ФЕДЕРАЛЬНОЕ АГЕНТСТВО ПО ОБРАЗОВАНИЮ
ГОСУДАРСТВЕННОЕ ОБРАЗОВАТЕЛЬНОЕ УЧРЕЖДЕНИЕ
ВЫСШЕГО ПРОФЕССИОНАЛЬНОГО ОБРАЗОВАНИЯ
«БАШКИРСКИЙ
ГОСУДАРСТВЕННЫЙ УНИВЕРСИТЕТ»
КУРСОВАЯ РАБОТА
по дисциплине «Биофизика полимеров»
на тему:
СТРУКТУРНАЯ ОРГАНИЗАЦИЯ МОЛЕКУЛ НУКЛЕИНОВЫХ КИСЛОТ
Выполнил(а):
Шагалина Гульназ Шагибаловна
Уфа 2013
Оглавление
Введение
. Структура и функция нуклеотидов
.1 Азотистые основания
.2 Моносахариды: рибоза и дезоксирибоза
.3 Остаток фосфорной кислоты
. Физико-химические показатели нуклеиновых кислот
.1 Выделение нуклеиновых кислот
.2 Хелатирующая способность
.3 Молекулярная масса, содержание и локализация в клетке ДНК и РНК; виды ДНК и РНК
.4 Физико-химические свойства нуклеиновых кислот
. Структура нуклеиновых кислот
.1 Правила Чаргаффа
.2 Первичная структура НК
.3 Вторичная структура НК
.4 Оптические характеристики нуклеиновых кислот
.5 Третичная структура ДНК
Заключение
Литература
Введение
К числу важнейших научных событий нашего века следует отнести открытие того факта, что генетическая информация кодируется полимерной молекулой ДНК, образованной лишь четырьмя типами мономерных единиц. Именно ДНК служит химической основой наследственности. Её молекула содержит в своей структуре множество генов. ДНК направляет синтез РНК, которая в свою очередь определяет синтез белка. Значение структуры и функции нуклеиновых кислот необходимо для понимания сути генетических процессов происходящих в клетке.
Следует разобрать понятие нуклеопротеид. Сложные белки состоят из собственного белка и простетической (небелковой части), в роли которой выступают различные вещества. Если роль небелкового компонента выполняют нуклеиновые кислоты, то это - нуклеопротеид (нуклеиновая кислота - белок), то есть сложный белок, а правильнее - надмолекулярный комплекс (например - хроматин, рибосома). Простетической группой нуклеопротеидов являются нуклеиновые кислоты, в связи с чем различают дезоксинуклеопротеиды (ДНП) и рибонуклеопротеиды (РНП). Белковой частью нуклеопротеидов являются простые белки: гистоны и негистоновые белки, чаще всего кислые белки, если нуклеопротеиды локализуются в ядрах клеток; протамины - в нуклеопротеидах сперматозоидов животных и рыб; другие простые белки (альбумины и глобулины), если нуклеопротеиды локализованы в цитозоле.
В различных нуклеотидах количество нуклеиновых кислот колеблется от 40 до 65% (например в рибосомах про- и эукариот). В вирусных нуклеопротеидах количество нуклеиновых кислот не превышает 2- 5 %.
ДНП в клетке локализованы преимущественно в ядрах, но встречается и в митохондриях, хлоропластах, а РНП - в цитозоле, но некоторое количество обнаруживаются в ядрах и ядрышках.
