Материал: Способы производства глинозема

Внимание! Если размещение файла нарушает Ваши авторские права, то обязательно сообщите нам

- бак; 2 - крестовина с гребками; 3 - разгрузочное отверстие; 4 - желоб; 5 - воронка; 6 - редуктор.

Рисунок 2 - Схема однокамерного сгустителя

Наряду с однокамерным применяются многокамерные сгустители, состоящие из 2-5 отстойных камер, расположенных одна над другой. По высоте сгуститель коническими диафрагмами разделен на пять камер равной высоты. В центральной части сгустителя каждая диафрагма заканчивается переточным стаканом, нижняя часть которого опущена в слой сгущенного шлама и образует гидравлический затвор. В центре сгустителя находится общий для всех камер вал с пятью ярусами гребковых устройств.

Днище сгустителя в центральной части переходит в разгрузочный конус, через который выгружается шлам. Разгрузка шлама - общая для всех камер. Оседающий в каждой камере шлам гребковых устройств перегребается к центру диафрагм и по переточным стаканам поступает в разгрузочный конус. Питание же пульпой и отъем осветленного раствора осуществляется в каждой камере независимо, пульпа между камерами распределяется с помощью питающей коробки. Слив из каждой камеры отбирается одновременно в четырех точках. Для этого служат четыре сливные коробки, расположенные на равном расстоянии друг от друга по периферии сгустителя. Высоту уровня слива в сливных трубах можно изменять с помощью специального телескопического устройства и этим регулировать уровни шлама в камерах сгустителя.

Основными преимуществами многокамерных сгустителей перед однокамерными является сокращение производственных площадей в цехе на установку сгустителей и экономия материалов на их сооружение. Однако в многокамерных сгустителях высота камер ниже, чем в однокамерных, отчего уменьшается время пребывания шлама в зоне уплотнения и, следовательно, снижается степень его уплотнения. Это в свою очередь требует увеличенного ввода воды в систему на промывку шлама. Более низкая степень уплотнения шлама - основной недостаток многокамерных сгустителей. Кроме того, многокамерные сгустители более сложны в обслуживании, чем однокамерные. Поэтому в последние годы вновь стали широко применять однокамерные сгустители диаметром до 30 - 40 м, но с увеличенной высотой бака. Схема пятикамерного сгустителя представлена на рисунке 3.

- цилиндрический резервуар; 2 - питающие трубы; 3 - питающая коробка; 4 - гребковое устройство; 5 - вал; 6 - переточные стаканы; 7 - разгрузочный конус; 8 - коническое дно; 9 - конические диафрагмы; 10 - сливная коробка; 11 - сливные трубы.

Рисунок 3 - Схема пятикамерного сгустителя

В районах с холодным и умеренным климатом сгустители и промыватели красного шлама следует устанавливать в здании, в районах с теплым климатом возможна установка под открытым небом (вне здания).

Отношение площади сгущения к площади промывки обычно составляет (2 - 3) : 1.

Промыватели, как сгустители, имеют тепловую изоляцию. Кроме того, для повышения температуры в промывной системе применяют промежуточный нагрев пульпы паром в гидросмесителях.

Обслуживание сгустителей и промывателей в основном сводится к контролю за их бесперебойной работой и поддержанию определенных технологических параметров. Ниже приводятся некоторые технологические показатели работы сгустителей и промывателей на отечественных заводах.

Отношение ж:т в шламе при сгущении 2,5 - 4, при промывке 2 - 3; температура пульпы в сгустителях и промывателях около 1000С; содержание твердых частиц в сливе сгустителей не более 0,1 г/л; удельная производительность по сливу при сгущении 0,13 - 0,2 м3/м2·ч), при промывке 0,2 - 0,3 м3/(м2·ч). Высоту слоя осветленного раствора стремятся поддерживать по возможности наименьшей, так чем она меньше, тем выше степень уплотнения шлама. В верхнем ярусе пятиярусных сгустителей высоту осветленной зоны поддерживают 40 - 60 см, в промывателях поддерживают до одного метра. Чрезмерное уплотнение шлама может вызвать перегрузку и поломку гребкового механизма. Поэтому приводной механизм сгустителей и промывателей имеет световой и звуковой сигнализатор перегрузки вала. При перегрузке прекращают подачу пульпы, и в случае необходимости вал вместе с гребковым устройством на некоторое время поднимают на необходимую высоту.

.2 Противоточная промывка шлама в системе сгустителей

Сгустители, применяемые для промывки красного шлама, по своему технологическому назначению называются, иногда промывателями.

