,2

0,30 0,30 0,34 0,24 0,24

20 20 20 20 20


2.3    2.3    Отделение средневзвешенных нормативов

Определим средневзвешенные нормативы по трем группам автомобилей.

Средневзвешенный норматив межремонтного ремонта пробега определяется по формуле:

Lкр=  (1)

где А1, А2, А3,… Аi - марки автомобилей, их количество;

Lкр - соответствующий им межремонтный пробег, пробег после капитального ремонта

L2кр = 0,84 кр

Легковые:

Автобусы:

Грузовые:

Средневзвешенный пробег ТО-1

Определим по формуле:

                                    (2)

где: L - периодичность ТО-1

A1, A2,… Ai - количество автомобилей по маркам.

Легковые:

Автобусы:

Грузовые:

Средневзвешенный пробег до ТО-2

Определим по формуле:


Легковые:

Автобусы:

Грузовые:

Средневзвешенный норматив трудоемкости ТО-1

Определим по формуле:


где t1 - трудоемкости ТО-1 для каждой марки автомобилей.

Легковые:

Автобусы:

Грузовые:

Средневзвешенный норматив трудоемкости ТО-2

Определяем по формуле:


где t2 - норматив трудоемкости ТО-2 для каждой марки автомобилей.

Легковые:

Автобусы:

Грузовые:

Средневзвешенная трудоемкость текущего ремонта

Определяем по формуле:


где tTP - соответствующая автомобилям трудоемкость текущего ремонта

Легковые:

Автобусы:

Грузовые:

Средневзвешенный норматив удельного простоя в ТО и ТР

Легковые:

Автобусы:

Грузовые:

Средневзвешенный норматив удельного простоя при КР

Легковые:

Автобусы:

Грузовые:

Для дальнейших расчетов принимаем легковой автомобиль ВАЗ-2107, автобус КАВЗ-3976, грузовой автомобиль КАМАЗ-55111.

2.4 Расчет производственной программы

Расчет коэффициента технической готовности

Определим коэффициент технической готовности:


где: Дэц - дни эксплуатации за цикл.

Дпр - дни простоя по технической причине


где: Lкр - межремонтный пробег

lcc - среднесуточный пробег


где: Дкр - простой в капитальном ремонте

КУП - удельный простой в ТО и ТР

а) легковые автомобили:

б) автобусы:

в) грузовые автомобили:

Расчет коэффициента использования

Определим коэффициент использования автомобилей по формуле:


где: Дрг - число рабочих дней в году

Дг - число дней в году

КТГ - коэффициент технической готовности

Легковые:

Автобусы:

Грузовые:

Расчет годового пробега автомобилей

Определим годовой пробег автомобилей по формуле:


где: An - количество машин по маркам

Lсс - среднесуточный пробег

Атп - коэффициент использования автомашин

Легковые:

Автобусы:

Грузовые:

Расчет годовых трудозатрат

Определим годовые трудозатраты по текущему ремонту автомобилей по группам по формуле:


где: tтр - удельная трудоемкость текущего ремонта автомобилей на 1000 км пробега.

Легковые:

Автобусы:

Грузовые:

В ремонтной зоне гаража, кроме работ по текущему ремонту, проводятся дополнительные работы по изготовлению несложных запасных частей, инструмента, инвентаря, заказов главного механика, которые составляют 30% от объёма всех ремонтных работ.

Расчет дополнительных трудозатрат

Дополнительные трудозатраты определяются по формуле:

                                 (13)

Легковые:

Автобусы:

Грузовые:

Расчет общих трудозатрат

Определим общие трудозатраты с учетом роста производительности труда по формуле:


где: Кп - коэффициент, учитывающий снижение трудозатрат за счет повышения производительности труда.

Легковые:

Автобусы:

Грузовые:

Всего трудозатрат по текущему ремонту автомобилей всех трех групп составляет:

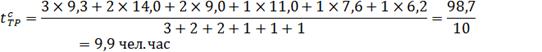
Расчет трудозатрат моторного отделения

Из них трудоемкость, приходящихся на отделение по ремонту автомобильных двигателей в размере 14%.



2.5 Расчет количества производственных рабочих

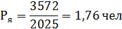
Определим явочное количество рабочих по формуле:


где: Ря - явочное количество рабочих

Тотд - трудоемкость, приходящиеся на моторное отделение в чел. час

ФМ - годовой фонд времени рабочего места

Расчет годового фонда времени рабочего места

Определим годовой фонд времени рабочего места по формуле:


где: 365 - число календарных дней в году

Дн - число выходных дней в году

Дп - число праздничных дней в году

tc - продолжительность рабочей смены

tн - количество нерабочих часов в году в укороченные предвыходные и праздничные дни, при пятидневной рабочей неделе (tн = 8 час).

Тогда

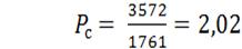
Расчет списочного количества рабочих

Определяем списочное количество рабочих по формуле:

                                         (18)

где: Фд - действительный годовой фонд времени одного рабочего, который равняется:


где: tот - продолжительность отпуска в час;

tп - прочие потери времени по уважительным причинам.


где: qo - количество дней отпуска

 - продолжительность рабочей смены в укороченные предвыходные и праздничные дни.



Тогда

Принимаем 6 человек.

2.6 Подбор оборудования

Подбор оборудования производим по технологической необходимости из табеля оборудования.

Таблица 5 Табель оборудования

№ п/п

Наименование оборудования

Марка, тип, модель

Кол- во

Габарит

Площадь в м2

Установленная мощность двигателя





длина в мм

ширина в мм



ТЕХНОЛОГИЧЕСКОЕ ОБОРУДОВАНИЕ

1

Станок для шлифовки автомобильных клапанов (настольный)

Р-108

1

900

500

0,45

0,39


Прибор для шлифовки клапанных седел (переносн.)

2447

1

450

280

-

0,39

3

Стенд для ремонта двигателей ЗИЛ-130

Р-235

1

1290

662

0,85

0,5

4

Стенд для ремонта двигателей легковых автомобилей

2451

1

1000

730

0,73

-

5

Кран - балка 1т

-

1

-

-

-

-

6

Стенд для обкатки двигателя в холостую

-

1

2500

1150

2,87

7,2

7

Настольно-сверлильный станок

CH-12A

1

465

768

0,35

0,65

8

Пресс гидравлический

208

1

760

1335

1,07

1,3


ИТОГО


8

-

-

6,25

10,43

ОРГАНИЗАЦИОННАЯ ОСНАСТИКА

1

Верстак слесарный на одно рабочее место

Собств. изготов.

1

1400

800

1,26

-

2

Стеллаж секционный

Собств. изготов.

1

1200

1300

1,56

-

3

Шкаф инструментальный

Собств. изготов.

1

960

700

0,67

4

Шкаф инструментальный

Собств. изготов.

1

1200

500

0,5

-

5

Ларь для обтирочных материалов

Собств. изготов.

1

700

400

0,28

-

6

Ящик с песком, кошма. Огнетушитель

Собств. изготов.

1

500

500

0,25

-

7

Ванна для мойки деталей

Собств. изготов.

1

1000

800

0,8

-


ИТОГО


7

-

-

4,42

-

ТЕХНОЛОГИЧЕСКАЯ ОСНАСТИКА

1

Набор инструмента слесаря-монтажника

21165

1

-

-

-

-


2.7 Расчет силовой электроэнергии

Потребность в энергии для питания электродвигателей определяется по формуле:


где:   ∑Nэ - суммарная мощность электрических двигателей

 - коэффициент одновременности работы оборудования (0,6)

 - коэффициент загрузки оборудования (0,85)

 - КП (0,9)

 - коэффициент полезного действия электродвигателей

 - годовой фонд рабочего времени оборудования


где: Двх - число выходных дней

Дпр - число праздничных дней

Tсм - продолжительность смены

tтг - коэффициент технической готовности оборудования


2.8 Расчет и обоснование площади

Площадь отделения определяем по формуле:


где: Кп - коэффициент плотности размещения оборудования

fоб - площадь горизонтальной проекции оборудования

Отклонение от расчетной величины составило менее 20%.

2.9 Расчет и подбор вентиляционной системы

Определяем количество вентиляционного воздуха по отделению:


где: Vв - объем вентиляционного воздуха;

V - объем помещения;

Ко - коэффициент краткости обмена

Подбор вентилятора

Подбор вентилятора производится по необходимости производительности и сопротивлению вентиляционной сети.

Выбираем вентилятор серии ЭВР №2

Vв = 1200

Н= 75 кг/

Определяем мощности электродвигателя вентилятора:


где: - КПД вентилятора;

 - КПД передачи.

