В пределах Потымецкого вала прослеживается ряд локальных поднятий:
Западно-Ем-Ёговское (4394), площадью около 60 км2, вытянутое в северо-северо-
восточном направлении более чем на 10 км; Северо-Ем-Ёговское (4395) и
Ем-Ёговская крупная брахиантиклиналь (4396) сложной конфигурации, почти изометричная
(11-13 км в диаметре) в западной части и узкая, линейно вытянутая в восточном
направлении более чем на 20 км. Ем-Ёговская крупная брахиантиклиналь (4396)
включает в себя два локальных поднятия - Ем-Ёговское (533) размером около 100
кв. км и Пальяновское (535) площадью 30 км , вытянутое в широтном направлении
на 10 км.
Рисунок 4 - - Фрагмент тектонической карты центральной части ЗападноСибирской плиты (Красноленинский НГР) (под ред. Шпильмана В.И., 2013 г.)
Обобщая результаты изучения тектонического строения исследуемой площади и анализ предыдущих отчетов, результатов сейсморазведочных работ и последующих структурных построений, данных бурения скважин, следует остановиться на основных выводах, характеризующих тектоническое строение Ем-Ёговской площади:
структуры развивались унаследовано, постепенно выполаживаясь вверх по разрезу, но отличались темпами тектонического развития. В целом структурный план испытывал тенденцию к воздыманию западной части месторождения. На неотектоническом этапе развития произошла общая инверсия структур Красноленинского свода;
тектонический фактор является основополагающим в процессе формирования
отложений осадочного чехла и образования в них зон, перспективных для поиска
углеводородов.
Рисунок 3 - Сводный литолого-стратиграфический разрез юрских отложений
Ем-Ёговской площади
На Ем-Ёговской площади разрез тюменской свиты на полную толщину вскрыт большинством пробуренных скважин за исключением тех, которые закладывались целевым назначением на викуловский горизонт. Толщина свиты изменяется от 0 м (скв.7г) до 150-200 м (скв. 505г, 602г).
В разрезе тюменской свиты выделяется три подсвиты: нижняя (пласты ЮК7-9), средняя (пласты ЮК5-6) и верхняя (пласты ЮК2-4).
Верхняя подсвита (пласты ЮК2-4) представлена чередованием прослоев и линз песчаников, алевролитов и аргиллитов. В подошве пачки преобладают песчано-алевритовые разности пород. В средней части доля глинистых пород увеличивается, количество и толщина песчаных слоев уменьшается. Выше по разрезу переслаивание пород становится более ритмичным и наблюдается незначительное увеличение толщины линз и прослоев песчаников.
Песчаники и алевролиты полимиктовые мелкозернистые, плотные, серые и светло-серые с обильными включениями углистого детрита на плоскостях напластования.
Аргиллиты серые, прослоями до темно-серых, часто алевритистые, плотные, слюдистые, часто известковистые.
Для пород верхней пачки характерно наличие плоскостей оползания и смятия осадков, наблюдаются ходы илоедов. В верхней части встречаются остатки плохо сохранившейся фауны пелеципод. Батский возраст отложений подтвержден спорово-пыльцевыми комплексами, выделенными в разрезах скважины 10г Ем-Ёговской площадей.
С кровлей отложений тюменской свиты связан отражающий горизонт Т.
Согласно карте нефтегазогеологического районирования (под ред. Шпильмана А.В., 2013 г.) исследуемая территория расположена в центральной части Красноленинского свода и находится в пределах Красноленинского нефтегазоносного района Красноленинской нефтегазоносной области ЗападноСибирской нефтегазоносной провинции (рисунок 6).
Промышленная нефтегазоносность площади установлена в породах верхней
части доюрского основания (кора выветривания), отложениях шеркалинской
(ЮК10-11), тюменской (ЮК2-9), абалакской (ЮК1), тутлеймской (пласт ЮК0) и
викуловской (пласты ВК1-3) свит.
Рисунок 5 - Фрагмент тектонической карты мезозойско-кайнозойского ортоплатформенного чехла Западно-Сибирской геосинеклизы (под ред. Нестерова И.И., 1990 г.)
Рисунок 6 - Фрагмент карты нефтегеологического районирования территории
Ханты-Мансийского автономного округа (под ред. Шпильмана А.В., 2001 г.)
Стоит отметить, что в пределах Красноленинского свода существует несколько нефтематеринских толщ. Так по результатам исследований, проведенных совместно с автором диссертации, к нефтематеринским толщам, активно реализующим свой генерационный потенциал, по содержанию и распределению УВ отнесены нижняя часть тюменской свиты и тутлеймские аргиллиты. Миграция из низов тюменской свиты происходит как в нижележащие доюрские отложения, так и в вышележащие пласты, заполняя углеводородами юрский комплекс до абалакской свиты. Выше абалакского флюидоупора в юрской зоне нефтепроявлений начинает доминировать органика тутлеймской свиты.
