Материал: Стандарт WiMAX. WiMAX – технологія безпровідного зв’язку

Внимание! Если размещение файла нарушает Ваши авторские права, то обязательно сообщите нам

Рис. 3.2. Принцип формування рознесених по частоті тих, що піднесуть

Найважливішою відмінністю OFDM технології від простого розділення радіосигналу по декількох паралельних частотних каналах є ортогональність тих, що піднесуть в груповому спектрі OFDM сигналу. Фізичний сенс ортогональності полягає в підмішуванні в структуру кожної спеціальної мітки, що піднесе, - певної унікальної кількості синусоїдальних коливань сигналу, що розрізняються по фазі на 90 град. (ортогональних функцій), що дозволяє демультиплексору на основі аналізу даних влучний розділяти сигнали, що піднесуть, навіть у разі часткового перекриття їх частотних спектрів. Виділення тих, що несуть в загальному спектрі звичайного багатоканального сигналу унаслідок обмежених технологічних можливостей сучасних смугових частотних фільтрів вимагає достатньо великого частотного рознесення тих, що несуть, що обмежує збільшення їх кількості в заданій смузі частот. Виділення тих, що несуть в груповому спектрі OFDM сигналу при демультиплексуванні проводиться за допомогою ортогональних перетворень сигналів. Це допускає можливість перекриття спектрів що сусідніх піднесуть, що дозволяє значно збільшити частотну щільність їх розміщення в спектрі сигналу і підвищити спектральну ефективність.

Метод селекції сигналів і перешкод (шуму) на основі аналізу їх структури застосовується в технології широкосмугового радіозв'язку з середини 1990-х років. Вперше даний метод був використаний в технології розширення спектру DSSS для формування і виділення на тлі перешкод широкосмугового шумоподібного сигналу, що утворюється шляхом множення (мультиплексування) вузькосмугового сигналу на випадкову швидкісну послідовність імпульсів. Дана технологія була реалізована в безпровідних локальних мережах першого покоління Wireless LАN (WLAN) стандарту IEEE 802.11, системах супутникової навігації GPS. Метод виділення сигналів по закладених при їх формуванні цифрових кодах також реалізований в мобільному зв'язку стандарту Сode Division Multiply Access (CDMA).

Застосування OFDM сигналу дозволяє WIMAX мережам забезпечити вищу швидкість передачі даних по порівнянню системами з тією, що однією несе, що досягається за рахунок розподілу передачі інформації по безлічі паралельних частотних каналів.

Використання OFDM, в принципі, не є специфічною особливістю технології WIMAX. Модуляція OFDM також застосовується, наприклад, в системах Wi-Fi стандарту IEEE 802.11a/g. Проте OFDM в технології WIMAX стандарту IEEE 802.16 має значно більше число тих, що піднесуть, визначають вищу спектральну ефективність систем WIMAX в порівнянні з системами стандарту IEEE 802.11a/g.сигнал в WIMAX мережах фіксованого доступу стандарту IEEE 802.16-2004 має до що 256 піднесуть, в мережах мобільного WIMAX стандарту IEEE 802.16e - до що 2048 піднесуть, а в системах Wi-Fi стандарту IEEE 802.11a/g - що всього лише 64 піднесуть. Слід зазначити, що більшість систем широкосмугового безпровідного доступу BWA попереднього покоління (так звані preWiMAX системи) базуються на чіпсеті стандарту IEEE 802.11a. Всі модифікації і удосконалення систем Wi-Fi, що дозволяють їх використовувати для цілей BWA, виконуються на програмному рівні. Тим самим, сигнали preWiMAX, також як і Wi-Fi, мають тих, що всього 64 піднесуть. Це означає, що WIMAX мережі мають приблизно в три і більше разів велику спектральну ефективність в порівнянні з Wi-Fi і preWIMAX системами. Тим самим, межа швидкості передачі даних на фізичному рівні мережі при використанні каналу зв'язку однакової ширини в системах WIMAX більш ніж в три рази вище, ніж в системах preWiMAX і Wi-Fi. Так теоретична межа швидкості передачі каналу WIMAX стандарту IEEE 802.16-2004 шириною 10 Мгц (що 128 піднесуть) складає близько 36 Mbps. Межа швидкості передачі даних системи на базі чіпсета Atheros стандарту IEEE 802.11a, використовуваного в Wi-Fi і pre-WiMAX в каналі зв'язку 20 Мгц (що 64 піднесуть) складає приблизно 30 Mbps, і, відповідно, в каналі зв'язку шириною 10 Мгц (що 32 піднесуть ) - менше 15 Mbps.