С учетом коэффициента заноса:


2.10 Расчет общей мощности для освещения

Общая мощность, необходимая для освещения всей площади, определяется по формуле:


где:   p - удельная мощность на 1 м2;

S - площадь помещения в м2;

Расчет количества светильников

Количество светильников, необходимых для обеспечения требуемой освещенности:


где: n - количество светильников;

Pn - мощность лампы, Вт.

Расчет расхода электроэнергии на освещение

Расход электроэнергии на освещение определяем по формуле:


где: Дрг - число рабочих дней;

Псут - число горения в сутки

- КПД сети;

К - коэффициент использования светильников

Определим общий расход электроэнергии на освещение и на привод электродвигателей:




3. Организационный раздел

.1 Организация проведения работ

Режим работы

Дипломным проектом предусматривается односменная работа при пятидневной рабочей неделе, так как автопарк работает в одну смену. Продолжительность смены принимаем за 8,2 часа. Смена начинается в 08:00 ч и продолжается до 17:30 ч. с перерывом на обед с 12:00 до 13:00 ч.

Схема управления производством и ее краткое описание

Главный механик руководит всеми работниками по техническому обслуживанию и текущему ремонту через непосредственно подчиненного ему заведующего гаражом. Главный механик отвечает за выполнение установленного плана работ по техническому обслуживанию и текущему ремонту, а так же осуществляет все мероприятия, направленные на улучшение работ.

Заведующий гаражом осуществляет руководство работами в гараже, отвечает за эффективность использования производственных ресурсов и своевременную постановку автомобилей на линию. Заведующему гаражом подчиняется механик гаража и бригадир слесарей, которые организуют работу на своих участках и отвечают за своевременное и качественное выполнение работ, кроме того, они осуществляют мероприятия, направленные на снижение непроизводительных трудозатрат, снижению количества ремонта и простоя машин и оборудования.

Согласно графику планово-предупредительного ремонта ТО и ремонта автомобилей механик выводит автомобиль из эксплуатации и после осмотра дает команду водителю о постановке автомобиля на техническое обслуживание

Текущий ремонт производится по потребности.

Номенклатура работ

При проведении текущего ремонта двигателя производятся следующие виды работ:

Блок и головка блока цилиндров

Заделка трещин в стенах рубашки охлаждения;

Ремонт резьбовых соединений;

Замена гильз цилиндров;

Ремонт или замена направляющих втулок клапанов;

Ремонт фасок седел клапанов.

Кривошипно-шатунный механизм

Алюминиевые поршни, кольца и вкладыши нижней головки шатуна обычно заменяют деталями ремонтных размеров;

Ремонт и замена поршневых пальцев;

Ремонт шатунов;

Ремонт коленчатого вала;

Устранение дефектов маховика.

Механизм газораспределения

Проверка герметичности закрытия клапанов и притирка в случае нарушения герметичности;

Регулировка зазора между клапанами и толкателями после сборки;

Ремонт стержней клапанов и направляющих втулок клапанов.

Система охлаждения

Удаление накипи путем промывания;

Ремонт радиатора;

Ремонт водяного насоса;

Ремонт шкива и лопастей вентилятора;

Проверка действия термостата.

Система смазки

Устранение неисправностей манометра и редукционного клапана;

Ремонт масляного насоса.

Система питания

Ремонт и регулировка карбюратора;

Ремонт топливного насоса.

Отремонтированные двигатели после ремонта обязательно обкатывают и испытывают. Во время обкатки происходит приработка сопряженных поверхностей трения, что улучшает их качество при взаимном первичном изнашивании в оптимальных условиях.

Планировка оборудования

Планировка подобранного оборудования проведена с учетом минимальных расстояний между оборудованием, расстояний до стен с учетом проходов, обеспечивающих условия безопасности, техники безопасности и НОТ. Данное оборудование обеспечит полностью технологический процесс ремонта.

Планировка оборудования позволит наиболее рационально использовать рабочее время, повысить качество работы и производительности труда.

Система оплаты и условия труда.

Система оплаты повременно-премиальная, с начислением 20% за выполнение плана и 15% зонального коэффициента. В зависимости от непрерывного стажа работы на одном предприятии выплачиваются вознаграждения за выслугу лет до 25%, а по итогам года тринадцатая зарплата.

В отделении работают 6 слесарей - моториста. Устанавливаем разряды рабочим: 3- V разряд, 3 - IV разряд.

