МИНОБРНАУКИ РОССИИ
Санкт-Петербургский государственный
электротехнический университет
«ЛЭТИ» им. В.И. Ульянова (Ленина)
Кафедра МО ЭВМ
отчет
по индивидуальному домашнему заданию
Тема: Табулирование (вычисление значений функции) с постоянным шагом по аргументу функции в среде MathCad
Вариант 4
|
Студентка гр. 8206 |
|
Файзуллина А.Р. |
|
Преподаватель |
|
Чернокульский В.В. |
Санкт-Петербург
2018
Цель работы.
Применить персональный компьютер и математические пакеты прикладных программ для решения математических задач.
Содержание работы:
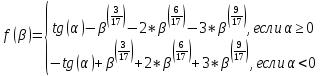
Разработать программу, обеспечивающую табулирование с постоянным шагом по аргументу β функции:

по заданным – интервалу и шагу табулирования.
Область определения функции:
|α|
1;
0 <β <100
Шаг табулирования не менее 10-2 .
Относительная погрешность вывода результатов не более 10-5 .
Вывести таблицу и графики функции результатов в обычном и логарифмическом масштабах. Найти максимальное и минимальное значения функции.
Вычислить
для
заданных нижней и верхней границ
интегрирования
,
.
Выполнение работы в MathCad:
Зададим переменные:
a
:= -1 bn := 1 bk := 99 n := 10 db :=
db = 9.8
Введем функцию f(β):

b := bn, bn + db…bk
Выведем таблицы со значениями β, f(β):

Построим графики функций в логарифмическом и обычном масштабах:


Определим максимальное и минимальное значения:
i
:= 0,1..n



max(F) = 48.101 min(F) = 7.557
Находим
интеграл для верхней и нижней границы
интегрирования (от
= 1 до
=99)

Вывод: пакет MathCad помогает рассчитать значения функции, с установленным шагом изменения переменной, также построить графики функций (обычный и логарифмический), посчитать максимальное и минимальное значение функции.
МИНОБРНАУКИ РОССИИ
Санкт-Петербургский государственный
электротехнический университет
«ЛЭТИ» им. В.И. Ульянова (Ленина)
Кафедра МО ЭВМ
отчет
по индивидуальному домашнему заданию
Тема: Табулирование в среде Visual Studio
Вариант 4
|
Студентка гр. 8206 |
|
Файзуллина А.Р. |
|
Преподаватель |
|
Чернокульский В.В. |
Санкт-Петербург
2018
Цель работы.
Применить персональный компьютер и математические пакеты прикладных программ для решения математических задач.
Содержание работы:
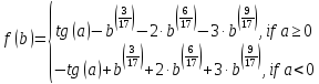
Разработать программу, обеспечивающую табулирование с постоянным шагом по аргументу β функции:

по заданным – интервалу и шагу табулирования.
Область определения функции:
|α|
1;
0 <β <100
Шаг табулирования не менее 10-2 .
Относительная погрешность вывода результатов не более 10-5 .
Вывести таблицу и графики функции результатов в обычном и логарифмическом масштабах. Найти максимальное и минимальное значения функции.
Вычислить
для
заданных нижней и верхней границ
интегрирования
,
.
Выполнение работы в Visual Studio:
В
первой части кода (0-13 строки) подключаем
нужные библиотеки, задаем βн, βк и
и
другие нужные переменные
Во второй части (14-29 строки) вводим значение a и находим f(β) для βн для присваивания переменным min и max.
В третьей части (30-56 строки) табулируем функцию, используя цикл «for», в котором находим соответственные min и max значения функции, выводим на экран получившиеся значения
1 #include “stdafx.h”
2 #include <math.h>
3
4 int _tmain(int args, _THCAR* argv[])
5 {
6 return 0;
7 }
8
9 #include <iostream>
10 using namespace std;
11 int main()
12{
13 double db = 10, b0 = 1, bk = 99, F, a, b, min, max;
14 b = 1;
15 cout << (“a=”);
16 cin >> a;
17 // |a|<=1 (по условию)
18 if (a >= 0)
19 {
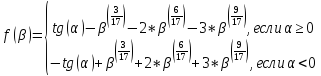
20 F = (tan(a) - pow(b, 3 / 17) - 2 * pow(b, 6 / 17) - 3 * pow(b, 9 / 17));
21 min = F;
22 max = F;
23 }
24 else
25 {
26 F = (-tan(a) + pow(b, 3 / 17) - 2 * pow(b, 6 / 17) + 3 * pow(b, 9 / 17));
27 min = F;
28 max = F;
29 }
30
31 for (b = b0; b <= bk; b += db)
32 {
33 if (a >= 0)
34 {
35 F = (tan(a) - pow(b, 3.0 / 17) - 2 * pow(b, 6.0 / 17) - 3 * pow(b, 9.0 /
17));
36 cout << “F=” << F << “ “;
37 if (F>max)
38 max = F;
39 if (F<min)
40 min = F;
41 }
42 else
43 {
44 F = (-tan(a) + pow(b, 3.0/17) + 2 * pow(b, 6.0 / 17) + 3 * pow(b, 9.0 /
17));
45 cout << “F=” << F << “ “;
46 if (F>max)
47 max = F;
48 if (F<min)
49 min = F;
50 }
51 cout << “\n” ;
52 }
53 cout << “ “ << “min=” << min << “ “ << “max=” << max;
54 system( “pause” );
55 return 0;
56 }
Пример работы программы:
