Материал: Ремонт металлоконструкций резервуара

Внимание! Если размещение файла нарушает Ваши авторские права, то обязательно сообщите нам

Ремонт металлоконструкций резервуара

1. Общая пояснительная записка

1.1 Краткая характеристика объекта реконструкции


Резервуар РВСП-20000 расположен на территории резервуарного парка ООО Нижневартовкого нефтеперерабатывающего объединения.

Вид строительства - техническое перевооружение.

Проект разработан в соответствии с федеральными и ведомственными нормами, действующими нормативно-техническими документами.

Проектируемый объект - резервуар вертикальный стальной цилиндрический с понтоном РВСП-20000. Проектируемый резервуар входит в состав резервуарного парка действующей нефтеперекачивающей станции, которая является головной станцией и предназначена для приема, хранения и перекачки нефти по системам технологических трубопроводов.

1.1.1 Климатическая характеристика района

Климатическая характеристика района приведена по данным метеостанции Нижневартовска

Климат района работ резко-континентальный.

Климатические параметры холодного периода года:

Температура воздуха наиболее холодных суток составляет минус 58 °С. Температура воздуха наиболее холодной пятидневки минус 46 °С. Абсолютная минимальная температура воздуха - минус 59 °С.

Средняя месячная относительная влажность наиболее холодного месяца составляет 73%. Количество осадков за ноябрь-март - 79 мм.

Преобладающее направление ветра за декабрь-февраль юго-западное.

Среднемесячная относительная влажность воздуха в 1500 часов наиболее холодного месяца - 80%.

Продолжительность периода со средней суточной температурой воздуха <0 °С - 210 дней.

Средняя температура периода со средней суточной температурой воздуха <0 °С - минус 22 °С.

Средняя высота снежного покрова - 26 см.

Климатические параметры теплого периода года:

Средняя максимальная температура воздуха наиболее теплого месяца плюс 22 °С. Абсолютная максимальная температура воздуха плюс 34 °С.

Средняя месячная относительная влажность наиболее теплого месяца - 68%.

Количество осадков за апрель-октябрь - 296 мм.

Средняя месячная относительная влажность в 1500 часов наиболее теплого месяца - 52%.

Преобладающее направление ветра за июль-август северо-западное.

Средняя годовая температура воздуха минус 2 °С.

Согласно карте общего сейсмического районирования (ОСР-97 карты В, С) сейсмическая активность территории составляет 5 баллов шкалы MSK-64, т.е. территория сейсмически неопасная.

Расчетная температура металла основных конструкций подгруппы «А» (РД-23.020.00-КТН-079-09) - минус 39°С

Расчетная температура металла основных конструкций подгруппы «Б» и вспомогательных конструкций (РД-23.020.00-КТН-079-09) - минус 37°С.

1.1.2 Геологические характеристики района

В геологическом строении участка, изученного до глубины 23,0 м, принимают участие неоплейстоценовые покровные элювиально-делювиальные (edQIII) супеси пластичные и суглинки текучепластичной консистенции, подстилаемые с глубины 4,2-4,7 м эоплейстоценовыми озерными тугопластичными глинами кочковской свиты (IQEkč) четвертичной системы, ниже которых с глубины 7,2-8,0 м залегают озерно-болотные глины полутвердой консистенции и суглинки тугопластичные павлодарской свиты (N1-2pv) неогена, вскрытой общей мощностью 15-15,8 м. С поверхности повсеместно природные отложения перекрыты современными техногенными (насыпными) грунтами (tQIV) мощностью 1,4-1.8 м.

Современные техногенные грунты (tQIV) залегают с поверхности на всей территории. Отложения представлены суглинком, c прослоями супеси пластичной. Мощность составляет 1,4 - 1,8 м.

Современные отложения четвертичной системы (pdQIV) представлены почвенно-растительным слоем, встреченным на площадке ПОС мощностью 0,3 м.

Четвертичные неоплейстоценовые покровные элювиально - делювиальные (edQIII) отложения повсеместно залегают под насыпными грунтами и представлены супесями пластичными и суглинками текучепластичными, общей мощностью 2,7-3,0 м.

Четвертичные эоплейстоценовые озерные отложения (IQEkč) кочковской свиты залегают повсеместно под покровными грунтами и представлены глинами тугопластичными мощностью 2,8-3,6 м.