Часовая тарифная ставка V разряда - 35 руб., IV разряда - 32 руб.

Оплата прочего персонала согласно штатного расписания.

Первичная документация и учет

Учет технического обслуживания и текущего ремонта производится с целью:

·  Проведения постоянного анализа эффективности использования новой техники;

·        Определение своевременности исключения автомобиля из эксплуатации и его описание.

Формы первичной документации должны являться официальным документом начисления заработной платы и премии обслуживающему персоналу, а также служит основанием для списания технических материалов и запасных частей.

Первичными документами для учета использования машин являются:

·  Путевой лист автомобиля;

·        Наряд на работу;

·        График технического обслуживания и ремонта;

·        Карточка расхода запасных частей и технических материалов;

Кроме перечисленных документов следует ввести:

·  Карточку учета работы и ремонта автомобилей;

·        Карточку учета работы с часовым учетом наработки.

Схема технологического процесса текущего ремонта автомобильных двигателей и ее краткое описание

Производство текущего ремонта автомобильных двигателей предусматривается проводить по приведенной выше схеме.

После приемки в ремонт двигатель подвергается наружной мойке. Разборка двигателя и узлов на детали предполагается выполнить на стендах. Перед контролем и сортировкой деталей, последние также должны пройти мойку.

Контроль и сортировка деталей будет производиться на верстаке. После дефектовки негодные детали будут отправлены в металлолом, годные - на склад годных деталей, а требующие ремонта - в ремонт.

При ремонте двигателей предполагается использовать следующее оборудование, приспособления, приборы и инструменты:

.        Пресс гидравлический;

.        Ванна для мойки деталей;

.        Верстак;

.        Шкаф для инструментов;

.        Станок для шлифования;

.        Стенды для ремонта двигателей;

.        Настольно-сверлильный станок;

.        Ларь обтирочных материалов;

.        Стена для обкатки двигателей;

.        Консольно-поворотный кран;

.        Ящик с песком;

.        Стеллажи для деталей;

.        Стена для разборки и сборки двигателей;

.        Комплект инструментов для ТО и ремонта машин механизмов и др.

После ремонта деталей на верстаке начинается комплектование деталей, которые идут из трех источников: годные детали после дефектовки, отремонтированные детали и новые. Сборка двигателей производится на стендах, и после сборки эти двигатели проходят проверку, регулировку и испытание. Готовые к работе двигатели устанавливаются на автомобиль или отправляются в оборотный фонд.

3.2 Разработка мероприятий по улучшению условий труда

Мероприятия по НОТ

По научной организации труда дипломным проектом предлагаются следующие мероприятия: разделение труда рабочих по агрегатам, системам и месту исполнения. Рабочие места оснащены новым оборудованием, приборами и инструментами.

Предлагается новая планировка оборудования, оснащенность рабочих мест инструментом, что исключает лишние движения, непроизводительные потери рабочего времени, применение более рациональной организации и труда. Внедрение таких форм труда, которые обеспечивают развитие творческого отношения к труду, общего улучшения труда.

Техническая эстетика

Мероприятия по технической эстетике предусматривают улучшение условий труда.

С этой целью дипломным проектом предусматривается такая планировка оборудования, планировка и размещение светильников для создания благоприятного цветного оформления. Панели стен предусматривается покрасить в светло-голубой цвет, оборудование покрасить в разные цвета. Вентиляционную систему надо покрасить под цвет потолка. Надо отметить, что мероприятия по эстетике и научной организации труда очень сложно прививается на производстве. Этот вопрос зависит от руководства, которое в большинстве случаев не придает этому большого значения.

Промышленная санитария

В производственном помещении проведены все необходимые мероприятия по охране труда. Отделение оборудовано вентиляционной системой, обеспечивающей хорошую вентиляцию помещения.

В зимнее время помещение отапливается, поддерживая необходимую температуру.

Планировка оборудования проведена таким образом, чтобы как можно больше использовать естественное освещение. Кроме того в темное время применяется искусственное освещение, оборудованное лампами дневного света, которые позволяют увеличить норму освещенности и сэкономить расход электроэнергии.

Гараж оборудован бытовой комнатой и раздевалкой. Имеется умывальник.