.2 Моделі безпровідних каналів

Модель ідеального каналу, званого каналом з «аддитивним білим шумом» (AWGN) Гауса, - звичайна відправна крапка при аналізі роботи системи радіозв'язку. Згідно цієї моделі, передані зразки даних вражаються поряд статистично незалежних шумових джерел, які представлені головним чином тепловими шумами, що виникають в приймачі. Теплові шуми виникають із-за випадкового руху електронів унаслідок теплової активності в приймачі. Термін «Гаус» використовується, щоб підкреслити, що ці теплові перешкоди мають розподіл Гауса. Струм, наведений випадковим рухом електронів, може бути оцінений як сума нескінченно великої кількості малих індивідуальних струмів, проведених рухом дуже великої кількості електронів, і, оскільки всі джерела поводяться незалежно, передбачається, що повний струм є сумою великої кількості незалежних і ідентично розподілених (i.i.d) випадкових струмів. Якщо застосувати центральну граничну теорему, яка стверджує, що розподіл суми великої кількості i.i.d випадкових змінних наближається до розподілу Гауса, то цей повний струм матиме поведінку Гауса. Термін «білий» (white) використовується, щоб вказати, що цей шум має рівну потужність для всіх частотних компонент, тобто спектральна щільність потужності шуму постійна для всіх частот і рівна N0/2, при цьому N0/2 називають двосторонньою шумовою

спектральною щільністю. Термін «аддитивний» має на увазі, що шумові зразки додані до переданих зразків даних і вражають їх. Таким чином, в цілому прийнятий в каналі AWGN сигнал, може бути представлений як


де s (t) - переданий сигнал, і n (t) - шумовий сигнал, зразки якого мають середнє значення 0 і варіюються в межах N0/2.

На жаль, модель AWGN не є цілком відповідною для безпровідних каналів, тому що переданий сигнал схильний також явищу «завмирань», що додаються безпровідним каналом на додаток до шуму, що виникає в приймачі. Завмирання представляють собою флуктуації миттєвих значень напруженості сигналу в місці розташування приймача із-за безлічі трас розповсюдження при проходженні сигналу.

Сигнал відбивається різними об'єктами, розташованими на його трасі, оскільки він йде від передавача до приймача, проходячи через безліч трас. Ці компоненти багатопроменевого розповсюдження впливають на приймач позитивно або негативно залежно від їх коефіцієнтів ослаблення і фазових кутів, примушуючи таким чином рівень прийнятого сигналу коливатися залежно від часу і відстані.

Віддзеркалення відбувається, коли сигнал, що розповсюджується, відбивається від об'єкту з розмірами достатньо великими по відношенню до довжини хвилі сигналу.

Дифракція відбувається, коли траса розповсюдження між передавачем і приймачем перекрита щільною перешкодою з розмірами, які є великими по відношенню до довжини хвилі сигналу, що приводить до формування позаду перешкоди вторинних хвиль. Розсіювання відбувається, коли сигнал, що розповсюджується, натрапляє на об'єкт, розміри якого порядку довжини

хвилі сигналу або менш, що приводить до переоблученню енергії сигналу по всіх напрямах.

Ці три види завмирань разом утворюють загальну картину завмирань в каналі, що достатньо повно представляється як Завмирання багатомасштабні і дрібномасштабні Завмирання.

Великомасштабні Завмирання

Великомасштабні завмирання є середнім ослабленням потужності сигналу або втрати на трасі при проходженні трас великої протяжності. Втрати на трасі і Затінювання - ось два основні механізми, які приводять до ефектів завмирань крупного масштабу.