В живом организме, в клетке существуют, как известно два типа нуклеиновых кислот ДНК и РНК. Общее содержание их в клетке зависит от функционального состояния ее: содержание ДНК в большинстве клеток 1-10%, в мышцах - около 0,2%. Содержание РНК, как правило, в 5-10 раз больше, так в печени, активно синтезирующей белки соотношение РНК/ДНК составляет 4/10. Особое положение занимают вирусы: у них генетический материал может быть либо ДНК (ДНК-овые) или РНК (РНК-овые). Приблизительно 1-3% ДНК приходится на внеядерную (митохондрии, хлоропласты). РНК в клетке распределяется более равномерно: в клетках высших организмов в ядре -11%, митохондриях -15%, 50% в рибосомах и 24% в гиалоплазме. нуклеотид химический нуклеиновый кислота
Нуклеиновые кислоты - это высокомолекулярные азотсодержащие органические соединения, структурной единицей которых являются мононуклеотиды, соединенные в полинуклеотидную цепь 3'-5' фосфодиэфирными связями, отвечающие за вид, форму, состав и функционирование клетки. Из элементарного состава нуклеиновых кислот обращают внимание содержание фосфора (10%) и азота (15-18%). Итак, нуклеиновые кислоты - это полимеры, полинуклеотиды, кирпичиками которых является мононуклеотиды. В свою очередь мононуклеотид состоит из азотистого основания (производные пурина или приримидина), пентозы (рибозы или дезоксирибозы) и фосфорной кислоты.
Основная задача молекулярной биофизики состоит в
изучении структурных конформационных изменений НК. До недавнего времени
представлялась весьма жесткой и мало изменчивой макромолекулой. В
действительности, двойная спираль ДНК обладает изменчивой и гибкой структурой,
что очень важно для выполнения биологических функций в клетке. [10]
1. Структура и функция нуклеотидов
Каждый нуклеотид содержит 3 химически различных
компонента: гетероциклическое азотистое основание, моносахарид (рибофуранозу) и
остаток фосфорной кислоты. В зависимости от числа имеющихся в молекуле остатков
фосфорной кислоты различают нуклеозидмонофосфаты (НМФ), нуклеозиддифосфаты
(НДФ), нуклеозидтрифосфаты (НТФ) (рис. 1).
Рис. 1 - Различные нуклеозидфосфаты
Рис. 2 - Три компонента нуклеотида
.1 Азотистые основания
В состав нуклеиновых кислот входят азотистые
основания двух типов: пуриновые - аденин (А),гуанин (G) и пиримидиновые -
цитозин (С), тимин (Т) и урацил (U) (рис. 3).
Рис. 3 - Пиримидиновые и пуриновые основания
Более подробно о пиримидине и пурине: пиримидин
С4Н4N2 - шестичленный гетероцикл с двумя
атомами азота.
Проявляет свойства очень слабого
основания, т.к. атомы азота в sp2-гибридизованном состоянии довольно
прочно удерживают неподеленную электронную пару. Для пиримидина, подобно
пиридину, характерна 6р-электронная ароматическая система. Поэтому его цикл
обладает повышенной устойчивостью; пурин С5H4N4
- соединение, в молекуле которого сочетаются структуры шести- и пятичленного
гетероциклов (пиримидина и имидазола), содержащих по два атома азота.
Проявляет амфотерные свойства.
Слабые основные свойства связаны с атомами азота шестичленного (пиримидинового)
цикла. Слабые кислотные свойства обусловлены группой N-H пятичленного цикла
имидазола (по аналогии с пирролом). Эти соединения являются основой
пиримидиновых и пуриновых оснований, входящих в состав природных
высокомолекулярных веществ - нуклеиновых кислот.
.2 Моносахариды: рибоза и
дезоксирибоза
Моносахариды - бесцветные
твердые кристаллические вещества, хорошо растворимые в воде, обычно сладкие на
вкус. К моносахаридам, входящим в состав нуклеиновых кислот, относятся рибоза и
дезоксирибоза.
в-рибоза в-дезоксирибоза (C5H10O5) (C5H10O4)
Рис. 4. Циклические формулы
моносахаридов, входящих в состав нуклеиновых кислот.
При частичном гидролизе нуклеотидов отщепляется остаток фосфорной кислоты и образуются нуклеозиды, молекулы которых состоят из остатка пуринового или пиримидинового основания, связанного с остатком моносахарида - рибозы или дезоксирибозы. (В приложении приведены структурные формулы основных пуриновых и пиримидиновых нуклеозидов). В случае образования связи моносахарида с пуринами к названию добавляется суффикс -озин: аденозин <#"823465.files/image007.gif">
Рис. 5. Адсорбционная хроматография
(схема). Разделение двух разных веществ (А и В), перемещающихся по колонке с
разной скоростью. 1.-нанесение образца на колонку; 2-середина опыта; 3-окончание
опыта.
