ФЕДЕРАЛЬНОЕ АГЕНТСТВО ЖЕЛЕЗНОДОРОЖНОГО ТРАНСПОРТА Федеральное государственное бюджетное образовательное учреждение высшего профессионального образования «ПЕТЕРБУРГСКИЙ ГОСУДАРСТВЕННЫЙ УНИВЕРСИТЕТ ПУТЕЙ СООБЩЕНИЯ Императора Александра I
Кафедра «ИНФОРМАТИКА И ИНФОРМАЦИОННАЯ БЕЗОПАСНОСТЬ»
Дисциплина «Информатика»
Отчёт
по лабораторной работе №2
«СТРУКТУРА СЛЕДОВАНИЕ»
ВАРИАНТ 13
|
|
|
|
|
|
|
|
|
|
|
|
|
|
|
|
Выполнила студентка |
%%% |
|
Факультет: АИТ |
|
|
Специальность: АС-708 |
|
|
Номер зачётной книжки: 01-708-13 |
|
|
Проверил профессор: |
А.И. Дергачёв |
ЗАДАНИЯ К ЛАБОРАТОРНОЙ РАБОТЕ №2
1 «Структура Следование»
Вариант 13
|
1. |
|
|
|
|
|
|
|
|
|
|
2. На высоте конуса, как на диаметре, описан шар. Найти объем части шара, заключенной внутри конуса, если высота конуса Н, а угол при вершине его осевого сечения равен 2L:
,
если Н = 10 см; L = 0,35 рад.
|
|
fi=5,5E-1 |
|
|
n=3,7E3 |
|
|
|
|
|
a=1+b^2 |
|
|
y=log(Ctg(x))\Exp (x) |
|
|
H=(b+ Cos(x))^(1\3) |
Словесное описание задачи:
Найти объем части шара, заключенной внутри конуса, если высота конуса Н, а угол при вершине его осевого сечения равен 2L.
2.2.Описание постановки задачи:
Состав входных и выходных данных:
Входные данные:
L- переменная вещественного типа
H- переменная вещественного типа
Выходные данные:
V-переменная вещественного типа
2.3 Математическое описание задачи:

2.4 Схема алгоритма решения задачи:
1
2 3 Начало
L,
H

V
Конец
2.6.Выполнение проекта

1.
где x=lg(b)
2
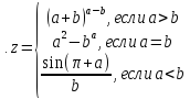
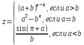
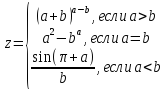
Где постоянная π=3,14; a,b- переменные целого типа. При решении контрольных примеров переменным присвоить значения:
1)a=13; b=2; 2)a=3; b=3; 3) a=2; b=5.
1. Постановка задачи №1
1.1 Словесное описание задачи:

x=lg(b)
1.2 Описание постановки задачи:
Выходные данные: X-переменная целого типа Y-переменная вещественного типа W1= «учебная группа»- текстового типа W2= «ФИО»- текстового типа Data= «data»- текстового типа
Входные данные: b- переменная целого типа W1= «учебная группа»- текстового типа W2= «ФИО»- текстового типа Data= «data»- текстового типа
1.3 Разработка математической
модели
x=lg(b)
N b X=lg(b) x>0 Y= да нет начало

N=I W1,
W2, Data да

нет
Y=

Y
I<N 1 да
W1,
W2, Data
нет
Конец
1.5 Программный код
Private Sub Command1_Click()
Dim x as Integer, b as Integer, y as Double Dim N as Integer, I as Integer Dim W1 as string, W2 as string, Data as string
N= InputBox (“Сколько решается контрольных примеров? N=») 1: I= InputBox(“Укажите порядковый номер решаемого примера I=”) If i=n Then W1=InputBox(«Укажите учебную группу») W2=InputBox(«ФИО») Data=InputBox(«Укажите дату») b= InputBox(«Введите значение b») x=log(b)
If x>0 Then y=x/(2)^x Else y=x+b
End If Print «Y=»;Format (y,«###»)
If I<N Then Go To 1: Print «Исполнил студент»; W1; Tab(48); W2 Print Data End sub
1.6. Выполненение проекта
2Постановка задачи №2

2.2 Описание постановки задачи:
Состав входных и выходных данных: Выходные данные: a-переменная целого типа b-переменная целого типа z-переменная вещественного типа x1= «3.Результаты решения контрольных примеров на ПК»- текстового типа, x2= «1.Значения данных для всех примеров:»- текстового типа, x3= «-исходных постоянных:»:- текстового типа, x4= «-исходных переменных:»:-текстового типа, x5= «-искомая величина:»- текстового типа, x6= «Учебная группа»-текстового типа, W1= «учебная группа»- текстового типа, W2= «ФИО»- текстового типа, Data= «data»- текстового типа.
Входные данные:
a-переменная целого типа b-переменная целого типа W1= «учебная группа»- текстового типа, W2= «ФИО»- текстового типа, Data= «data»- текстового типа
2.3 Разработка математической модели:

2.4 Составление схемы алгоритма:
начало
Pi=3,14,
n
i,
a,b i=n


Да
n W1,
W2, Data x1,
x2, x3, x4, x5, x6 a>b a=b i=1 x1,
x2, x3, Pi, a, b, Z x4,
x5, x6, a, b, Z i>1 W1,
W2, Data конец 1 Нет Да Нет Да Нет Да Нет Да Нет