Верхне-нижненеогеновые озерно-болотные отложения павлодарской свиты (N1-2pv) залегают повсеместно под отложениями кочковской свиты и представлены глинами полутвердыми вскрытой мощностью 13,0-14,3 м и суглинками тугопластичными мощностью 1,1-2,4 м, которые залегают в виде прослоя в глинах.

1.1.3 Гидрогеологические характеристики

Подземные воды типа поровых, безнапорных (грунтовых) на период настоящих изысканий (июнь 2011 г.) встречены на глубине 2,2-2,4 м от поверхности земли, на абсолютных отметках 115,65-115,86 м, на участке площадки ПОС подземные воды на январь 2011 г. зафиксированы на глубине 2,4 м от поверхности земли, на абсолютной отметке 114,68 м.

Подземные воды приурочены к элювиально-делювиальным суглинкам текучепластичным (ИГЭ 4-5), супесям пластичным (ИГЭ 5-2) и скоплениям мергеля в толще неогеновых глин. Относительным водоупором являются эоплейстоценовые озерные тугопластичные глины (ИГЭ 3-3) кочковской свиты, кровля которых отмечена на глубине 4,2-4,7 м от поверхности земли, на абсолютных отметках 113,39-113,85 м.

Тип режима подземных вод - междуречный, способ питания, преимущественно, инфильтрационный, за счет инфильтрации атмосферных осадков при их выпадении и таянии снега, в связи с чем уровень подвержен сезонным и годовым колебаниям.

По результатам многолетних наблюдений за режимом подземных вод в аналогичных условиях в разрезе года максимальный уровень подземных вод следует ожидать в мае, минимальный - в сентябре. Средняя годовая амплитуда колебания уровня на данном геоморфологическом элементе составляет 1,2 м.

Установившиеся уровни подземных вод, зафиксированные на период бурения и прогнозируемые в период максимума, с учетом сезонных колебаний (поправка в июне -0,4 м), приведены в таблице 1.1.

Таблица 1.1 - Установившиеся и прогнозируемые уровни подземных вод

Номер скважины

Установившийся уровень на период бурения, м

Прогнозируемый уровень в период максимума, м

Дата замера


глубина

абс. отметка

глубина

абс. отметка


С-20

2,4

115,75

2,0

116,15

16.06.2010 г.

С-21

2,2

115,86

1,8

116,26

17.06.2010 г.

С-22

2,3

115,79

1,9

116,19

17.06.2010 г.

С-23

2,4

115,65

2,0

116,05

17.06.2010 г.

С-4а

2,4

114,68

1,5

115,58

27.01.2010 г.


По химическому составу подземные воды гидрокарбонатные, сульфатно-гидрокарбонатные натриево-магниево-кальциевые, кальциево-натриево-магниевые и натриево-кальциево-магниевые, пресные (590-678 мг/л), жесткие и очень жесткие (8,2-9,2 мг-экв/л), нейтральные (рH 6,53-7,05).

Согласно СНиП 2.03.11-85 грунтовые воды по отношению к бетону неагрессивные, по отношению к арматуре железобетонных конструкций толщиной до 250 мм - слабоагрессивные при периодическом смачивании по содержанию хлоридов.

Согласно ГОСТ 9.602-2005 по отношению к свинцовой оболочке кабеля грунтовые воды обладают низкой коррозионной агрессивностью, к алюминиевой - средней.

Коэффициенты фильтрации для суглинка ИГЭ 4-5 составляет 0,2 м/сут., для супеси пластичной ИГЭ 5-2 - 0,4 м/сут.

 

.2 Особые геологические и инженерно-геологические процессы


Согласно СП 11-105-97 (Часть II) и СНиП 22-01-95 из опасных геологических процессов и неблагоприятных инженерно-геологических явлений на исследуемой территории отмечаются подтопленность подземными водами, сезонное промерзание и морозная пучинистость грунтов.

Подтопление: согласно СП 11-105-97, Часть II, к постоянно подтопленным в естественных условиях (область I, район I-A, участок I-A-I) относится вся исследуемая территория. Уровень подземных вод расположен на глубине 2,2-2,4 м от поверхности земли, на абсолютных отметках 114,68-115,68 м. В период максимума уровень подземных вод следует ожидать на глубине 1,5-2,0 м от поверхности земли, на абсолютных отметках 115,58-116,26 м.

Согласно СНиП 22-01-95 по подтоплению территория относится к умеренно опасной.