Рис. 6. Фильтрация через агарозный гель.
Рис. 7. Схематическое изображение
системы для аналитического ультрацентрифугирования (а) аналитической и
балансировочной ячеек (б). 1 - мотор; 2 - зеркало; 3 - линза; 4 -
фотопластинка; 5 - окуляр; 6 - гибкий вал; 7 - положение аналитической ячейки;
8 - камера ротора; 9 - светофильтр; 10 - источник света; 11- термистор; 12 -
ротор; 13-положение балансировочной ячейки; 14 - к насосу; 15 - граница; 16 -
раствор; 17- растворитель; 18 - шлирен-диаграмма; 19- индексные отверстия.
.2 Хелатирующая способность
В водных растворах нуклеиновые
кислоты проявляют свойства активных полидентатных лигандов. Полидентатность
нуклеиновых кислот обусловлено наличием ионизированных фосфатных групп и
полярных групп азотистых оснований (карбонильных, имино- и др.), способных к
образованию координационных связей с катионами металлов. С помощью
ионизированных фосфатных групп нуклеиновые кислоты хелатируют катионы щелочных
и щелочноземельных металлов, причем с катионами щелочных металлов нуклеиновые
кислоты образуют лабильные, а с катионами щелочноземельных металлов (Mg2+,Ca2+)
- более прочные комплексы. За счет взаимодействия с полярными группами азотистых
оснований нуклеиновые кислоты образуют достаточно стабильные комплексы с
катионами d-металлов.
.3 Молекулярная масса, содержание и
локализация в клетке ДНК и РНК; виды ДНК и РНК
Молекулярную массу ДНК определяют в основном гидродинамическим и электронно-микроскопическим методами, хотя это можно делать, измеряя светорассеяние растворов ДНК и некоторыми другими способами.
В основе гидродинамического метода лежит линейная зависимость константы седиментации ДНК, определяемой при ультрацентрифугировании растворов ДНК, от ее молекулярной массы, которую можно установить по калибровочной кривой или расчитать по формуле: 0,445lgM=1.819+lg(s20͵w-2.7), где s20͵w - константа седиментации, приведенная путем экстраполирования к бесконечному разведению (s), стандартной температуре (20 С) и вязкости воды (w).
Электронно-микроскопический метод определения молекулярной массы ДНК основан на измерении длины вытянутых молекул ДНК. Известно, что на 0,1 нм протяженности ее молекулы приходится масса, равная 197 Да. Умножая это значение на экспериментально найденную длину, находят значение молекулярной массы. Молекулярная масса эукариотических ДНК выше, чем у ДНК прокариот (например, в одной из хромосом плодовой мушки дрозофилы она достигает 7,9 х 1010). Кроме того, в состав митохондрий и хлоропластов входят кольцевые молекулы ДНК с молекулярной массой 106-107. ДНК этих органелл называют цитоплазматической; она составляет примерно 0,1% всей клеточной ДНК.
Содержание ДНК в клетках организма определенного вида отличается необыкновенным постоянством, тогда как межвидовые различия по этому показателю достаточно велики. Количество ДНК в клетке измеряется пикограммами (1012 г), колеблется от 0,01 пг у кишечной палочки до нескольких пикограммов в гаплоидных клетках высших организмов.
Кроме внутриклеточной ДНК существует также ДНК, входящая в состав вирусов и бактериофагов. Количество ее в вирусах значительно ниже, чем в клетках бактерий (тысячные доли пикограмма).
Молекулярные массы РНК определяют теми же методами, что и ДНК, но, кроме того, используют электрофорез в полиакриламидном геле, так как пробег РНК в геле обратно пропорционален их молекулярным массам. Что касается содержания и локализации РНК в клетках, то оно не отличается ни однообразием, ни стабильностью: в клетках, где идет интенсивный биосинтез белков, содержание РНК в несколько раз превышает таковое ДНК (например, в печени крысы РНК в 4 раза больше, чем ДНК), но там, где синтез белка мал, соотношение ДНК и РНК может быть обратным (например, в легких крысы РНК в 2 раза меньше, чем ДНК).