Техника безопасности

По технике безопасности предусматривается организация мероприятий по следующим основным направлениям:

·        Пропаганда безопасных методов труда, обучение персонала безопасным приемам и методам работы, выполнение следующих правил. Все это достигается путем прослушивания лекций, докладов, наглядных пособий, показа фильмов.

Дипломным проектом предусмотрено использование нового оборудования, значит необходимо разработать инструкции по его использованию, обучить персонал безопасным приемам и методам работы. Провести инструктаж вводный и дополнительный на рабочем месте. Все должно быть оформлено документально.

Противопожарная техника безопасности

По противопожарной технике безопасности предусматривается разработка по следующим направлениям:

1.   Пожарная профилактика и организация добровольно - пожарной дружины. Пожарная профилактика должна предусматривать причины возникновения пожара и создания условий эффективного пожаротушения.

2.      Своевременная организация и обеспечение эвакуаций людей. В целях предотвращения загорания в помещении моторного отделения предусмотрено размещение огнетушителей ОП-5, ящик с песком и кошму. Рабочие должны изучить правила пользования огнетушителем, участвовать в соревнованиях ДПД. Ничто так не убеждает соблюдать правила, как показ фильмов.

Мероприятия по улучшению трудовой дисциплины

При неоднократных нарушениях трудовой и производственной дисциплины налагаются дисциплинарные взыскания, а также наказываются материально.

При проведении профилактики с нарушением трудовой дисциплины производственному персоналу читаются лекции на политико-вспомогательные темы, показываются фильмы. Также рабочие заинтересованы как морально, так и материально. То есть добросовестное отношение к работе и примерную трудовую дисциплину рабочие награждаются грамотами, вывешивают фотографии на доске почета, премируются за экономию материалов и запасных частей.

Охрана окружающей среды

Охрана природы и рациональное использование природных ресурсов одна из важнейших экономических и социальных задач об охране природы, возведение в ранг государственной политики. Эти вопросы нашли отражение в Конституции РФ. Постоянное развитие народного хозяйства требует развития автомобильного транспорта, как по числу подвижного состава, как и по количеству произведения машин.

Этот процесс прямо или косвенно, но неизбежно отрицательно действует на окружающую среду. Прямое негативное влияние автомобилей на окружающую среду связано с выбросами вредных веществ в атмосферу шумом и различными электромагнитными излучениями. Один грузовой автомобиль средней грузоподъемности, отвечающий по всем параметрам требования завода изготовителя, карбюраторным двигателем, ежегодно выбрасывает окиси углерода 3150 кг, углеродов - 410 кг, окиси азота - 335 кг. Косвенное влияние автомобильного транспорта на окружающую среду связано с тем, что автомобильные дороги, стоянки предприятия обслуживания занимают большую и ежегодно увеличивающуюся площадь, необходимую для жизнедеятельности человека.

Защита окружающей среды от воздействия автомобильного транспорта ведется по многим направлениям, часть которых должна быть полем деятельности выпускников лесхоз - техникумов. Для настоящего времени не все водители и слесаря представляют себе экономические последствия эксплуатации автомобилей с повышенным содержанием токсичных веществ в отработавших газах.

На загрязнение окружающей среды влияет состав рабочей смеси, нагрузка на автомобиль, частота вращения вала двигателя, регулировка системы холостого хода карбюратора. Для уменьшения отброса токсичных компонентов предложено: правильно производить регулировку карбюраторов, ГРМ, применяя современное оборудование и диагностические приборы.

Отработавшие не чистые воды подвергаются загрязнению топливом, маслами, щелочами, кислотами, характер и качество отрабатывающей воды зависит от техники производства и размеров предприятия.

Необходимо производить очистку отработавшей воды и неоднократное ее использование.

Первостепенными задачами при очистке воды является: грязеулавливание, маслоулавливание, фильтрация.

4. Экономический раздел

.1 Определение тарифного фонда зарплаты

Принимаем существующую повременно-премиальную систему оплаты труда для проектируемого отделения по ремонту автомобильных двигателей. По расчету получается 6 (шесть) слесарей-мотористов. Принимаем 3 слесарей-мотористов по V разряду и 3 по IV разряду с нормальными условиями труда с часовой тарифной ставкой для V разряда - 35 руб., для IV разряда - 32 руб.

Определяем тарифный фонд зарплаты:

                               (31)

где: TG - средняя тарифная ставка в рублях,

ТР - трудозатраты отделения по ремонту автомобильных двигателей.


