5.2 По критерию Рауса
Этот критерий представляет собой систему неравенств, составленных по особым правилам из коэффициентов характеристического уравнения замкнутой САУ.
Критерий Рауса требует несколько меньшего объема
вычислений, чем критерий Гурвица и более удобен для программирования на ЭВМ.
Для суждения об устойчивости системы по этому критерию необходимо составить
таблицу Рауса.
Табл.2. метод Рауса.
В первой строке таблицы записывают коэффициенты
характеристического уравнения, имеющие четные индексы в порядке их возрастания.
Во второй строке таблицы записывают коэффициенты с нечетными индексами в
порядке их возрастания. В последующие строки вписывают коэффициенты,
определяемые как:
Условия устойчивости Рауса: чтобы САУ была устойчивой необходимо и достаточно, чтобы все коэффициенты первого столбца таблицы Рауса имели один и тот же знак, то есть были положительными. Если не все коэффициенты первого столбца таблицы Рауса положительны, то есть САУ неустойчива, число правых корней характеристического уравнения равно числу перемен знака в первом столбце таблицы Рауса.
Характеристическое уравнение системы имеет вид:
Табл.3. таблица Рауса.
Табл.4. Расчет по методу Рауса
|
|
|
1 |
2 |
3 |
4 |
|
|
1 |
0.245 |
16.65 |
2.84 |
1 |
|
|
2 |
4.41 |
245.2 |
0.16 |
0 |
|
0.6 |
3 |
4.9 |
2.83 |
1 |
0 |
|
0.9 |
4 |
242.65 |
-0.74 |
0 |
|
|
0.02 |
5 |
2.84 |
1 |
0 |
|
|
85.44 |
6 |
-86.18 |
0 |
|
|
Вывод: разомкнутая система не устойчива, т.к. не все коэффициенты первого столбца таблицы РАУСА положительны и меняют свой знак, число правых корней 1.
6. Построение желаемой амплитудной характеристики по показателям переходного процесса
.1 Желаемая ЛАЧХ
Желаемая логарифмическая амплитудно-частотная
характеристика формируется исходя из заданных требований к системе по точности
и качеству переходного процесса. Точность задается значениями установившихся
ошибок, а качество переходного процесса - величиной перерегулирования и
временем регулирования. Построение ведется по методу В.В Солодовникова и
начинается с выбора одного из 4 вариантов ЛАЧХ. Исходные данные:
-
величина перерегулирования
- время
регулирования переходного процесса
Наиболее близким к исходной ЛАЧХ является тип 4.
По номограммам определяем wср
при
![]()
Графически определяем частоту w2:
На частоте w = 1 c-1 определяем ординату, cравниваем коэффициент усиления желаемой ЛАЧХ с исходной ЛАЧХ:
Вывод: построенная ЛАЧХ удовлетворяет требованиям: коэффициент усиления увеличился.
.2 Желаемая ЛФЧХ
Передаточная функция системы, имеющей
построенную желаемую ЛАЧХ имеет вид:
Логарифмическая фазочастотная характеристика для
желаемой ЛАЧХ:
Построение желаемой ЛФЧХ будем проводить для
отдельных звеньев, входящих в передаточную функцию, затем суммировать и
получать итоговую ЛФЧХ системы. Формула для фазовой характеристики будет иметь
вид:
w
Табл.5. Расчет желаемой ЛФЧХ
|
w |
0.1 |
1 |
10 |
50 |
100 |
500 |
1000 |
5000 |
10000 |
|
|
-74 |
-64 |
-91 |
-111 |
-133 |
-216 |
-242 |
-264 |
-267 |
7. Построение графика
вещественного процесса
Устойчивость является необходимым, но не достаточным условием технической пригодности системы. Помимо устойчивости к переходному процессу представляют требования, обуславливающие его так называемые качественные показатели. Для определения качественных показателей выбранной САУ необходимо построить график переходного процесса
Все многообразие переходных процессов в САУ можно разделить на:
1. Колебательный процесс, характеризуемый несколькими значениями перерегулирований (кривая 1)
. Малоколебательный процесс (апериодический), т.е. переходной процесс с одним перерегулированием (кривая 2)
. Монотонный процесс (кривая 3), когда
скорость изменения регулируемой величины не меняет знака в течение всего
времени
Передаточная функция имеет вид:
Табл.6. Точки выбранные на ЛАЧХ и спроектированные на ЛФЧХ.
|
|
32 |
22 |
18 |
11 |
8 |
0 |
-5 |
-10 |
-20 |
-32 |
|
|
-74 |
-85 |
-93 |
-101 |
-112 |
-125 |
-135 |
-173 |
-218 |
-230 |
Затем используем монограмму Солодовникова, Лист 3. Находим все необходимые данные.
|
|
0.975 |
0.925 |
0.9 |
0.8 |
0.7 |
0.6 |
0.5 |
0.4 |
|
|
15.5 |
18.6 |
31.1 |
35.4 |
39.8 |
44.6 |
50.1 |
56.2 |
|
|
0.3 |
0.2 |
0.1 |
0.05 |
0 |
-0.05 |
-0.1 |
-0.3 |
|
|
63 |
70.8 |
79.4 |
89.1 |
100 |
112.2 |
125.9 |
141.2 |
|
|
-0.5 |
-0.5 |
-0.3 |
-0.1 |
-0.05 |
|
|
|
|
|
158.5 |
199.5 |
251.2 |
281.8 |
354.8 |
|
|
|
8. Построение графика
переходного процесса
Табл.8. Данные подобранные с таблицы Иващенко, а также расчет переходного процесса.
|
|
0 |
1 |
2 |
3 |
4 |
5 |
10 |
15 |
|
|
0 |
0.4315 |
0.7853 |
1.013 |
1.1102 |
1.1117 |
0.9906 |
|
|
|
0 |
0.172 |
0.314 |
0.405 |
0.444 |
0.445 |
0.396 |
0.396 |
|
|
20 |
25 |
30 |
36 |
|
|
|
|
|
|
1.0039 |
0.0039 |
0.9992 |
1.0028 |
|
|
|
|
|
|
0.401 |
0.399 |
0.399 |
0.4 |
|
|
|
|
Табл.9. Данные подобранные с таблицы Иващенко, а также расчет переходного процесса.
|
|
0 |
1 |
2 |
3 |
4 |
5 |
10 |
15 |
|
|
0 |
0.4611 |
0.8314 |
1.0606 |
1.141 |
1.1173 |
0.9819 |
1.0048 |
|
|
0 |
0.496 |
0.894 |
1.14 |
1.227 |
1.2 |
1.056 |
1.08 |
|
|
20 |
25 |
30 |
36 |
|
|
|
|
|
|
0.995 |
0.9995 |
1.0034 |
0.9993 |
|
|
|
|
|
|
1.07 |
1.074 |
1.08 |
1.074 |
|
|
|
|
Табл.10. Сумма данных подобранных с таблицы Иващенко, а также расчет переходного процесса.
|
|
1 |
2 |
3 |
4 |
5 |
10 |
15 |
|
|
|
0 |
0.668 |
1.208 |
1.545 |
1.671 |
1.645 |
1.452 |
1.476 |
|
|
20 |
25 |
30 |
36 |
|
|
|
|
|
|
1.471 |
1.473 |
1.479 |
1.474 |
|
|
|
|
9. Построение корректирующего
устройства
Все реальные системы содержат нелинейные и инерционные звенья. Это приводит к запаздыванию или искажению сигнала. С целью устранения этих недостатков используются корректирующие устройства. Они обычно выполняют математические операции: сложение, умножение, дифференцирование и т.д., - или их комбинации. Устанавливаются они последовательно, параллельно и в виде дополнительных обратных связей.
Дифференцирующие звенья используются для введения производных от сигнала в закон управления и регулирования.
Пассивные дифференцирующие звенья» осуществляют коррекцию путем подавления низких частот. Недостатком звена является уменьшение коэффициента усиления системы в 1/9 раза; звено (изодромное) также может служить целям дифференцирования. Пассивное интегрирующее звено» подавляет верхние частоты, что уменьшает быстродействие системы.
Интегрирующее - дифференцирующее звено позволяет компенсировать недостатки, присущие другим звеньям.
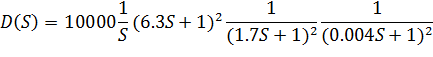
Мы выбрали желаемое и ЛАЧХ и с помощью него подбираем корректирующее устройство.
Для нашей системы применяем данные
корректирующие устройства:
Наносим корректирующее устройство на график. Находим усилительное звено.
Подключены 4 устройства, для того, что
нейтрализовать предыдущий наклон. В 1 устройстве наклон +20 Дб/дек от 0.01 Гц
до 0.7 Гц. Затем подключаем 2 устройство, оно работает от 1.8 до 10Гц. 3
подключаем, работает от 10 до 240 Гц. Подключаем 4 устройство, оно работает от
240 до 1000 Гц.