Промывка ведется по противоточному методу, которая показана на рисунке 4. Сгущенный шлам из сгустителя подается шламовым насосом в первый промыватель, куда из второго промывателя одновременно подается промывная вода, смешивающаяся со шламом и разбавляющая увлеченный шламом крепкий раствор. В первом промывателе происходит рассмотренный уже выше процесс сгущения разбавленного шлама и отделения его от осветленной жидкости. Последняя, представляющая собой промывную воду окончательной концентрации (так называемая первая промывная вода), отправляется по назначению (например, на разбавление автоклавной пульпы), а уплотненный шлам из первого промывателя перекачивается во второй. В этот же промыватель поступает менее крепкая промывная вода из третьего промывателя. Во втором промывателе происходит тот же процесс, что и в первом; этот процесс повторяется вплоть до последнего промывателя, куда подается чистая вода для окончательной отмывки шлама. Окончательно отмытый шлам удаляется в отвал.

Противоточная промывка шлама сводится, таким образом, к последовательной обработке сгущенного шлама все более и более слабыми жидкостями (промывными водами и водой), причем каждый раз этой операции предшествует отделение шлама от главной массы раствора (т. е. сгущение шлама). При этом происходит последовательное, все возрастающее при переходе от одного промывателя к другому, разбавление раствора, увлекаемого сгущенным шламом. Отсюда становится понятным, почему нужно стремится получать в сгустителе и в промывателях максимально уплотненную шламовую пульпу, т. е. пульпу с возможно большим отношением Т:Ж; в этом случае в сгущенном шламе будет содержаться меньше раствора и последний будет легче отмываться.

Обычно шламовая пульпа и раствор, служащий для промывки, прежде чем поступить в загрузочный цилиндр промывателя, направляются либо в смесительный желоб, либо в бак-репульпатор, где и происходит их предварительное смещение. Если такой репульпатор устанавливается внизу, т сгущенный шлам выпускается в него непосредственно, без помощи диафрагмового насоса, а разбавленная смесь подается в следующий промыватель центробежным насосом.

.3 Факторы, влияющие на сгущение красного шлама

) Тонина помола, химический состав боксита. Отстаивание (сгущение) - это процесс осаждение частиц под действием силы тяжести. Частицы размерами до 100 мкм подчиняются законом Стокса и скорость их осаждения может быть определяться по формуле (1)

 (1)

где w - скорость осаждения, м/с;

Р - плотность твердой и жидкой фазы, кг/м3;

μ - вязкость среды, кг/м2.

Из формулы видно, что осаждение в основном зависит от вязкости жидкой фазы (т.е. от температуры и концентрации) и от кристаллической структуры красного шлама (крупности частиц).

Как правило, скорость осаждения возрастает с повышением содержания окислов железа и снижается с увеличением содержания гидроалюмосиликата натрия (ГАСН) в шламе, поэтому бокситы с высоким кремневым моделем, как правило, образуют после выщелачивания шламы с лушими седиментационными свойствами. Гибситовые и гибсит-бемитовые бокситы дают более тонкие и хуже откристаллизованные шламы (особенно частицы ГАСН). Тонкие частички шлама практически не оседают без их предварительной агрегации (флокуляции с образованием хлопьев). Для этого используются коагулянты и флокулянты.

) Температура. Для уменьшения вязкости среды процесс сгущения проводят при максимальной температуре. Для снижения потерь тепла в окружающую среду процесс ведут в теплоизолированной аппаратуре. Температура сгущения принимается 95-100 0С.

) Содержание твердого в пульпе питания. Так же как формула Стокса описывает свободное осаждение частиц, а фактически частицы при осаждении проходят несколько зон, которые условно можно разделить на:

- зона осветленного раствора;

- зона свободного осаждения;

- зона стесненного осаждения;

- зона уплотнения;

- зона сгущения шлама.

При прохождении этих зон происходит соударение частиц из-за чего теряется скорость осаждения частиц. Поэтому фактическая скорость осаждения частиц определяется по формуле (2)

 (2)

где 0,5 - коэффициент стесненного слоя.

) Влияние примесей. Присутствие в бокситах пирита, сидерита, некоторых органических соединений и коаленита (глина) имеющего пластинчатую структуру ухудшают процесс сгущения. При их повышенном содержании шламы зависают и практически не отстаиваются.

) Скорость слива. Производительность сгустителей характеризуется скорость слива, под которой принимают: объем осветленного раствора получаемого с одного метра кв. площади осаждения:

 (3)

где G - скорость слива, м/ч;

Q - объем осветленного раствора, м3;

F - площадь осаждения, м2;

Т - время работы, час.