По функциональному значению и молекулярным массам, равно как и по локализации в клеточном содержимом, РНК делят на следующие виды.
. Транспортные РНК (тРНК) отличаются сравнительно невысокими значениями молекулярных масс (25-30 тыс. дальтон). тРНК составляют 10 % от всех РНК. Эти РНК локализованы в гиалоплазме клетки, ядерном соке, бесструктурной части хлоропластов и митохондрий и приобретают специфическую конфигурацию в виде клеверного листа. Они осуществляют кодирование аминокислот и перенос их в рибосомальный аппарат клетки в процессе биосинтеза белков.
. Рибосомальные РНК (рРНК) характеризуются в основном большими молекулярными массами (1-1,5 млн. дальтон), молекулы крупные, в их состав входит до 5 000 нуклеотидов. Они локализованы в рибосомах, являясь их структурной основой и выполняя в них разнообразные функции (формирование активного центра рибосомы; Обеспечение взаимодействия рРНК и тРНК).
. Информационные, или матричные, РНК (мРНК) обладают молекулярными массами, варьирующими в широких пределах (от 300 000 до 4*106). мРНК синтезируются в ядре в процессе транскрипции на определенном участке молекулы ДНК (гене). Функцией мРНК является перенос генетической информации о структуре белка от ДНК к месту синтеза белка, на рибосомы.
. Вирусные РНК отличаются разнообразными и высокими молекулярными массами, лежащими в основном в пределах нескольких миллионов дальтон. Они являются составными частями вирусных и фаговых рибонуклеопротеинов, несут всю информацию, необходимую для размножения вируса в клетках хозяина.
В современной литературе обсуждается вопрос о целесообразности выделения в отдельные категории еще нескольких видов РНК: ядерной, хромосомной, митохондриальных, низкомолекулярных регуляторных, антисмысловых.
2.4 Физико-химические свойства
нуклеиновых кислот
В воде ДНК образует вязкие растворы,
при нагревании таких растворов до 60 °С или при действии щелочей двойная
спираль распадается на две составляющие цепи, которые вновь могут объединиться,
если вернуться к исходным условиям. В слабокислых условиях происходит гидролиз,
в результате частично расщепляются фрагменты -Р-О-СН2- с
образованием фрагментов -Р-ОН и НО-СН2, соответственно результате
образуются мономерные, димерные (сдвоенные) или тримерные (утроенные) кислоты,
представляющие собой звенья, из которых была собрана цепь ДНК.

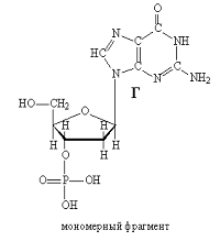
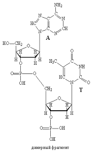
Рис. 8. Мономерный фрагмент. Рис. 9.
Димерный фрагмент.
Нуклеиновые кислоты и их растворы
проявляют кислотно-основные свойства; обладают хелатирующей способностью и способностью
к денатурации; оптические, коллоидные, осмотические свойства; высокая вязкость
растворов; в среде живой клетки могут находится в жидкокристаллическом
состоянии.
3. Структура нуклеиновых кислот
.1 Правила Чаргаффа
Для понимания ряда особенностей структуры ДНК важное значение имели закономерности состава и количественного содержания азотистых оснований, установленные впервые Э. Чаргаффом. Оказалось, что азотистые основания ДНК обычно варьируют у разных видов организмов, однако почти не претерпевают изменений у одного и того же вида в процессе развития или в зависимости от изменений окружающей среды либо характера питания. Показано также, что ДНК, выделенная из разных тканей одного и того же вида, имеет одинаковый состав азотистых оснований. Полученные количественные соотношения были названы правилами Чаргаффа. При анализе состава очищенной ДНК, выделенной из разных источников, были сделаны следующие выводы: