Введение
В развитии промышленности происходят глубокие качественные изменения, основанные на техническом перевооружении всех отраслей материального производства. Применяют новейшие машины, отличающиеся высокими скоростями движения рабочих органов, отмечается непрерывное увеличение мощности отдельных агрегатов.
Каждая вновь выпускаемая машина должна быть более экономичной, производительной и надёжной в эксплуатации, более простой в уходе и дешёвой в изготовлении, чем машины подобного типа, выпускаемые ранее.
Технический прогресс, осуществляемый
в более больших масштабах во всех отраслях народного хозяйства нашей страны,
придаёт курсу “Теория машин и механизмов” в технических ВУЗах особое значение,
независимо от избранной специальности. Содержание раздела является фундаментом
для современного машиностроения, так как успешное проектирование машин
основывается на решении задач, требующих применения знаний машин и механизмов.
1. Структурный анализ
.1 Определение степени подвижности
механизма по формуле Чебышева П.Л.
Степень подвижности механизма
определяется по формуле
W=3(n-1)-2![]()
-![]()
,
где n - число всех звеньев, включая неподвижное звено;
![]()
- число кинематических
пар 5-го класса:
![]()
- число кинематических
пар 4-го класса.
Степень подвижности:=3∙(6-1)-2∙7-0=15-14=1
1.2 Определение класса и порядка
структурных групп Ассура данного механизма
Разобьем механизм на группы Ассура. Группы звеньев, которые сами по себе обладают нулевой степенью подвижности, называются группами Ассура. В группы Ассура входят только такие подвижные звенья механизма, которые образуют между собой кинематические пары пятого класса.
1) Кривошип со стойкой (звенья 1
и 6). Начальная (исходная группа) звеньев.
Рисунок 1. Группа Ассура первого
класса первого порядка
2) Звенья 2 и 3
Рисунок 2. Группа Ассура первого
класса второго порядка
3) Звено 4 и 5.
Рисунок 3. Группа Ассура второго
класса третьего порядка
1.3 Кинематический анализ
Для кинематического исследования механизмов существуют методы:
Ø Аналитический
Ø Графоаналитический
Ø Экспериментальный
Мы будем использовать графоаналитический. Основным методом графического исследования является построение:
- Планов положений механизма;
- Планов скоростей;
Планов скоростей механизма.
Для определения положений всех звеньев механизма в различные моменты времени внутри цикла движения механизма строится план положений ведущего звена. Он строится для 12-ти положений ведущего звена.
Для характерных положений механизма строятся планы скоростей и ускорений. Построение плана скоростей основано на теореме о скоростях точек плоской фигуры: скорость любой точки определяется как скорость этой точки в поступательном движении вместе с полюсом и в относительном движении относительно этого полюса.
Построение планов ускорений
основывается на теореме об ускорениях точек плоской фигуры: ускорение любой
точки подвижного звена механизма определяется как ускорение той точки в
поступательном движении вместе с полюсом и в относительном движении
(вращательном) относительно этого полюса.
.4 Построение планов скоростей
Планом скоростей называется векторное изображение всех скоростей точек механизма в данном положении в определенном масштабе.
Целью построения плана скоростей является определение величины направления скоростей различный точек звеньев механизма в данном ею положению.
В основу метода построений плана скоростей положены теоремы механики о сложном движении твердого тела. В механики всякое мгновенное абсолютное движение плоского тела рассматривается как совокупность поступательного движения тела вместе с любой точкой, взятой за полюс, и вращательного движения вокруг этого полюса.
Рассмотрим порядок построения планов скоростей на примере 2-го положения механизма.
Нам известна угловая
скорость ведущего звена (![]()
=const):
) Вычислим масштаб плана
скоростей:
Где ![]()
-длина вектора скорости
на плане скоростей(мм).
) Линейная скорость:![]()
![]()
- скорость точки В
![]()
- скорость точки В
относительно точки А
![]()
- скорость точки В
относительно
![]()
=![]()
∙![]()
43∙0.01=0.43 (м/с)
) Линейная скорость точки
С:
![]()
- скорость точки С
относительно точки В
Таблица 1. Результаты вычислений
скоростей
№ Положения
мм
0.02
42
0.84
0
0
0
0
0
0
0
0
0
0
1
50
1
61
1,32
52
0,16
50
1
16
0,32
5
6
0.12
9
0.16
41
0.72
6
0.12
3
0.04
6
10
0.2
14
0.26
39
0.38
10
0.46
4
0.14
7
21
0,44
29
0,58
30
0,4
21
0,44
8
0.18
11
23
0.46
30
0.6
27
0.38
23
0.46
7
0.14
1.5 Вычисление угловых скоростей
механизма
Вычислим угловые скорости звеньев 1,
2, 3, 4. Результаты вычислений запишем в
таблицу 2 (с-1)
Таблица 2
положение
0
1
5
6
7
11
4,19
0
0.21
0.21
0.18
0,13
0.11
0
0,18
0,02
0,04
0,08
0,08
0
0,02
0,01
0,012
0,02
0,028
Направление угловой скорости на
плане положений определяется следующим образом:
Вектор скорости звена из плана
скоростей переносится параллельно самому себе в ведомою точку рассматриваемого
звена и направление вращения рассматривается относительно центра масс
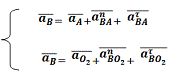
2. Силовой расчет механизма
.1 Определение уравновешивающей силы
В результате
динамических исследований определяют силы ( На первом этапе строится
план нагрузок механизма без учёта инерциальных нагрузок. Для этого к
кинематической схеме механизма в соответствующие токи прикладываем направление
всех действующих нагрузок.
) Определяем без учёта
инерциальных нагрузок методом рычага Жуковского. Определение основано на
теореме Жуковского. Определение: если к построенному плану скоростей механизма
в соответствующие точки приложить направление действующих нагрузок и повернуть
их одновременно в любую сторону на 90 ̊,то он превратится в статически
определимую систему при одном неизвестном - уравновешивающей силы, которая
определяется с помощью одного уравнения статики.
Высчитаем уравновешивающую силу для
каждого положения:
Первое положение: Q=2000 H
= Пятое положение: Q=8000 H (без учета сил инерции)
Шестое положение: Q=2000 H
Седьмое положение: Q=2000 H
Одиннадцатое положение: Q=2000 H
Результаты вычислений
запишем в таблицу 3.
Таблица 3
№ полож.
0
1
5
6
7
11
(Н)
468,9
643,4
855,98
319,06
311,4
646,74
(Н) -643,4
-855,98
-319,06
-311,4
-646,74
(Н∙м)
-75,8
-128,7
-171,2
-63,8
-62,78
-129,3
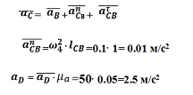
.2 Построение плана ускорений
Построение планов ускорений
основывается на теореме о сложном движении твёрдого тела: Ускорение любой точки
подвижного звена механизма определяется как ускорение той точки в
поступательном движении вместе с полюсом и в относительном движении
(вращательном) относительно этого полюса.
План ускорений строится для того
положения механизма, в котором уравновешивающая сила максимальна. В данном
механизме уравновешивающая сила максимальна в четвёртом положении.
Для построения плана ускорений
определим ускорения кривошипа, вычислительный масштаб и векторные ускорения.
Вычислительный масштаб:
Где Векторные уравнения:
1) Ускорение точки В
где Ускорение точки С
Таблица 4
3,5
1.95
2.5
1.5
0.3
0.03
1.9
0.01
1.5
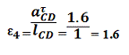
Определение угловых ускорений
звеньев.
Величина углового ускорения
определяется по формуле:
Где Таблица 5
0
1,04
3.3
1.6
Для определения направления угловых
ускорений тангенциальную составляющую переносим параллельно самой себе в
ведомою точку механизма.
2.3 Определение уравновешивающей
силы с учетом сил инерции
После построения плана ускорений
находим силы инерции и моменты сил инерции. Моменты сил инерции определяют
только для тех тел, которые совершают вращательное или плоское поступательное
движение с угловыми ускорениями.
Из плана ускорений определим
ускорения центров тяжести звеньев:
Вычислим силы инерции по
формуле: Вычислим моменты сил
инерций.
Знак «-» показывает, что
момент инерции направлен в противоположную сторону Вычислим приведенные моменты.
где Вычислим
уравновешивающую силу с учётом сил инерции для 5-го положения:
3. Расчёт маховика по диаграмме
энерго-масс
.1 Построение графика избыточных
работ
График избыточных работ строится
методом графического интегрирования. График представляет собой зависимость
работ сил сопротивления от положений ползуна механизма.
На первом графике f( На расстоянии Н выбираем
точку Р.Центр каждого положения ползуна сносим на диаграмму и определяем момент
для каждого положения. Соединяем точку Р со значениями этих моментов. Методом
параллельного переноса строим диаграмму работ сил сопротивления =f(υ)
Определяем масштаб этой
диаграммы.
Где Где L - длина абсциссы диаграммы.
