Материал: Силовой расчет механизма

Внимание! Если размещение файла нарушает Ваши авторские права, то обязательно сообщите нам

Силовой расчет механизма

Содержание

1. Структурный анализ механизма

. Синтез кинематической схемы механизма

. Построение планов положения механизма

4. Кинематический анализ механизма

.1 Построение планов скоростей механизма

.2 Построение плана ускорения механизма

.3 Построение кинематических диаграмм

. Силовой расчет механизма

. Проектирование планетарного механизма и зубчатой передачи 2

.1 Подбор чисел зубьев в планетарном редукторе

.2 Изображение схемы редуктора

.3 Проектирование зубчатой передачи

.4 Построение картины зацепления

Литература

механизм скорость ползун


Исходные данные для проектирования и исследования

Наименование параметра

Обозначение параметра

Величина

Обозначение единиц измерения

Частота вращения кривошипа ОА1

n1

8500

об/мин

Угол развала осей

γ

90°

град.

Диаметр цилиндров

Dц3 =Dц5

76

Мм.

Коэффициент неравномерности движения

 δ

1/80


Передаточное отношение

U5,6

1.5


Отношение длины шатуна к длине кривошипа

α=

0.200


Модуль

m

10

мм.

Число зубьев шестерни

Z5

13


Частота вращения эл.двигателя

nэ.д

1435

об/мин

Частота вращения кривошипа

nк.р

2000

об/мин

Отношение площади поршня к диаметру поршня

0.900



.Центры масс шатунов S2 и S4 находятся из условия: AS2=AS4=lAB×0.35.

2.Кривошип уравновешен, его весом пренебречь.

. Радиус инерции шатуна ρи2=0.17×l2

.G3=(0.3…0.35)G2

. G2=l(м)×90(H/м)

.G1=2× G2

1. Структурный анализ механизма



2. Степень подвижности механизма



где    n = 5 - число подвижных звеньев

 = 7 - число кинематических пар пятого класса

 = 0 - число кинематических пар четвёртого класса





3. Построение планов положений механизма

Масштаб схемы:

μl== =0.00171 м/мм.

Rкр.= =20мм.

В принятом масштабе вычерчиваю схему механизма. Для построения 12 положений звеньев механизма разделяю траекторию, описываемую точкой А кривошипа О1А на 12 равных частей. За первое принимаю то положение кривошипа О1А при котором точка В правого поршня занимает крайнее высшие положение.

На линии хода поршня 3 из точек А1,А2…….А12 откладываю отрезки А1В1…..А12В12 равные 100мм.Так же на линии хода поршня 5 откладываю линии А1С1……А12С12.

4. Кинематический анализ механизма

.1 Построение плана скоростей

Построение начинаю от входного звена, т.е кривошипа О1А. Из точки Р, принятой за полюс плана скоростей, откладываю в направлении вращения (перпендикуляр)кривошипа О1А вектор скорости точки А: Рv=30 мм.

Построение плана скоростей группы Ассура 2класса 2-го вида (звеньев 2 и 3) произвожу по уравнению:

А2В2В3


где  - скорость точки А кривошипа О1А. Её величина:

 =ω1×lОА=889.6×0.0342=30,42м/с.

- скорость точки В звена 2 во вращательном движение относительно точки А направлена перпендикулярно оси звена АВ.

-скорость точки В ползуна 3, направлена параллельно оси ОВ.

Из точки а2 провожу линию, перпендикулярную оси звена АВ, а из полюса Рv плана скоростей линию, параллельную оси ОВ. Точка в2 пересечение этих линий дает конец вектора искомой скорости.

Построение плана скоростей группы Ассура 2класса 2-го вида (звеньев 4 и 5) произвожу по уравнению:

А4С4С5


- скорость точки С звена 4 во вращательном движение относительно точки А направлена перпендикулярно оси звена АС.

-скорость точки С ползуна 5, направлена параллельно оси ОС.

Масштаб планов скоростей вычисляю по формуле:

 =

Скорости точек S2=S4 определяю по принципу подобия. Так как lAS2=0.35×lАВ и lAS4=0.35×l АС, то и отрезки as2=0.35×ab, as4=0.35×ac. Найденные точки s2 и s4 соединяем с полюсом Р. Истинное значение скоростей каждой точки нахожу по формулам.

 

 

 

 

 

 

Полученные значения свожу в таблицу №1

Определяю угловые скорости шатунов АВ и АС для 12 положений и свожу полученные данные в таблицу №2

;

;

Таблица №1

Значения скоростей точек кривошипно-ползунного механизма в м/с.

Параметр

 Номера положений механизма.


1

2

3

4

5

6

7

8

9

10

11

12

0

17,5

29,0

30,42

23,6

12,8

0

12,8

23,6

29,0

17,5

30,42

26,4

15,4

0

15,4

26,4

30,42

26,4

15,4

0

15,4

26,4

19,5

23,4

29,0

30,42

27,2

22,4

19,5

22,3

27,2

30,42

29,0

23,4

30,42

23,6

12,8

0

12,8

26,3

30,42

29,0

17,5

0

17,5

29,0

0

15,4

26,4

30,42

26,4

15,4

0

15,4

26,4

30,42

26,4

15,4

30,42

27,2

22,4

19,5

22,3

28,1

30,42

29,0

23,4

19,5

23,4

29,0


Таблица №2

Значение угловых скоростей шатунов АВ и АС в рад/с.

Параметр


1

2

3

4

5

6

7

8

9

10

11

12

177,8

154,3

90

0

90

154,3

177,8

154,3

90

0

90

154,3

0

90

154,3

177,8

154,3

90

0

90

154,3

177,8

154,3

90


.2 Построение планов ускорений механизма

 Построение плана ускорений рассматриваю для 3-го положения механизма. Так как кривошип О1А вращается с постоянной угловой скоростью ω1== =889.6 рад/с, то точка А звена О1А будет иметь только нормальное ускорение, величина которого равна:

аА= аn АО=×lAO = 889.62×0.0342=27065.47 м/с2,

Определяю масштаб плана ускорений.

μа=аА/πа=27065,47/120=225,5(м/с2)/мм.

где πа=120мм- длина отрезка, изображающего на плане ускорений вектор нормального ускорения точки А кривошипа О1А.

Из произвольной точки π- полюса плана ускорения провожу вектор  параллельно звену О1А от точки А к точке О1. Построение плана ускорений группы, Ассура 2 класса 2-го вида (звеньев 2,3) провожу согласно уравнению:

В=,

где В-ускорение ползуна 3, направленное вдоль оси ОВ;

- нормальное ускорение точки В шатуна АВ при вращении его вокруг точки А, направленно вдоль оси звена АВ от точки В3 к точке А3.

= =

=90,22×0,171=1391,2 м/с2

Его масштабная величина, обозначим её через nВА, равна:

nВА= μа=1351,4/225,5=6 мм.

-касательное ускорение точки В шатуна АВ при вращении его вокруг точки А (величина неизвестна) направлено перпендикулярно к оси звена АВ.

Из точки а вектора  плана ускорений провожу прямую, параллельно оси звена ВА, и откладываю на ней в направлении от точки В3 к точки А3 отрезок nВА=6 мм. Через конец вектора nВА провожу прямую, перпендикулярную к оси звена ВА произвольной длины. Из полюса π провожу прямую, параллельную оси ОВ. Точка b пересечения этих прямых определит концы векторов b и ВА. Складывая векторы nВА и ВА, получаем полное ускорение звена АВ, для этого соединяем точки а и b прямой. Точку S2 на плане ускорений находим по правилу подобия, пользуясь соотношением отрезков. Так как АS2=0.35AB, то и аs2=0.35ab=0.35×105=36.75 мм. Соединяем точку S2 с полюсом π.

Аналогично провожу построение для шатуна АС ползуна 5, пользуясь следующим векторным уравнением:

С=,

где С-ускорение ползуна 5, направленное вдоль оси ОС;

- нормальное ускорение точки С шатуна АС при вращении его вокруг точки А, направленно вдоль оси звена АС от точки С3 к точке А3.

= =

=1542×0,171=4064,6 м/с2

Его масштабная величина, обозначим её через nСА, равна:

nСА= μа=4064,6/225,5=18 мм.

-касательное ускорение точки С шатуна СА при вращении его вокруг точки А (величина неизвестна) направлено перпендикулярно к оси звена АС.

Из точки а вектора  плана ускорений провожу прямую, параллельно оси звена СА, и откладываю на ней в направлении от точки С3 к точки А3 отрезок nВА=18 мм. Через конец вектора nВА провожу прямую, перпендикулярную к оси звена СА произвольной длины. Из полюса π провожу прямую, параллельную оси ОС. Точка b пересечения этих прямых определит концы векторов b и СА. Складывая векторы nСА и СА, получаем полное ускорение звена АС, для этого соединяем точки а и b прямой. Точку S4 на плане ускорений находим по правилу подобия, пользуясь соотношением отрезков. Так как АS4=0.35AС, то и аs4=0.35ab=0.35×105=36.75 мм. Соединяем точку S4 с полюсом π.

Численные значения ускорений точек В,С,S4, S2, а также касательные ускорения  найдем по формулам:

 μа=48×225.5=10824м/с2;

 μа=91.2×225.5=20565.6м/с2;

 μа=87.61×225.5=19756м/с2;

 μа=106.8×225.5=24083.4м/с2;

 μа=104.4×225.5=23542.2м/с2;


Определяю величины угловых ускорений звеньев АВ и АС:


Определяю направление углового ускорения звена АВ. Для этого мысленно переносим вектор  в точку и В3. Считая точку А3 неподвижной, замечаем, что поворот звена АВ будет по часовой стрелке. для звена АС переносим вектор  в точку С3. Видим, что угловое ускорение направлено так же по часовой стрелке.

.3 Построение кинематических диаграмм точки В ползуна 3

Диаграмма перемещения.

Для построения диаграммы перемещения точки В откладываю по оси абсцисс отрезок l=120 мм. изображающий период Т одного оборота кривошипа и делим его на 12 равных частей. От точек1,2….12 диаграммы s(t) откладываем ординаты 1-1,2-2…….12-12, соответственно равные расстояниям В1-В2,В1-В3…….В1-В12 проходимые точкой В от начала отсчета.

Вычисляю масштаб диаграммы перемещения:


Диаграмма скорости.

Строится графическим дифференцированием графика перемещения по методу хорд. Он заключается в следующем. Криволинейные участки графика s (t) заменяем прямыми 0-1*, 1*- 2* ... 11*-12*. Под графиком перемещения проводим прямоугольные оси ϑ и t. На оси t выбираем полюсное расстояние К1 =15 мм. Из полюса р проводим наклонные прямые p-1’ , p-2’…p-12’, параллельные хордам 0-1*, 1*-2* ... 12*- 0. Из середины интервалов 0-1, 1-2 ... 12-0 диаграммы ϑ (t) проводим перпендикуляры к оси t (штриховые линии). Из точек 1’ , 2' ... 12' проводим прямые, параллельные оси t .Точки пересечения соединяем плавной кривой. Масштаб диаграммы скорости вычисляем по формуле


Диаграмма ускорения. Строится графическим дифференцированием диаграммы скоростей. Все построения аналогичны ранее описанным при графическом дифференцировании диаграммы перемещения. Масштаб диаграммы ускорения равен:



5. Силовой расчет рычажного механизма

.1 Определение сил давления газов на поршень

На листе 2 построен план механизма для 3-го положения в масштабе  = 0.00171 м/мм. На перемещениях поршней 3 и 5 построены индикаторные диаграммы давления газов на поршни для левого и правого цилиндров. Так как двигатель 4-тактный, то динамический цикл у него совершается за 2 оборота кривошипа О1А, а поскольку V-образный, то цикл в левом цилиндре сдвинут по отношению к правому на 270°. В моём примере для 3-го положения в левом цилиндре идет процесс всасывания, в правом - расширения. По условиям задания принимаю р5 = 0 Па. В правом цилиндре оно равно р3= 3,6 МПа. Тогда силы давления газов на поршень будут равны:

в левом цилиндре Р5=р5π = 0 ×3,14 ×0,03422= 0 Н;

в правом цилиндре P3=p3????R2 = 3,6 ×10б ×3,14 × 0,03422 = 13228.3 Н.

.2      Определение сил тяжести звеньев

G2 =G4=l×90 = 0,171×90 = 15.39 H.

G3 = G5 =(0.3…0.35)× G2=0.3 ×15.39 =4.6 H.

G1=2× G2=30.78 H.

G2 =G4=l×90; G3 = G5 =(0.3…0.35)× G2; G1=2× G2- по заданию.

m2=m4= G2/g=15.39/9.8=1.57кг.

m3=m5= G3/g=4.6/9.8=0.471кг.

m1= G1/g=30.78/9.8=3.140кг.

.3      Определение сил инерции звеньев

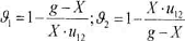
U2=-m2 ×S2 = -1.57×19756 = -31016 Н.

U2= -IS2×2 = -0.0078 ×  = -1073.8 Н × м.

IS2= IS4=0.17×m2,4×l2=0.17×1.57×0.1712=0.0078 кг× м2

U3==-m3 ×B =- 0.471×10824= -5098 Н.

U4==-m4 ×S4 =- 1.57×24083.4= -37810 Н.

U4= -IS4×4 = -0.0078 ×  = -619.2 Н × м.

U5==-m5 ×C =- 0.471×20565.6= -9686.4 Н.

Прикладываем силы инерции и моменты к звеньям механизма. Силу FU2 прикладываем в точку S2, силу FU5 - в точку В, силу FU4 - в точку S4 и Fu5- в точку С. Направляем их параллельно и противоположно своим ускорениям. Моменты U2 и U4 от пар сил инерции направляем противоположно угловым ускорениям 2 и4.

Производим замену силы инерции FU2 и момента от пары сил инерции MU2 шатуна АВ одной результирующей силой U2 равной FU2 по величине и направлению, но приложенной в точке Т2 звена АВ или на его продолжении. Для этого вычисляем плечо HU2.

HU2=мм.

HU4=мм.

.4 Определение реакции в кинематических парах групп Ассура II класса

-го вида.

Как было указано выше, определяю реакций в многозвенном механизме начинаю с группы Ассура, наиболее удаленной по кинематической цепи от входного звена. Но в моем примере силовой анализ можно начать с любой группы Ассура, так как они соединены не последовательно, а параллельно. Начинаю определение реакций в звеньях 2, 3. Приложу к этим звеньям все известные силы: G2,U2, G3,U3,3. Действие звена 1 и стойки 6 заменяем неизвестными реакциями R12 и R63 . Реакцию 1,2 для удобства вычислений раскладываю на 2 составляющие: - по оси 2 и -перпендикулярно оси звена. R63 - реакция со стороны стенки цилиндра на поршень 3, направлена она перпендикулярно оси цилиндра. Вначале определяем величину реакции -из суммы моментов всех сил, действующих на звено 2, = 0:

-×BA+U2’×hu2+G2×hG2=0,

=

Реакции и 63 определяю из построения силового многоугольника, решая векторное уравнение равновесия звеньев 2, 3:

U2 +U3+ 3 +3 +2+63=0

 Построение плана сил. Из произвольной точки а в масштабе F=250 Н/мм откладываем последовательно все известные силы:U2 ,U3, 3 ,3 ,2, переносящих параллельно самим себе в плане сил. Далее через конец вектора  проводим линию, перпендикулярную оси цилиндров ОВ до пересечения с прямой, проведенной из точки а параллельно оси звена АВ. Точка пересечения этих прямых определит модули реакций  и63 . Так как силы тяжести 2 и 3 в масштабе F=250Н/мм получаются меньше 1 мм, мы их не откладываем. Итак,

F=30.55×250=7637.5 H.

63 =63F=16.32×250=4080 H.

12=12F=91.88×250=22970 H.

Аналогично определяем реакции и в другой группе Ассура, состоящей из звеньев 4, 5. Прикладываем к звеньям 4, 5 все известные

Приложу к этим звеньям все известные силы: G4,U4, G5,U4,5. Действие звена 1 и стойки 6 заменяем неизвестными реакциями R14 и R65 . Реакцию 1,4 для удобства вычислений раскладываю на 2 составляющие: - по оси 2 и -перпендикулярно оси звена. R65 - реакция со стороны стенки цилиндра на поршень 5, направлена она перпендикулярно оси цилиндра. Вначале определяем величину реакции -из суммы моментов всех сил, действующих на звено 2, = 0:

-×CA+U4’×hu4-G4×hG4=0,

=

Реакции и 65 определяю из построения силового многоугольника, решая векторное уравнение равновесия звеньев 4, 5:

U4+U5+ 3 +5 +4+ 65=0.

Построение плана сил. Из произвольной точки а в масштабе F=250 Н/мм откладываем последовательно все известные силы:U4 ,U4, 4 ,5 ,4, переносящих параллельно самим себе в плане сил. Далее через конец вектора  проводим линию, перпендикулярную оси цилиндров ОC до пересечения с прямой, проведенной из точки а параллельно оси звена АC. Точка пересечения этих прямых определит модули реакций  и65 . Так как силы тяжести 4 и 5 в масштабе F=250Н/мм получаются меньше 1 мм, мы их не откладываем. Итак,

F=109.21×250=27302.5H.

65 =65F=29.50×250=7375 H.

14=14F=130.5×250=32625 H.

5.5 Силовой расчет входного звена

Прикладываем к звену 1 в точке А силы -14=41,-12=21, а также пока еще не известную уравновешивающую силу Fy, направив ее предварительно в произвольную сторону, перпендикулярно кривошипу О1А. Так как центр масс S1 совпадают с точкой О1, то U1 =0, а ω1=const,

то и U1=0. Вначале из уравнения моментов всех сил относительно точки О определяем Fy :

-Fy×OA+R41×hu41-R21×hu21=0,

откуда :

Fy=

В шарнире О1 со стороны стойки 6 на звено 1 действует реакция 61, которую определяем построением многоугольника сил согласно векторному уравнению  Откладываю последовательно 3 известные силы  в масштабе μF=500 H/мм. Соединив начало  с концом , получим реакцию


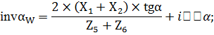
.6 Определение уравновешивающей силы по методу Н.Е. Жуковского

Строим для положения 3 в произвольном масштабе повернутый на 90° план скоростей. В одноименные точки плана переносим все внешние силы, действующие на звенья механизма. Составляем уравнение моментов всех сил относительно полюса Р плана скоростей , беря плечи сил по чертежу в мм. =0.2535 ==


Расхождение результатов определения уравновешивающей силы методом Жуковского и методом планов сил равно:

∆=(4086,9-4269,4)/4269,4=0,042×100%=4,2%

6. Проектирование планетарного механизма и зубчатой передачи

.1 Подбор чисел зубьев в планетарном редукторе

Дано:

m=10

Z5=13

U5,6=1.5

nэ.д.=1435 об/мин.

nкр.=2000 об/мин.

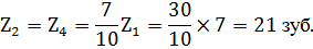
Находим количество зубьев Z6.

U5,6=;

Z6=Z5× U5,6=13×1.5=19.5≈20 зуб.

Определяем общее передаточное отношение:

Uоб.= Uред.× U5.6=

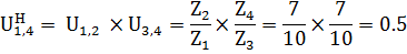
Uред.= Uоб./ U5.6=0.71/1.5=0.47≈0.5

-передача от водила (Н) к колесу 1 при заторможенном колесе 4.

 Uред.==0,5

Используем принцип обращенного движения.

Сущность принципа:

Условно затормаживаем водило и осуществляем передачу через Z4.

 

Преобразовываем угловые скорости.

;

;

;

=0;


Делим на две ступени:


Правильно рассчитанный редуктор должен удовлетворять 3 условия.

-Условие сносности:

;

;

 ;

Принимаю

Проверяем соблюдении саосности:

30+21=21+30.Условие выполняется.

-Условие соседства. По условию соседства подбираем число сателлитных блоков.


= принимаю 3 сателлитных блока.

-Условие сборки (число должно быть целое).


6.2 На листе №4 выполняю изображение схемы планетарного редуктора

для чего высчитываю радиусы колес а затем масштаб:

r=;=r3==r4=5=

r6=

Нахожу масштаб:


Переведя все радиусы колес в масштаб вычерчиваю редуктор.

.3 Проектирование зубчатой передачи

(геометрический расчет).

Задано: =13,,=10мм.

Подсчитываем передаточное отношение по формуле:


Получаем что 2>. Теперь по таблице Кудрявцева согласно числу зубьев  находим коэффициенты относительного смещения

Определяем инволюту угла зацепления по формуле:


где α - угол профиля рейки, равен 20°, tg20°=0,364; inv α- эвольвентная функция 20°=0,014904. Подставляем данные:


Теперь определяем по таблице по числу  определяем угол

Определяем межосевое расстояние  передачи.

Определяем радиусы основных окружностей


Определяем радиусы окружностей вершин ,.

=65+(1+0.676-0.16)×10=80.16

=100+(1+0.389-0.16)×10=112.29

где ∆у- коэффициент уравнительного смещения при , ∆у=0.16.

Определяем радиусы окружностей впадин :

=65- (1+0,25-0.676)×10=59,26

=100- (1+0,25-0,389)×10=91,39

Определяем шаг по делительной окружности рt:

рt=π×m=3.14×10=31.4 мм.

Определяем углы профилей зубьев по окружностям вершин:


Определяем коэффициент перекрытия :

∆y=(+)-∆a=(0.676+0.389)-0.9=0.16

∆a=

6.4 Построение картины зацепления.

Проводим линию центров и откладываем в выбранном масштабе межосевое расстояние aw =173,92 Из точек О1 и 02 проводим начальные окружности rW1 u rW2. Они должны касаться друг друга на линии центров. Точка касания - полюс зацепления р. Через точку р проводим общую касательную Т- Т. Проводим линию зацепления N - N под углом aw = 27° к линии Т-Т. Проводим основные окружности радиусами rb1 и rb2.

Проверка: эти окружности должны касаться линии N - N (но не пересекаться). Точки касания обозначим через N1 и N2 . Отрезок N1 и N2-теоретическая линия зацепления. Делим отрезки N1-p u N2-p на равные части (на четыре) и строим эвольвенты для обоих колес. Для этого от точки N1 откладываем на основной окружности хорды N1 - 3', 3'- 2', 2'- 1', 1'- 0, соответственно равные отрезкам N'- 3, 3 - 2, 2-1, 1-р. Соединяем точки1', 2' т. д. с точкой O1 к линиям O11', O2 2' и т. д. , проводим перпендикуляры, на которых откладываем такое количество отрезков, какой номер перпендикуляра. Например, перпендикуляр 2', значит два отрезка. Построение эвольвенты для второго колеса аналогичное.

Далее проводим окружности: делительные, вершин и впадин. Точки пересечения окружностей вершин с теоретической линией зацепления дадут отрезок аb - практическую линию зацепления.

От полюса p по делительным окружностям откладываем шаг зацепления pt=31,4мм и толщины зубьев S1, и S2. Боковые профили остальных зубьев строим по шаблону.

Определяем рабочие участки профилей. Радиусом, равным отрезку O1a, из центра O1, проводим дугу до пересечения с боковым профилем зуба. Точка пересечения является концом рабочего участка профиля зуба малого колеса. Рабочий участок выделен черно-белым цветом. Аналогично определяется рабочий участок для другого колеса.

Строим график удельных скоростей скольжения. Подсчитываем удельные скорости скольженияϑ1, и ϑ2 профилей зубьев по формулам:


где -g длина теоретической линии зацепления. Расчетные данные сводим в таблицу.

 Х

Х=0

Х=8

Х=16

Х=24

Х=32, N1p

Х=40

Х=48

Х=56

Х=64

Х=72

Х=80

θ1

-∞

-5

-1.6

-0.55

0

0.33

0.55

0.71

0.83

0.92

1

θ2

1

0.83

0.62

0.35

0

-0.5

-1.25

-2.5

-5

-12.5

-∞


Масштаб графика удельных скоростей скольжения:



Литература

Артоболевский И.И. Теория механизмов - Москва. «Наука» 1967. 720 с.

Пономарев В.А. Теория механизмов и машин и методическое указание по изучению дисциплины и выполнению курсового проекта - Москва: 1989. 92 с.

Фролов К.В., Попов С.А. Теория механизмов и механика машин. - Москва. «Высшая школа» 1998. 495 с.