Морозное пучение: грунты в зоне сезонного промерзания, в открытых траншеях, котлованах подвержены воздействию сил морозного пучения.

Нормативная глубина сезонного промерзания согласно СНиП 23-01-99*, СНиП 2.02.01-83* и СП 50-101-2004 составляет: для суглинков - 1,95 м, для супесей - 2,36 м.

В условиях морозного промерзания проявляются процессы морозного пучения грунтов. Согласно ГОСТ 25100-95 суглинки текучепластичные ИГЭ 4-5 и супеси пластичные ИГЭ 5-2 сильно- и чрезмернопучинистые, глины ИГЭ 3-3, 3-2 и суглинки ИГЭ 4-3 залегают ниже нормативной глубины промерзания.

Согласно «Пособию к СНиП 2.02.01-83* насыпные грунты ИГЭ 1а - сильнопучинистые.

При промерзании грунты способны увеличиваться в объёме, что сопровождается подъёмом поверхности грунта и развитием сил морозного пучения, действующих на конструкции сооружений. При последующем оттаивании пучинистого грунта происходит его осадка.

Во время строительства и эксплуатации промерзание грунтов может прогрессировать в результате нарушения условий естественного залегания грунтов.

Согласно СНиП 22-01-95 категория опасности территории по пучению для сооружений на естественном основании оценивается как весьма опасная.

Сейсмичность - исследуемый участок расположен на территории сейсмически не опасной. Согласно карте общего сейсмического районирования территории РФ - ОСР-97 сейсмическая активность исследуемого участка составляет 5 баллов по шкале MSK-64.

Согласно СНиП 22-01-95 территория изысканий по сейсмичности относится к умеренно опасной.

 

.3 Характеристика резервуара


1.3.1 Конструктивные данные

Краткая характеристика резервуара:

-        построен по проекту №704-1-70 в 1985 году;

-        срок эксплуатации резервуара - 25 лет;

-        высота стенки резервуара - 17 880 мм;

-        диаметр резервуара - 39 900 мм;

-        режим работы (число циклов нагружения за год) - 350 циклов в год;

-        геометрический объем 22381 м3;

-        максимальная производительность заполнения и опорожнения

-        резервуара - 1300 м3/час;

1.3.2 Технологические параметры резервуара

Верхний аварийный уровень нефти 16,150 м.

Верхний допустимый уровень нефти 16,064 м.

Верхний нормативный уровень нефти 15,804 м.

Нижний нормативный уровень нефти 1,669 м.

Нижний допустимый уровень нефти 1,461 м.

Нижний аварийный уровень нефти 1,375 м.

Максимально допустимый уровень взлива воды при гидроиспытании 16,150 м

Максимальная скорость заполнения / опорожнения резервуара (ограничение по скорости движения понтона) составляет 3,5 м/час.

Предельная максимальная скорость заполнения (опорожнения) резервуара составляет соответственно 3,325 (2,975) м/час.

Реальная скорость движения понтона при производительности заполнения / опорожнения 1300 м3/час составляет 1,04 м/ч.

.3.3 Характеристика хранимой нефти

Операционная среда - товарная нефть; класс, тип, группа, вид по ГОСТ Р 51858-2002.

Нефть, поступающая

-        плотность при 20 град. С - 850,1-870,0 кг/м3;

-        вязкость от 5 до 25 сСт (по ТЗ)

-        массовая доля воды в% не более 0,5%;

-        массовая доля серы в% от 0,61-1,80;

-        содержание парафинов не нормируется для отечественных производителей (по ГОСТ Р 51858-2002);

-        давление насыщенных паров кПа 66,7 кПа (по ГОСТ Р 51858-2002).

2. Конструктивные и объемно-планировочные решения

 

.1 Описание и обоснование конструктивных решений зданий и сооружений


Основанием для разработки проектной документации является технический отчет №ТО-75.200.90-ТСМН-235-09 по результатам полной технической диагностики вертикального стального цилиндрического резервуара РВСП 20000  ООО Нижневартовкого нефтеперерабатывающего объединения.

Согласно ГОСТ 27751-88 резервуар относится к сооружениям I (повышенного) уровня ответственности.