Н - полюсное расстояние.
На диаграмме работ сил
сопротивления проводим прямую линию, которая соединяет начало координат и конец
кривой. Эта линия и есть диаграмма движущих сил.
Измеряя отклонение
диаграммы от прямой,для каждого положения, строим график ∆ А= f(υ).
3.2 Построение диаграммы энерго-масс
Первым строится график зависимости
от положений механизма читается по следующей формуле:
Где Таблица 6
№
0
1
5
6
7
11
кг∙
3,04
6,59
1,41
1,45
1,8
1,93
Строим диаграмму
энергомасс. Для этого с кривой зависимости =f( По полученным точкам
строим замкнутую кривую. Эта кривая будет являться диаграммой энергомасс.
При установившемся
движении эта диаграмма замкнутая кривая, построенная как геометрическое место
точек пересечения ординат функций ∆ Т 3.3 Определение геометрических
размеров маховика и его веса
Под углами Проведём касательные к
диаграмме энерго - масс под углом Практически принимая
диаметр маховика Принимаем предварительно
Найдём передаточное
общее число:
Таблица 7
D,м
0.1
0.2
0.3
0.4
0.5
0.6
0.7
0.8
0.9
1
G,Н
2191,2
547,8
243,5
136,95
87,7
60,9
44,7
34,2
27,1
21,9
По полученным данным строим график G=f(D), по - которому находим:
Толщина обода маховика:
a=1000∙ где F - площадь сечения маховика
F= a=1000∙ Ширина обода маховика
b=2a=2∙20=40 мм
4. Определение реакций в
кинематических парах методом построения планов сил
Решение этой задачи связанно с
реализацией условия статической определимости, а именно: число неизвестных
должно быть равно числу уравнений статики.
Этому условию отвечают группы
Ассура. Следовательно, решение задачи заключается в рассмотрении равновесия
каждой структурной группы, начиная с последней.
Действия отсоединенных звеньев
обозначают реакциями связей с указание индексов взаимодействующих звеньев.
Предварительно определим величину
приведенных к масштабу механизма сил инерции по формуле:
где Определение реакций в
кинематических парах начинаем с рассмотрения равновесия последней структурной
группы Асура.
Строим план сил, для
нахождения реакции Величина реакции
Реакцию Величина реакции
Определяем реакцию Определяем реакцию Далее строим план сил,
для нахождения реакции При построении плана сил
для Складывая геометрически Реакцию Величина реакции
Вычислительный масштаб
равен:
На основании векторного
уравнения шарнирный механизм ускорение
кинетический
4.1 Определение уравновешивающего
момента
По рычагу Жуковского
=143.7 Н.
Заключение
В данном курсовом проекте был
рассмотрен ШРМ (шарнирно-рычажный механизм).
В первой части работы был проведен
структурный и кинематический анализ механизма (построены планы механизма, планы
скоростей, определены угловые скорости звеньев, планы ускорений, определены
угловые ускорения звеньев). В результате была определена потребляемая мощность
двигателя и по каталогу выбрали двигатель, обеспечивающий работу данного
механизма.
Далее для заданной степени
неравномерности хода механизма был произведен расчет махового колеса, в
результате которого были определены габариты и масса махового колеса.
В третьей части курсовой работы был
представлен расчет реакций в кинематических парах механизма, по результатам
которого мы убедились в правильности расчета уравновешивающего момента с учетом
инерционных нагрузок.
Список литературы
1. Княжкин В.И.,
Ромадин И.С., Данилов А.К. Кинематический анализ и силовой расчет механизма
2012.
. Батурин А.Т.
Детали машин. Спб 2010.
мм
мм
мм
мм
ММ
![]()
![]()
) и момент сил
действующие на звенья механизма.
![]()
∙![]()
∙![]()
∙![]()
∙![]()
Q![]()
=0
![]()
=0
![]()
- длинна вектора
ускорения на плане ускорений
![]()
-нормальное ускорение
относительного движения точки В относительно точки А,
![]()
- нормальное ускорение
относительного движения точки В относительно точки ![]()
,
![]()
- тангенциальное
ускорение i-го звена
![]()
- длинна i-го звена
![]()
=0
![]()
![]()
![]()
![]()
![]()
![]()
=1.8 м/c2
![]()
=2.7 м/c2 ![]()
=3 м/c2
![]()
=1.3 м/c2
![]()
∙![]()
где знак «-»
показывает, что сила инерции направлена в противоположную сторону ускорению, ![]()
- масса i-го звена, ![]()
- ускорение центра
тяжести i-го звена.
![]()
= ![]()
∙![]()
= 20*1.8= 36 H
![]()
= ![]()
∙![]()
= 30*2.7= 81 H
![]()
= ![]()
∙![]()
= 40*1.75= 70 H
![]()
= ![]()
∙![]()
= 55*3= 165 H
![]()
= ![]()
∙![]()
= 45*1.3= 58.5 H
![]()
=![]()
=![]()
∙![]()
,
![]()
= - ![]()
∙![]()
∙![]()
![]()
.
![]()
=![]()
∙![]()
∙![]()
=0
![]()
=![]()
∙![]()
∙![]()
=1.04![]()
30![]()
(0.29![]()
0.48)2=0.605 H*м
![]()
=![]()
∙![]()
∙![]()
=3.3![]()
40![]()
(0.29![]()
0.57)2=3. 607
Н*м
![]()
=![]()
∙![]()
∙![]()
=1.6![]()
50![]()
(0.29![]()
1)2=7.401 Н*м
![]()
,
![]()
- отрезок на плане
скоростей, отображающий относительную скорость звена, мм
![]()
- длинна звена, м
![]()
=![]()
= 52.94 
![]()
=![]()
= 37.97
![]()
=![]()
= 22.203 
![]()
∙![]()
∙![]()
∙![]()
∙![]()
Q![]()
+
![]()
=0
![]()
) по 6-ти значениям
моментов приведения, которые откладываются по оси ординат, строим кривую линию
в масштабе:
![]()
=![]()
=1,99 ![]()
![]()
= ![]()
=![]()
∙![]()
∙Н=1,99∙0,0262∙50=2,607
![]()
![]()
- масштаб диаграммы.
![]()
=![]()
=![]()
=0.0262 ![]()
![]()
=![]()
∙![]()
= ![]()
∙![]()
![]()
- масса звена.
![]()
- момент инерции звена.
![]()
- угловая скорость
звена.
![]()
- скорость центров
звеньев.
![]()
) переносим значения для
каждого положения до пересечения со значениями графика ∆ А= f(υ).
![]()
(![]()
) и (![]()
) приравных параметрах ![]()
.
![]()
и ![]()
,значения которых
определяются по формулам.
![]()
=![]()

![]()
=![]()
![]()
сверху и под углом ![]()
снизу, до пресечения с
осью ординат. На оси получится отрезок ![]()
=107 мм
![]()
≤10 ![]()
в нашем случае ![]()
= 0.2м
![]()
= 2м,таким образом ![]()
≤ 2 м .
![]()
=279 Н
![]()
=0.285 м

,
![]()
0.057688,

=16.887 мм![]()
20 мм
![]()
,
![]()
- расчетная величина,
Н/мм,
![]()
- истинная величина, Н,
![]()
- вычислительный
масштаб структурных групп, м/мм,
![]()
= ![]()
= 60,5 Н/мм.
![]()
= ![]()
= 360,7 Н/мм.
![]()
= ![]()
= 740,1 Н/мм.
![]()
исходя из условия:
![]()
=![]()
=133![]()
80=10640 Н
![]()
=![]()
= -10640 Н
![]()
найдем на плане сил из
условия:
![]()
=![]()
=141![]()
80=11280 Н
![]()
=![]()
= -11280 Н
![]()
из уравнения моментов
относительно точки В для 2-го звена:
![]()
=110.2 Н
![]()
из уравнения моментов
относительно точки В для 3-го звена. Отсюда найдем ![]()
:
![]()
=- 3148.8 Н
![]()
и ![]()
исходя из условия:
![]()

= 15.744 Н/мм
![]()
и ![]()
нам известны только
линии их действия, пересечение которых даст нам возможность определить их
величину.
![]()
, получим ![]()
, складывая ![]()
, получим ![]()
. Их величины
соответственно равны:
![]()
=![]()
=192![]()
15.744=3022,8Н
![]()
=![]()
=3![]()
15.744=47,232 Н
![]()
=![]()
= -3022.8 Н
![]()
=![]()
= -47,232 Н
![]()
найдем на плане сил из
условия:
![]()
=![]()
=192![]()
15,744=3038.6 Н
![]()
=![]()
= -3038.6Н

= 15.7 Н/мм
![]()
строим план сил и
находим реакцию ![]()
.
![]()
=![]()
=223![]()
20=3022,8Н
![]()
=![]()
= -3022,8 Н
![]()
=144034 Н
![]()
=144034![]()
0,001≈144 Н.