По глубине положения тутлеймская свита вошла в главную зону нефтеобразования. Разуплотненная структура послеюрских отложений способствовала миграции нефти в ловушки викуловской свиты (пласт ВК1). Однако, непосредственное примыкание к материнским отложениям пластов абалакской свиты и верхней подсвиты тюменской свиты содействовало миграции нефти и в ловушки этих пластов (Ю1, Ю2-5).
Отложения тюменской свиты (пласты ЮК2-9) выявлены на всей территории Красноленинского месторождения и вскрыты в интервале глубин от 2210 м (Ем- Ёговская площадь) до 2611 м (Талинская площадь).
Породы представлены песчано-алевролито-аргиллитовыми образованиями. Коллекторы крайне не выдержаны как по разрезу, так и по простиранию, подвержены выклиниванию, литологическому замещению непроницаемыми разностями пород (рисунок 7).
Рисунок 7 - Геологический профиль по линии скважин 141г-418г Ем-Ёговской
площади
Песчаные пласты преимущественно малой толщины (до 4 м), реже средней (4-10 м) и в единичных случаях более 10 м, весьма сложной конфигурации, которые распределены по площади без видимой ЮК 3аимосвязи со структурными элементами. Размеры песчаных тел колеблются от 0.2 х 1.6 км до 19.1 х 9.5 км. Строение песчаных тел и связанных с ними залежей по продуктивным пластам мозаичное. Суммарные эффективные нефтенасыщенные толщины пластов ЮК2-9 изменяются от 0.4 м до 16.4 м, составляя в среднем 5-6 м.
Дебиты нефти в отдельных скважинах достигают 57.6 м /сут (скв. 12) - 96 м /сут (скв. 50) на 8 мм штуцере. В большинстве же скважин тюменской свиты и PVT-свойства пластовых флюидов Ем-Ёговского ЛУ получены низкодебитные притоки нефти (от долей м /сут до 3-5 м /сут).
Основные характеристики пластов-коллекторов тюменской свиты и свойства их
пластовых флюидов представлены в таблице 2.
Таблица 2 - Геолого-физическая характеристика продуктивных пластов
|
Параметры |
ЮК2-5 |
ЮКб-9 |
|
|
Абсолютная отметка кровли, м |
2189-2261 |
2326-2422 |
|
|
Тип залежей |
пластовый, литологически экранированный |
||
|
Тип коллектора |
поровый |
||
|
Площадь нефтеносности,10 м |
31966-830451 |
284699-621239 |
|
|
Средняя общая толщина, м |
65,9 |
39,6 |
|
|
Средняя эффективная нефтенасыщенная толщина, м |
15,3 |
9,52 |
|
|
Коэффициент песчанистости, ед |
0,25 |
0,19 |
|
|
Коэффициент расчлененности, ед |
11,0 |
5,0 |
|
|
Средний коэффициент проницаемости,10- мкм |
0,8 |
0,8 |
|
|
Средний коэффициент пористости, д.ед |
0,13-0,14 |
0,014-0,015 |
|
|
Средний коэффициент начальной нефтенасыщенности, ед |
0,52 |
0,58 |
|
|
Начальная пластовая температура,0С |
99 |
||
|
Начальное пластовое давление, МПа |
23,9 |
||
|
Давление насыщения нефти газом, МПа |
14,0 |
||
|
Газосодержание,м3/т |
171 |
||
|
Плотность нефти в пластовых условиях, кг/м3 |
0,691 |
||
|
Плотность нефти в поверхностных условиях, кг/м3 |
832,0 |
||
|
Вязкость нефти в пластовых условиях, мПа*с |
0,54 |
||
|
Объемный коэффициент нефти, ед |
1,35 |
||
|
Плотность воды в пластовых условиях, кг/м3 |
977 |
||
|
Вязкость воды в пластовых условиях, мПа*с |
0,32 |
||
|
Удельный коэффициент продуктивности, м3/(сут*МПа*м) |
0,2 |
0,9 |
|
|
Коэффициент вытеснения нефти водой, д.ед. |
0,465 |
0,516 |
|
Тип залежи пластовый литологически экранированный. На севере и востоке залежь осложнена зонами выклинивания коллектора и выходом палеозойского основания в районе скважин 1274, 7г, 586г, 1001г. Залежь чисто нефтяная.
Все залежи пластов тюменской свиты также тектонически экранированы на северо-востоке, т.е. отделены зоной разломов от водоносных пластов Талинского месторождения (скв.515г и 122г).
Покрышкой для залежей нефти тюменской свиты служат глинистые породы абалакской свиты.
В общем объеме запасов нефти категории ВС1 по месторождению на долю ЮК2-5
приходится 103847 тыс.т или 24.7% начальных геологических и 24823 тыс.т или
21.1% начальных извлекаемых запасов нефти.
На Ем-Ёгском месторождении, в разработке находятся объекты ВК1-3, ЮК1, ЮК2-5, ЮК6-9. При этом основная добыча ведется из объекта ВК1-3.
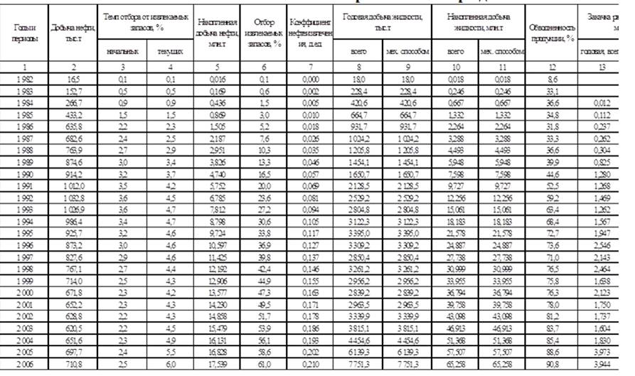
По состоянию на 01.01.2010 г. в целом по месторождению добыто 20357 млн.т нефти или 71,4% извлекаемых запасов, текущий КИН достиг 22%, накопленная добыча жидкости составила 103,047 млн.т, накопленная закачка воды составляет 40,297 млн.м3, в том числе теплоносителя - 26,973 млн.м3..
Эксплуатационный фонд месторождения составляет 968 скважин, в том числе 713 добывающих и 255 нагнетательных. Кроме этого, предусматривались бурение 61 вспомогательной скважины; 50 резервных и 5 разведочных скважин.
Система ППД организована только на II объект. До 01.07.2003г. осуществлялась циклическая закачка пара и воды по технологиям ИДТВ(П), ТЦВП, утвержденным технологической схемой 1991г. С 01.07.2003г., применение этих технологий прекращено по экономическим причинам; организуется закачка сточной и теплой воды с температурой на забое не менее 35 ˚С с реконструкцией КНС, ДНС и системы обвязки УПГ.
Динамика технологических показателей разработки месторождения характеризуется ростом добычи нефти, жидкости и закачки воды. За последние пять лет добыча нефти увеличилась на 9%, добыча жидкости и закачка воды возросла более чем вдвое. Рост показателей по месторождению обусловлен увеличением темпов освоения объектов тюменского и яснополянского горизонтов, а также интенсификацией добычи жидкости на викуловском ярусе. Несмотря на сокращение числа действующих скважин на месторождении (на 27% за пять лет), с применением методов и технологий регулирования разработки удалось повысить производительность действующих скважин, что и обеспечивает прирост добычи нефти по месторождению. Текущие дебиты нефти действующего фонда в среднем соответствуют начальному периоду освоения месторождения, текущие дебиты жидкости (в среднем) максимальны за весь период разработки.
Показатели разработки Ем-Ёгского месторождения главным образом определяются показателями разработки абалакского яруса. На этом объекте в 2009 г. добыто 80% всей годовой добычи нефти; 96% годовой добычи жидкости и 99,7% годовой закачки воды месторождения. При этом на объекте задействовано 77% действующего нефтяного фонда и 98% действующего нагнетательного фонда месторождения. Оценивая динамику фактических показателей разработки объектов, применительно к показателям абалакского яруса можно говорить о четвертой (завершающей) стадии разработки объекта, характеризующейся стабилизацией добычи нефти и высокой долей воды в продукции.
Объекты тюменского горизонта и тутлеймского яруса характеризуются второй стадией - роста показателей разработки обусловленных освоением новых участков залежей. Обобщая в целом показатели разработки Ем-Ёгского месторождения кратко можно выделить следующее. Проектный фонд эксплуатационных скважин (нефтяных и нагнетательных) пробурен на 90%. Почти в полной мере реализована проектная система размещения скважин на основном объекте ВК1 абалакского яруса. В меньшей степени (на 60%) от проектного фонда пробурено скважин на нижнем объекте ЮК2 тутлеймского яруса, содержащего 9% геологических и 6% извлекаемых запасов нефти. Верхний объект ЮК6 (тюменского горизонта) практически не освоен. В его разработке принимало участие 20% от проектного фонда, ввиду того, что проектными решениями объект должен осваиваться выполнившими свое целевое назначение скважинами абалакского яруса..