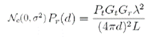
Втрати на трасі розповсюдження краще всього описуються моделлю втрат на трасі вільного розповсюдження. Модель втрат на трасі вільного розповсюдження припускає, що передавальна антена є ізотропною, тобто, передавач випромінює енергію з рівною інтенсивністю на всіх напрямках, і немає ніяких об'єктів на трасі розповсюдження між передавачем і приймачем, які могли б блокувати сигнал або створювати умови для його віддзеркалення. Також передбачається, що середовище передачі не поглинає енергію. Потужність, прийнята приймальнею антеною в моделі вільного простору визначається виразом Friis для вільного простору


де Pt - передана потужність, (d) - прийнята потужність, яка є функцією відстані між передавачем і приймачем, - посилення передавальної антени, - посилення приймальної антени, є довжиною хвилі сигналу, - це відстань між передавачем і приймачем, і L - коефіцієнт втрат системи, не пов'язаних з розповсюдженням.

Можна бачити, що потужність прийнятого сигналу назад пропорційна квадрату відстані між передавальною і приймальною антенами. Отже, якщо відстань між передавачем і приймачем збільшується, потужність сигналу, що приймається, зменшується. Рівняння 2 може бути записано у такому вигляді


де d0 - гранична відстань для дальньої області антени. Втрати на трасі, PL (d) - це ослаблення сигналу між передавальною і приймальною антенами і визначається як


У децибелах приведений вище вираз може бути записане так


А в загальному вигляді верхній вираз можна записати так


де n- це так звана «експонента втрат на трасі», яка рівна 2 для вільного простору і більше 2 для реальних каналів.

Затінювання - це зміна рівня прийнятій потужності сигналу на великих відстанях із-за випадкових ефектів ландшафту і наявності крупних об'єктів в навколишньому середовищі. Воно є причиною того, що два різні приймачі, рівновіддалені від передавача, приймають переданий сигнал з різною потужністю. Затінювання може бути представлене як додатковий випадковий компонент, доданий до втрат на трасі, і таким чином ефективні втрати на трасі на заданій відстані від передавача випадкові і, як то кажуть, підкоряються логарифмічно-нормальному закону розподілу вище величини PL(d). Цю форму затінювання називають логарифмічно-нормальним затінюванням, і воно може бути представлене як [1]:


Девипадкові зміни Гаусів.

Дрібномасштабні завмирання відносяться до швидких коливань потужності сигналу, що приймається, впродовж короткого проміжку часу або малої дистанції розповсюдження за умов, коли великомасштабні ефекти можуть ігноруватися, наприклад, при переміщенні мобільних пристроїв від одного пункту до іншого. Цей тип завмирань спостерігається в тих випадках, коли дві або більша кількість копій переданого сигналу досягають приймача з різними затримками розповсюдження, амплітудою, фазою і кутами прибуття. Оскільки багато версій переданого сигналу проходять по різних трасах, їх часто називають багатопроменевими компонентами, а їх об'єднання може бути як корисним, так і шкідливим, якщо воно приводить до завмирання. Мобільний радіоканал може бути точно змодельований як лінійний, залежний від часу фільтр, і його імпульсний відгук повністю характеризує багатопроменевий канал із завмираннями. Імпульсний відгук такого каналу має вигляд


Передавальна функція залежного від часу каналу - це перетворення Фурье для імпульсного відгуку і має вигляд


Зміни в H (f; t) викликано з одного боку зміною f, що приводить до розподілу в часі основного цифрового імпульсу в межах сигналу, і це поведінку каналу називають «дисперсією в часі» або «варіаціями частоти» початкового каналу. З іншого боку, зміни в H (f; t) викликані зміною величини t, яке приводить до розподілу в частотній області, і це поведінку каналу називають «частотною дисперсією» або «відмінністю в часі» для початкового каналу. Час затримки в (9) відноситься до прояву розподілу в часі, який є наслідком неоптимального імпульсного відгуку каналів із завмираннями за час спостереження t, викликаного природою каналу, що змінюється в часі, яка є проявом відносного руху передавача і приймача або руху об'єктів, що заважають, в межах каналу [2]. Будь-який з двох механізмів дрібномасштабних завмирань може бути еквівалентно вивчений як в тимчасовій, так і в частотній області. Bello в [3] запропонував поняття Стаціонарного Некерованого Розсіювання Широкого Сенсу (WSSUS) для того, щоб вивчити явище дрібномасштабного федингу. Припущення WSSUS дозволяє представити загальну передавальну функцію автокореляції у такому вигляді Функція називається просторово-частотною, просторово-часовою кореляційною функцією каналу.