4.2 Определение суммы премии

Размер премий за выпуск технически исправных автомобилей, за качественное и своевременное выполнение работ в размере 20% к тарифному фонду зарплаты.

Определяем сумму премий



4.3 Определение доплаты по районному коэффициенту

Доплату по районному коэффициенту определяем:

(32)


4.4 Определение основного фонда зарплаты

Основной фонд зарплаты определяем по формуле:

                                       (33)

 руб.

4.5 Определение суммы дополнительной заработной платы

Дополнительную заработную плату принимаем по предприятию в размере 10% от основной заработной платы:

                                            (34)


4.6 Определение годового фонда зарплаты

Определяем годовой фонд заработной платы рабочих

                                            (35)


4.7 Определение среднемесячной зарплаты

Определяем среднемесячную зарплату по формуле:

                                                  (36)

где: Рсп - списочное количество рабочих;

- число месяцев в году.



4.8 Определение фонда основной зарплаты ИГР и МОТ

Таблица 6 - Определение фонда основной заработной платы ИТР и МОП

№ п/п

Наименование должностей

Разряд

Число штатных единиц

Месячный оклад

Тарифный фонд

ИТР

1.

Начальник гаража

14

1

5500

66000

2.

Механик

13

1

5000

60000


ИТОГО



10500

126000

МОП

1.

Уборщица

1

1

1500

18000


ВСЕГО


3

12000

144000


4.9 Определение суммы за выслугу лет

Определяем вознаграждение за выслугу лет для ИТР в размере 25% составляет:

Тарифный фонд ИТР = 126000 руб.

126000  0,25=31500 руб.

4.10 Определение суммы премии

Определяем сумму премий ИТР и МОП - 25%

144000  0,25 = 36000 руб.

4.11  Определение суммы доплаты по районному коэффициенту

Определяем сумму доплат по районному коэффициенту в размере 15%

(144000+31500)0,15= 26325 руб.

4.12 Определение годового фонда зарплаты ИГР

Определяем годовой фонд заработной платы ИТР и МОП

+ 31500 + 36000 + 26325 = 237825 руб.

4.13 Определение доли зарплаты

Устанавливаем сумму фонда заработной платы ИТР и МОП, приходящуюся на проектируемый объект в размере прямо пропорционально трудоемкости ТР.

З/Питр - 237825 0,65 0,14 = 21642 руб.

4.14 Отчисление по соцстраху

Определяем отчисления на социальный налог в размере 35,6% от общего фонда зарплаты, рабочих, ИТР и МОП


4.15  Расчет затрат на запасные части и материалы

Нормы затрат на запасные части и материалы для проведения текущего ремонта автомобилей для целей планирования в рублях 1000 км/пробега.

Расчет затрат на запчасти

                                       (37)

где: L - годовой пробег;

Н - норматив (по таблице).

Легковые:

Автобусы:

Грузовые:

- корректировочный коэффициент

Сумма затрат на запасные части

Из них приходящиеся на отделение по ремонту автомобильных двигателей пропорционально трудоемкости в размере 14%.

11659850,650,14 = 106105 руб.

Расчет затрат на материалы

Легковые:

Автобусы:

Грузовые:

- корректировочный коэффициент.

Из них, приходящаяся на отделение по ремонту автомобильных двигателей трудоемкости 14%.

 0,65  0,14 = 14408 руб.

4.16 Расчет затрат на электроэнергию

          (38)

Ее стоимость, при стоимости 1 кВТ ч равен 1,5 руб.

11993  1,5 = 17989 руб.

4.17 Расчет амортизационных отчислений

Амортизационные отчисления от стоимости основных средств составляют 12% от стоимости амортизационных отчислений.


4.18 Расчет расходов на ТР основных средств

Стоимость расходов на текущий ремонт основных средств составляют 35% от стоимости амортизационных отчислений:


4.19 Возмещение износа малоценного инвентаря

Возмещение износа малоценных инструментов и инвентаря составляют 7800 рублей на списочного рабочего, тогда на отделение приходится:

78002 = 15600 руб.

4.20 Расчет расходов по технике безопасности

Расходы по технике безопасности 1,5% от тарифного фонда зарплаты рабочих:

0,015 = 5385 руб.

4.21 Расчет расходов на изобретательство и рационализации

Расходы на изобретательства и рационализаторства составляет в год 1500 руб. на одного рабочего:

500   2 = 3000 руб.