Характеристика основных показателей разработки Ем-Ёгского месторождения приведены в таблице 3.
Согласно проектным решениям Технологической схемы разработки 1991 г., эксплуатационный фонд месторождения составляет 968 скважин, в том числе 713 добывающих и 255 нагнетательных. Кроме этого, предусматривались бурение 61 вспомогательной скважины; 50 резервных и 5 разведочных скважин.
Разбуривание месторождения было начато в 1984 г. В первые годы (1984 - 1986 гг.) месторождение эксплуатировалось 20-45 скважинами. Максимальные объемы ввода скважин приходятся на 1985-1988 гг., когда в эксплуатацию была введена 621 новая скважина. В 2007-2014 гг. новые скважины в эксплуатацию не вводились.
С начала освоения месторождения в добыче нефти участвовали 868 скважин, закачка воды осуществлялась в 180 скважин, из которых 179 первоначально отрабатывались на нефть. Таким образом, в целом проектный эксплуатационный фонд реализован почти полностью - на 90%. Под закачкой находилось 70% от проектного числа нагнетательных скважин.
По состоянию на 01.01.2014 на месторождении пробурено 916 скважин (24
разведочных), в том числе, согласно проектному назначению, 637 добывающих, 243
нагнетательных и 36 специальных. Характеристика пробуренного фонда скважин по
объектам месторождения и в целом представлена в таблице 4.
Таблица 4 - Характеристика фонда скважин Ем-Ёгского месторождения по состоянию на 01.01.2014г
|
Наименование |
Характеристика фонда скважин |
Месторождение |
||||
|
|
|
ВК 1 |
ВК 2 |
Юк 2 |
Вк 3 |
Юк 4 |
|
Фонд добывающих скважин |
Пробурено |
8 |
584 |
1 |
42 |
|
|
|
из них разведочные |
8 |
11 |
|
3 |
|
|
|
Возвращено с других горизонтов |
94 |
1 |
|
|
|
|
|
Всего |
102 |
668 |
1 |
42 |
|
|
|
В том числе: |
|
|
|
|
|
|
|
Действующие |
84 |
337 |
|
26 |
|
|
|
из них фонтанные |
|
|
|
|
|
|
|
ЭЦН |
|
103 |
|
2 |
|
|
|
ШГН |
84 |
234 |
|
24 |
|
|
|
Бездействующие |
7 |
60 |
|
6 |
|
|
|
В консервации |
10 |
144 |
|
8 |
|
|
|
Переведены под закачк\- |
|
5 |
|
|
|
|
|
Контрольные, пьезометрические |
1 |
19 |
|
|
|
|
|
Переведены на другие горизонты |
|
94 |
|
1 |
|
|
|
Ликвидированные |
|
7 |
|
1 |
|
|
|
Пеоеведены в водозаборные Гспециальный бонд4) |
|
2 |
1 |
|
|
|
Фонд нагнетательных скважин |
Пробурено |
|
243 |
|
|
|
|
|
ВозЮК 2ащено с других горизонтов |
3 |
|
|
|
|
|
|
Переведены из других категорий фонда |
|
4 |
|
|
|
|
|
Всего |
3 |
247 |
|
|
|
|
|
В том числе: |
|
|
|
|
|
|
|
Под закачкой |
3 |
138 |
|
|
|
|
|
Бездействующие |
|
13 |
|
|
|
|
|
В консервации |
|
|
|
|
|
|
|
В отработке на нефть |
|
83 |
|
|
|
|
|
Переведены на другие горизонты |
|
3 |
|
|
|
|
|
Ликвидированные |
|
10 |
|
|
|
|
Фонд специальных скважин |
Пробурено |
1 |
14 |
|
4 |
1 |
|
|
Переведены из других категорий фонда. |
|
4 |
1 |
|
|
|
|
ВозЮК 2ащено с других горизонтов |
|
|
5 |
|
|
|
|
Всего |
1 |
18 |
6 |
4 |
1 |
|
|
В том числе: |
|
|
|
|
|
|
|
Контрольные; пьезометрические |
|
15 |
|
|
|
|
|
Переведены под закачкч- |
|
1 |
|
|
|
|
|
Переведены на другие горизонты |
1 |
|
|
4 |
|
|
|
Поглашаюшие |
|
|
6 |
|
1 |
|
|
Водозаборные |
|
2 |
|
|
|
|
|
Ликвидированные |
|
|
|
|
|
|
Всего |
Пробурено |
9 |
841 |
1 |
46 |
1 |