Материал: tau3

Внимание! Если размещение файла нарушает Ваши авторские права, то обязательно сообщите нам

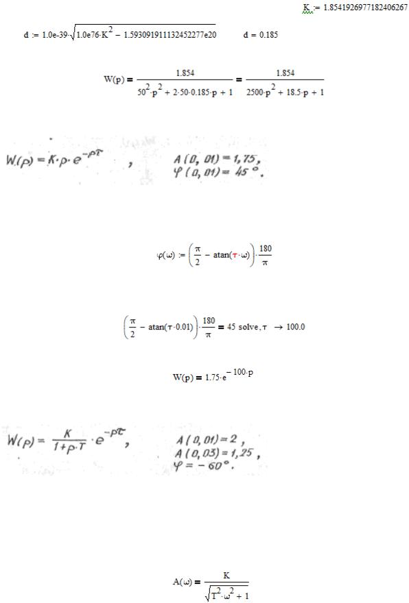
Б) Определить параметры звена для пунктов 1-9. 1.

ФЧХ принимает значение -90 градусов на частоте сопряжения звена. Отсюда определяем постоянную времени звена:

Далее запишем выражение модуля (АЧХ) в общем виде и с учётом известных коэффициентов:

Ù

Далее подставляем значения частоты и значения АЧХ на соответствующих частотах:

Выразим из 2 уравнения параметр d:

Выбираем положительное значение d и из 1 уравнения определяем параметр k:

Далее определяем d:

1

Таким образом, ПФ звена:

2.

Звено задержки не оказывает влияния на модуль (АЧХ), следовательно, коэффициент передачи звена равен значению модуля на любой частоте: K = 1,75.

Запишем выражение аргумента:

Подставляем в выражение ФЧХ частоту 0,01 и определяем, при каком τ на данной частоте значение ФЧХ будет составлять 45 градусов:

Таким образом, ПФ звена:

3.

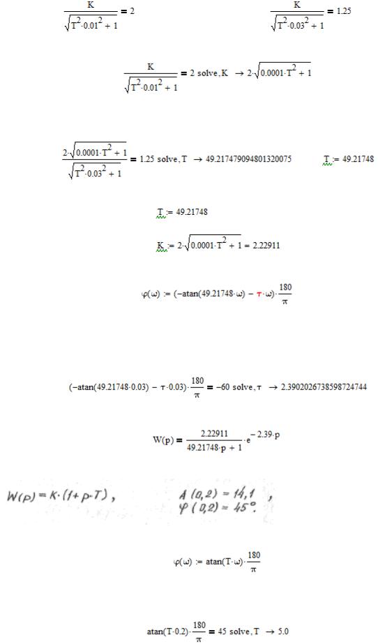
[Примечание. В задании не указана частота, на которой ФЧХ принимает значение -60 градусов. Полагаем, что это частота 0,03] Звено задержки не влияет на АЧХ (модуль).

Запишем выражение АЧХ:

Запишем выражения АЧХ с учётом заданных частот и соответствующих им значений модуля:

2

Выразим из 1 уравнения величину K:

Подставляя найденное значение K во 2 уравнение, определяем постоянную времени звена Т:

Далее определяем коэффициент передачи звена K:

Далее запишем выражение аргумента (ФЧХ):

Подставляем в выражение ФЧХ частоту 0,03 и определяем, при каком τ на данной частоте значение ФЧХ будет составлять -60 градусов:

Таким образом, ПФ звена:

4.

Запишем выражение аргумента (ФЧХ):

Подставляем в выражение ФЧХ частоту 0,2 и определяем, при каком T на данной частоте значение ФЧХ будет составлять 45 градусов:

Запишем выражение модуля (АЧХ):

3

Подставляем в выражение АЧХ частоту 0,2 и определяем, при каком K на данной частоте значение AЧХ будет составлять 14,1:

Таким образом, ПФ звена:

5.

Выражение переходной характеристики соответствует апериодическому звену 1 порядка с коэффициентом передачи K = 10 и постоянной времени T = 1/0,5 = 2.

Таким образом, ПФ звена:

6.

Выражение переходной характеристики соответствует идеальному дифференцирующему звену с коэффициентом передачи K = 0,5.

Таким образом, ПФ звена:

7.

Выражение переходной характеристики соответствует идеальному интегрирующему звену с коэффициентом передачи K = 20.

Таким образом, ПФ звена:

4

8.

Выражение импульсной характеристики соответствует апериодическому звену 1 порядка с постоянной времени Т = 1/5 = 0,2 и коэффициентом передачи K = 0,2·5=1.

Таким образом, ПФ звена:

9.

Выражение импульсной характеристики соответствует пропорциональному звену с коэффициентом передачи K = 10.

Таким образом, ПФ звена:

[1] Радиоавтоматика: Учеб. пособие для студ. вузов спец. «Радиотехника»/В. А. Бесекерский, А. А. Елисеев, А. В. Небылов и др.; Под ред. В. А. Бесекерского.— М.:

Высш. шк., 1985. — 271 с.

5