4.22 Расчет прочих расходов

Прочие расходы составляют 1% от суммы всех предыдущих расходов: 3729,33 руб.

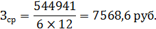
4.23 Смет затрат

Составляем смету затрат (таблица 7)

Таблица 7 - Смета затрат

№ п/п

Статьи затрат

Обозначение

Годовые затраты в рублях

1

Основная и дополнительная зарплата рабочих

З/ общ

544941

2

Основная и дополнительная зарплата ИТР и МОП

З/ общ

21642

3

Отчисления в фонд социального страхования


148445

4

Стоимость материалов


14408

5

Стоимость запасных частей


106105

6

Стоимость электроэнергии


17989

7

Амортизационные отчисления


25848

8

Текущий ремонт основных средств


 9047

9

Возмещение износа малоценного инвентаря


15600

10

Расходы по технике безопасности


5385

11

Расходы на изобретательства


3000

12

Прочие расходы


3729,33


ИТОГО


916139


4.24 Смета трудозатрат

Смета трудозатрат по группам автомобилей:

+ 5621 + 15744 = 25513 чел. час.

Для легковых автомобилей:

Для автобусов:

Для грузовых автомобилей:


4.25 Расчет доли затрат на ТО И ТР

От общих затрат на ТО и ТР приходится на:

Легковые автомобили:

Автобусы:

Грузовые автомобили:


4.26 Расчет себестоимости

Определяем себестоимость на 1000 км пробега:

Для легковых автомобилей:

Для автобусов:

Для грузовых автомобилей:


4.27 Расчет условно-годовой экономики

Определяем условно-годовую экономию:

Для легковых автомобилей:

Для автобусов:

Для грузовых автомобилей:

Общая экономия составит:


4.28 Расчет процента снижения себестоимости

Определяем% снижения себестоимости работ:

Для легковых автомобилей:


Для автобусов:


Для грузовых автомобилей:


4.29 Расчет срока окупаемости капитальных вложений

Определяем путем деления суммы капитальных вложений на годовую экономию от затрат:

                                                    (39)

Стоимость вновь приобретенного оборудования составляет 123926 руб.

Срок окупаемости равен:



5. Конструкторский раздел

5.1 Обоснование целесообразности разработки и внедрение конструкции

Универсальным съемником можно снимать детали с диаметром от 30 мм до 300 мм и детали насаженные от конца вала в пределах 10 мм до 160 мм, это еще зависит от диаметра снимаемой детали. Съемник имеет одно достоинство: его можно изготовить в любом ремонтном предприятии.

5.2 Назначение, устройство и действие

Съемник предназначен для снятия детали, которые насажены на вал с натягом. К ним относятся: шкивы, подшипники, зубчатки, шестерни и другие детали.

Съемник шкива коленчатого вала состоит из:

·        Крышка;

·        Фиксирующий болт;

·        Коромысла;

·        Захват стяжной;

·        Упорный винт;

·        Пята

5.3 Расчеты кинематические, на прочность и т.д.

Силовой расчет винта с метрической резьбой.

Исходные данные для расчета:

·        Длина рукоятки, Lp=225 мм;

·        Усилие рабочего на рукоятке, Pp=150Н;

·        Тип резьбы:       наружный d=22 мм;

внутренний d1=17 мм;

средний d2 = 19,5 мм;

Шаг резьбы S= 3 мм.

Определяем момент, приложенный к воротку определяется по формуле:

М1= PpLp, Hмм                                            (40)

М1= 150225=33750 Hмм

По условию равновесия момент, приложенный к рукоятке, равен моменту сил трения в резьбе и сил трения на опорной поверхности.

М1 = Мрез + Моп, Нмм                                     (41)

где: Мрез - момент силы трения в резьбе

Моп - момент силы трения опорной поверхности


где: Q - усилие, действующее вдоль оси винта Н;

?? - угол подъема винтовой линии;

p1 - приведенный угол трения.





где: - коэффициент трения между опорной поверхностью винта и деталью

f=0,6

Тогда усилие, действующее вдоль оси винта, определяется:


где: Do и do - внешний и внутренний диаметры опорной поверхности,

Do=5 мм, do= 0.

Проверочный расчет винта на совместное действие сжатия и округления.

 (63)

где: - расчет нормального напряжения, Нмм

где:  - расчетное касательное напряжение от скручения в результате сил трения в опорной поверхности, Нмм2.



Полученное напряжение сжатия и скручения не должны превышать допустимых.


Для изготовления винта будем использовать сталь 40.

Данные этой стали:  = ;

Напряжение сжатия:  = .

Расчет на срез и на снятие осей, захватывающих лапок и штифтов.


где: - расчетное напряжение среза ;

d= диаметр оси, мм.



где: - расчетное напряжение смятия, ;

- площадь смятия, .

Площадь смятия определяется:


где: B - ширина захвата, мм;

d - диаметр среза, мм.

Полученное напряжение не должно превышать допустимых.


Для изготовления Сталь 45, у которой:

Определяем напряжение изгиба в сечениях рукоятки.


где:   Ми- изгибающий момент в опасном сечении Нмм;

W - момент сопротивления сечения изгибу, мм.


Где D - диаметр воротка, мм



Для изготовления воротка необходима деталь, у которой напряжение изгиба

Заключение

Чтобы устранить имеющиеся недостатки в организации проведения работ по текущему ремонту двигателя необходимо разработать мероприятия, направленные на улучшения организации производства работ.

Задачей дипломного проектирования является обоснованный выбор нормативных данных и на их основе расчет производственной программы в количественном и номенклатурном выражениях, определение рабочих для выполнения производственной программы, подбор технологически необходимого оборудования и его размещения, разработка мероприятий по охране труда, разработка технологического процесса ремонта, определение эффекта от внедрения предлагаемых мероприятий.

В результате реконструкции повысилась производительность труда, улучшились условия труда, повысился КТГ, себестоимость снизилась в среднем на 8,5%, срок окупаемости дополнительных капитальных вложений примерно 1,6 лет.

Список литературы

1.          Боднев А.Г., Шаверин Н.Н. Лабораторный практикум по ремонту автомобилей. - М.: Транспорт, 2009. - 117 с.;

2.      Виноградов В.М. Технологические процессы ремонта автомобилей - М.: Издательский центр «Академия», 2010. - 384 с.;

.        Драгунович В.И., Гончаров В.С. Ремонт машин и механизмов в лесной промышленности. - М.: Лесная промышленность, 1996;

.        Дюмин И.Е., Трегуб Г.Г. Ремонт автомобилей. - М.: Транспорт, 1999 -208 с.;

.        Епифанов Л.И., Епифанова Е.А. Техническое обслуживание и ремонт автомобилей - М.: ФОРУМ: ИНФРА - М, 2012. 280 с.;

.        Карагодин В.И., Митрохин Н.Н. Ремонт автомобилей и двигателей. - М.: Мастерство; Высшая школа, 2011. - 496 с.;

7.          Методические указания и издания по дипломному проектированию по дисциплине «Ремонт дорожных машин, автомобилей и тракторов». - М.: Учебно-методический центр Государственной службы дорожного хозяйства, 2005. - 169 с.;

8.          Методические указания и контрольные задания для студентов - заочников образовательных учреждения. - М.: Учебно-методический центр Российского дорожного агентства, 2009. - 112 с.

.            Петросов В.В. Ремонт автомобилей и двигателей - М.: Издательский центр «Академия», 2014. -224 с.;

10.          Положение о техническом обслуживании и ремонте машин и оборудования лесозаготовительной промышленности. Химки: ЦНИИМЭ, 1990. - 288 с.;

.              Полосин М.Д. Техническое обслуживание и ремонт дорожных машин - М.: Издательский центр «Академия», 2005. -352 с.;

12.    Ремонт дорожных машин, автомобилей и тракторов. Под ред. В.А. Зорина. - М.: Мастерство, 2011. -512 с.;

.        Румянцев С.И. Ремонт автомобилей. - М.: Транспорт, 2001. - 327 с.

.        Техническое обслуживание и ремонт автомобилей. Под ред. В.М. Власова - М.: Издательский центр «Академия», 2004. - 480 с.;

15.          Туревский И.С. Дипломное проектирование автотранспортных предприятии. - М.: ИД «Форум»: ИНФРА-М, 2013. - 240 с.;

16.    Цеханов А.Д. Лабораторный практикум по ремонту автомобилей. - М.: Транспорт, 1998. - 136 с.;

.        Чарнецкий Ю.Ф., Назаров П.П. Учебное пособие по дипломному проектированию. - М.: Лесная промышленность, 1993. - 136 с.;