Промывная система - противоточная и оборудована аппаратами d 20м. Нитки промывки 3-х кратные. Нитка промывки питается шламом одного сгустителя d 40м или двумя сгустителями d 20м.

3. Описание технологической схемы

глинозем сгущение промывка шлам

Разбавленная пульпа через питающие коробки поступает в сгуститель. Осветленный алюминатный раствор (слив) из сгустителя через сливные коробки самотеком поступает в мешалку нефильтрованного раствора. Сгущенный шлам из конуса сгустителя также самотеком поступает в первый гидросгуститель, где смешивается с промывной водой второго промывателя. Полученная в первом гидросмесителе пульпа насосом подается в первый промыватель, где вновь подвергается сгущению. Из первого промывателя сгущенный шлам поступает во второй гидросмеситель, где смешивается с промводой из третьего промывателя. Отсюда пульпа перекачивается во второй промыватель и т.д.

На схеме показана четырехкамерная промывка шлама. Промыватели работают по принципу противотока, что позволяет более полно отмыть красный шлам и получить промводу более высокой концентрации. Сущность противотока состоит в том, что шлам при своем движении от первого промывателя к последнему обрабатывается все более слабой промывной водой и в четвертом промывателе он встречается со свежей водой, которая подается в последний гидросмеситель.

Промвода из первого промывателя отбирается в бак промводы, а из него перекачивается на разбавление автоклавной пульпы. Промытый шлам из последнего промывателя поступает в мешалку шламоудаления, из которой после дополнительного разбавления водой перекачивается на спекание.

4. Расчет процесса сгущения и промывки красного шлама

.1 Материальный баланс

Исходные данные: на сгущение подается разбавленная пульпа количеством V = 638 м3/час, содержание твердой фазы в пульпе Cтв.пульпе = 90 г/л, содержание твердой фазы в шламе первого ряда промывателя Ств.фазы1 = 254 г/л, в промывателе второго ряда Ств.фазы2 = 340 г/л, в промывателе третьего ряда Ств.фазы3 = 360 г/л; плотность твердой фазы во всех стадиях одинакова ρтв.фазы = 2700 кг/м3; пульпа репульпируется горячей водой, содержание Na2O в горячей воде СNa2O = 5 г/л; химический состав пульпы поступающей на первую стадию промывки СAl2O3 = 135 г/л, СNa2O = 145 г/л, химический состав пульпы поступающей на вторую стадию СAl2O3 = 63 г/л, СNa2O = 63 г/л, химический состав пульпы поступающей на третью стадию СAl2O3 = 26 г/л, СNa2O = 20 г/л.

Находим массу поступающей разбавленной пульпы по формуле (4), определяем твердую и жидкую фазы

 кг

Определим массу твердой фазы в разбавленной пульпе поступающей на сгущение по формуле (5)


Находим массу жидкой фазы в разбавленной пульпе поступающей на сгущение по формуле (6)


Составим систему уравнений для определения объема алюминатного раствора Vалюм.р-р - м3, и объема шлама Vшлам1 - м3, который выводится из-под конуса сгустителя

алюм.р-р = 502,694 м3шлам1 = 135,306 м3

где 0,1 - содержание твердого в сливе сгустителя и промывателя, г/л;

424 - содержание твердого в разгрузке сгустителя, г/л.

По формуле (5) определяем содержание твердого материала в алюминатном растворе


Определяем объем твердой фазы в алюминатном растворе по формуле (7)


По формуле (8) вычисляем объем жидкой фазы в алюминатном растворе


Масса жидкой фазы в алюминатном растворе определяется по формуле (2)


Вычисляем по формуле (9) массу алюминатного раствора


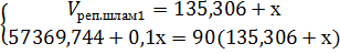
Составляем системы уравнений для определения объема репульпированного шлама, который подается в первый гидросмеситель Vреп.шлам1 - м3, и объема слива со второго промывателя, который подается в первый гидросмеситель - х, м3.

х = 502,694 м3реп.шлам1 = 638 м3

По полученным данным составляем систему уравнений для определения объема промывной воды Vпр.воды - м3, и объем шлама, выходящего из-под конуса первого промывателя Vшлам2 - м3

пр.воды = 412,099 м3шлам2 = 225,901 м3

где 254 - содержание твердого в шламе первого ряда, г/л.

По формуле (5) определяем содержание твердого материала в промывной воде


Определяем объем твердой фазы в промывной воде по формуле (7)


По формуле (8) вычисляем объем жидкой фазы в промывной воде