3.3 Вплив інтерференції на OFDM канал зв'язку WIMAX

У реальних системах крім теплового шуму і внутрішнього шуму приймача присутня інтерференція. Тому SNR оцінюється як С/n+i, де З - потужність сигналу, N - потужність теплового шуму, I - потужність сигналу інтерференції. Вплив інтерференції приводить до деградації рівня чутливості приймача. Чим вище рівень інтерференції, тим на велику величину сигнал на вході приймача RSSL повинен перевищувати рівень чутливості для підтримки відповідної модуляції.

Значення показника SNR=С/N+I (зазвичай позначається коротко як C/I) постійно вимірюється в процесі роботи як на базовій станції, так і на кожному абонентському терміналі WIMAX, з метою динамічного призначення найбільш відповідної модуляції для кожного передаваного пакету даних. Цей вимірюваний показник позначається SINR (Signal to interference plus noise ratio) або CINR (Carrier to interference plus noise ratio).

Експериментально встановлено, що якщо рівень інтерференції знаходиться нижчим за рівень теплового шуму Receiver Noise Floor на величину в 6 dB, то ця інтерференція не робить впливу на приймач системи. Точніше, при I = No - 6 dBm рівень зниження (деградації) рівня чутливості приймача не перевищує 1 dB.

Рівень теплового шуму з урахуванням внутрішнього шуму приймача складає N = 10log(kTo)+ Nf = -136 dB (W/MHz). Тому рівень інтерференції I в каналі шириною 10 Мгц, чутливості приймача, що не приводить до істотної деградації, рівний= -136 + 30 + 10 Log(10) - 6 = -102 dBm

У каналі шириною 5 Мгц рівень інтерференції, що не приводить до істотної деградації чутливості приймача, рівний -105 dBm.

При перевищенні рівня потужності інтерференції порогових величин деградація рівня чутливості збільшується більш ніж на 1 dB і інтерференції може впливати на роботу системи. Ступінь негативного впливу залежить від типу сигналу інтерференції (перешкоди). При оцінці чутливості приймача як шум розглядається шум Гауса або “білого”. Реальний сигнал перешкоди по своїй структурі, природно, може відрізнятися від білого шуму і його вплив на роботу системи може бути як сильніше, так і слабкіше за вплив білого шуму. Так наприклад, вузькосмугова перешкода може взагалі не впливати на широкосмуговий сигнал OFDM. Точна теоретична оцінка впливу різних типів перешкод на роботу приймача системи є достатньо складним завданням. Більш менш точно оцінити взаємний вплив інтерференції можливо для однотипного устаткування при аналізі електромагнітної сумісності, що буде розглянуте в наступних розділах. На практиці для оцінки можливості роботи систем в умовах інтерференції різного типу зазвичай оперують граничними значення CINR.є системою з автоматичним регулюванням потужності AТPC. На базових станціях задається максимально можливий рівень вхідного сигналу RSSL. Для 5 Ггц систем з шириною каналу 5 або 10 Мгц даний рівень зазвичай встановлюється рівним 65-70 dBm. При мінімально достатньому рівні сигналу на вході приймача RSSL в 65-70 dBm (близькому до рівня чутливості з урахуванням fade margin) і при відношенні сигнал/шум + інтерференція С/n+i >= 21 + 6 = 27 dB на модуляції 64QAM3/4 досягається деградація рівня чутливості приймача не вище 1 dB для BER = 10E-6. Таким чином, зміряне в процесі роботи WIMAX значення CINR >= 27 dB при мінімально достатньому рівні RSSL гарантує, що інтерференції знаходиться нижчим за рівень теплового шуму приймача на величину не менше 6 dB і незалежно від типу сигналу інтерференції практично не робить впливу на роботу системи.

При роботі в умовах сильної інтерференції або по інших причинах максимальний рівень вхідного сигналу на базовій станції може бути підвищений до 65-60 dBm. В цьому випадку, при підвищенні рівня сигналу на вході приймача, вимоги до рівня CINR для підтримки модуляції 64QAM3/4 декілька знижуються аж до мінімально необхідного рівня 21 dB.