Вид строительства - техническое перевооружение с выполнением работ по ремонту металлоконструкций резервуара, его оборудования и сетей внутри каре резервуара в соответствии с техническим отчетом по результатам полной технической диагностики вертикального стального цилиндрического резервуара РВСП 20000 м3 ООО Нижневартовкого нефтеперерабатывающего объединения выполненного ЗАО ИПФ «Динамика».

 

.2 Параметры резервуара


-        место расположения резервуара - ООО Нижневартовкого нефтеперерабатывающего объединения. тип резервуара - РВСП-20000;

-        технологический номер - №5;

-        номер проекта, по которому построен резервуар - №704-1-70;

-        дата приемки и ввода в эксплуатацию - 26.08.1985. г;

-        высота стенки - 17880 мм;

-        диаметр резервуара - 39900 мм;

-        форма стационарной крыши - стальная сферическая;

-        Верхний аварийный уровень взлива (согласно технологической карте) − 16 150 мм.;

-        вид продукта, хранимого в резервуаре на момент проведения диагностики - сырая нефть, 0,53% серы, плотность 871,0 кг/м3;

-        срок эксплуатации резервуара - 25 лет.

Таблица 2.1 - Толщины поясов резервуара

Конструктивные элементы резервуара

Толщина, мм

Марка стали

Крыша

4,0

ВСт3пс6

Стенка 1-й пояс

16,0

09Г2С-12

Стенка 2-й пояс

15,0

09Г2С-12

Стенка 3-й пояс

14,0

09Г2С-12

Стенка 4-й пояс

12,0

09Г2С-12

Стенка 5-й пояс

11,0

09Г2С-12

Стенка 6-й пояс

10,0

09Г2С-12

Стенка 7-й пояс

10,0

09Г2С-12

Стенка 8-й пояс

10,0

ВСт3Гпс5

Стенка 9-й пояс

10,0

ВСт3Гпс5

Стенка 10-й пояс

10,0

ВСт3Гпс5

Стенка 11-й пояс

10,0

ВСт3Гпс5

Стенка 12-й пояс

10,0

ВСт3Гпс5

Днище (центральная часть)

6,0

ВСт3пс4, ВСт3Гпс5

Днище (окрайка)

9,0

09Г2С-12

Понтон (центральная часть)

4,0

ВСт3пс2


Корпус резервуара имеет 12 горизонтальных поясов и 22 вертикальных сварных швов. Корпус резервуара изготовлен методом рулонирования из четырех рулонов и имеет четыре монтажных шва.

Расчетная схема стенки представляет собой стальную «безмоментную» цилиндрическую оболочку с радиусом Rвн=19950 мм и высотой H=17880 мм. Стенка резервуара вверху укреплена кольцом жесткости, которое обеспечивает общую устойчивость резервуара, воспринимает ветровую нагрузку.

Крыша имеет сферическую форму с R=60000 мм и представляет собой перекрестную систему радиальных и кольцевых балок. Радиальные балки опираются на опорное кольцо у стенки и центральное кольцо в центре. Крышу можно рассматривать как плоскую двухшарнирную арку с условной затяжкой.

Резервуар снабжен наружной шахтной лестницей и кольцевой площадкой на кровле резервуара, которые используются при обслуживании оборудования.

Днище состоит из окраек и центральной части, имеющей уклон от центра к периферии 1:100. Окрайка сегментными элементами соединена стыковым швом на подкладке. Центральная часть из рулонов, выполненных стыковыми швами. Соединение рулонов нахлесточными швом. Центральная часть с окрайкой соединяются нахлесточным швом. Днище со стенкой соединяются тавровым швом.

Данные об основании резервуара:

-        грунт, на котором устроена подушка - глина;

-        нижний слой подушки выполнен из среднезернистого песка толщиной 500 мм;

-        верхний слой подушки выполнен из песка с жидким битумом толщиной 100 мм;

-        откосы подушки укреплены бетонными плитами;

-        вертикальные размеры фундамента - высота 400 мм;

-        проектные требования к характеристикам бетона - марка бетона М 200;

-        тип фундамента - монолитный железобетонный пояс.

 

.3 Проектные решения


Ремонт металлоконструкций резервуара производится по результатам полной технической диагностики вертикального стального цилиндрического резервуара РВСП 20000 м3 ООО Нижневартовкого нефтеперерабатывающего объединения выполненного ЗАО ИПФ «Динамика».

Выполнен поверочный расчет на прочность и устойчивость стенки резервуара. Расчёты на прочность и устойчивость резервуара выполняются с учётом эксплуатационной нагрузки (гидростатическое давление жидкости, ветровой нагрузки), условия прочности и устойчивости стенки резервуара обеспечиваются.

По выводам и рекомендациям Технического отчета по результатам полной технической диагностики резервуара, для восстановления эксплуатационной пригодности резервуара РВСП 20000 м3 №5 и достижения срока безопасной эксплуатации резервуара не менее 10 лет необходимо выполнить следующие ремонтно-восстановительные работы металлоконструкций резервуара:

-        замена первого пояса стенки полностью на высоту 490 и участками на высоту 1690 мм;

-        замена дефектных листов днища резервуара;

-        замена окрайки резервуара;

-        ремонт поверхностных дефектов на стенке резервуара;

-        ремонт сварных соединений стенки резервуара;

-        замена стального понтона на алюминиевый;

-        установка площадок обслуживания оборудования на кровле резервуара;

-        ремонт креплений шахтной лестницы и площадки обслуживания пеногенератора;

-        замена узлов крепления заземления к резервуару, кабеля ЭХЗ и перемычек на фланцевых соединениях;

-        монтаж новой площадки обслуживания направляющей;

-        монтаж новых площадок обслуживания сигнализаторов верхнего уровня и пожарных извещателей,

-        демонтаж двух старых направляющих и монтаж новой направляющей понтона;

-     полная замена отмостки резервуара в соответствие с ПБ 03-605-03.

-        конструкция и количество люков и патрубков на стенке резервуара приведены в соответствие с нормативными требованиями;

-        предусмотрена установка площадок обслуживания люка-лаза в 3 поясе и площадок обслуживания сигнализатора верхнего допустимого уровня;

-        предусмотрена установка закладных конструкций для крепления пожарных извещателей, клемных коробок и контура заземления;

-        предусмотрена приварка новых опор, кронштейнов для крепления трубопроводов пожаротушения к стенке резервуара;

-        предусмотрена замена узлов креплений кронштейнов, присоединяемых к стенке резервуара без подкладных пластин на крепления через подкладные пластины.

-     предусмотрен демонтаж патрубка системы размыва донных отложений и монтаж нового патрубка для установки устройства «Диоген-700».

-        предусмотрен демонтаж существующего антикоррозионного покрытия и нанесение антикоррозионного покрытия на наружную и внутреннюю поверхности резервуара.

-        контроль качества сварных соединений и поверхности элементов (в местах установки технологических приспособлений и ремонтных вставок металлоконструкций резервуара).

-     проведение гидравлических испытаний резервуара

 


2.4 Обоснование технических решений


2.4.1 Общие данные

Проект разработан на ремонт и замену металлоконструкций резервуара РВСП-20000 №5 ООО Нижневартовкого нефтеперерабатывающего объединения в соответствии с РД-23.020.00-КТН-079-09 «Нормы проектирования стальных вертикальных резервуаров для хранения нефти объемом 1000-50000 куб. м», РД -23.020.00-КТН-283-09 «Правила ремонта и реконструкции резервуаров для хранения нефти объемом 1000-50000 куб. м.» и РД-25.160.10-КТН-050-06 «Инструкция по технологии сварки при строительстве и ремонте стальных вертикальных резервуаров».

Технические решения при проектировании приняты с учетом климатических характеристик района строительства, сейсмической активности, всех нагрузок и воздействий, действующих на резервуар.

Фактические толщины стенки резервуара по результатам полной технической диагностики вертикального стального цилиндрического резервуара РВСП 20000 м3 №5 ООО Нижневартовкого нефтеперерабатывающего объединения выполненного ЗАО ИПФ «Динамика» обеспечивают условия прочности и устойчивости.

Работы по ремонту и монтажу металлоконструкций должны осуществляться в строгом соответствии с действующими нормами, стандартами, РД 25.160.10-КТН-050-06, РД-23.020.00-КТН-079-09, настоящего проекта.

После проведения ремонта допускаемые отклонения формы и размеров элементов резервуара должны соответствовать требованиям РД -23.020.00-КТН-283-09 «Правила ремонта и реконструкции резервуаров для хранения нефти объемом 1000-50000 куб. м.».

 


2.4.2 Ремонт металлоконструкций резервуара

Ремонт резервуара осуществляется с целью восстановления его проектных показателей по полезной емкости, обеспечения его гарантированной безопасной эксплуатации на период не менее 10 лет.

Проектом предусмотрено исправление дефектов металлоконструкций резервуара методами, рекомендованными РД-23.020.00-КТН-283-09 и РД-25.160.10-КТН-050-06, а именно:

дефекты основного металла стенки глубиной до 0,2Т (где Т-толщина стенки) на 1-12 поясах - шлифовкой, более 0,2Т до 0,5Т - методом наплавки с предварительной зачисткой;

дефекты основного металла других конструкций резервуара глубиной до 0,3Т - шлифовкой, более 0,3Т до 0,5Т - методом наплавки с предварительной зачисткой, более 0,5Т-заменой дефектных участков;

дефекты в сварных швах - зачисткой, выборкой металла шва на глубину дефекта или полной выборкой шва с последующей сваркой;

дефекты кольцевых горизонтальных сварных швов стенки в виде смещения осей в местах пересечения их с вертикальными сварными швами - вырезкой дефекта и установкой вставки;

дефекты узлов крепления шахтной лестницы и площадки обслуживания пеногенератора исправляются приваркой косынок узлов крепления к стенке через подкладные пластины с нормативными расстояниями расположения швов приварки подкладных пластин к стенке по отношению к швам стенки.

2.4.3 Замена металлоконструкций резервуара

Для обеспечения безопасной эксплуатации резервуара на срок не менее 10 лет в соответствии проектом предусмотрена частичная замена первого пояса, окрайки и центральной части днища резервуара.

Таблица 2.2 - Основные материалы, применяемые при замене днища, участков стенки

Конструктивные элементы резервуара

Толщина, мм

Марка стали

ГОСТ, ТУ

Крыша

4,0

245 (ВСт3пс6)

ГОСТ 27772-88*

Стенка 1-й пояс

16,0

345-3 (09Г2С-12)


Стенка 2-й пояс

15,0

345-3 (09Г2С-12)


Стенка 3-й пояс

14,0

345-3 (09Г2С-12)


Стенка 4-й пояс

12,0

345-3 (09Г2С-12)


Стенка 5-й пояс

11,0

345-3 (09Г2С-12)


Стенка 6-й пояс

10,0

345-3 (09Г2С-12)


Стенка 7-й пояс

10,0

345-3 (09Г2С-12)


Стенка 8-й пояс

10,0

255 (ВСт3Гпс5)


Стенка 9-й пояс

10,0

255 (ВСт3Гпс5)


Стенка 10-й пояс

10,0

255 (ВСт3Гпс5)


Стенка 11-й пояс

10,0

255 (ВСт3Гпс5)


Стенка 12-й пояс

10,0

255 (ВСт3Гпс5)


Днище (центральная часть)

6,0

255 (ВСт3Гпс5)


Днище (окрайка)

9,0

345-3 (09Г2С-12)



Днище резервуара запроектировано с периферийными листами в виде кольцевых окраек, сваренных с центральной частью днища внахлест. Толщина окраек 9 мм, материал окраек - 345-3 (09Г2С-12) по ГОСТ 27772-88*. Заменяемые листы центральной части днища запроектирована толщиной 6 мм из стали С255 по ГОСТ 27772-88*. Окрайки собираются с клиновидным зазором и свариваются между собой односторонними стыковыми швами на остающейся подкладке. Центральная часть днища запроектирована с нахлесточными продольными швами, кроме участков, примыкающих к окрайке днища, и стыковыми на остающейся подкладке вдоль короткой стороны листов.

После демонтажа участков старого днища проектом предусмотрено снятие старого гидрофобного слоя, ремонт основания с приданием ему проектного уклона 1:100 со срезкой и подсыпкой недостающего грунта и укладка нового гидрофобного слоя по уплотненному основанию.

В проекте предусмотрена полная замена люков и патрубков на первой поясе стенки по количеству и конструкции соответствующих РД-23.020.00-КТН-079-09. На третьем поясе для обслуживания понтона предусмотрена врезка двух овальных люков-лазов размером 600х900 мм. Усиливающие накладки люков и патрубков запроектированы толщиной, равной толщине пояса стенки в месте установке патрубков и люков. Материал усиливающих накладок (воротников) принят 345-3 для 1-7 поясов и С255 для 8-12 поясов стенки. Крышки люков-лазов снабжены механизмами для облегчения их открывания и закрывания. Усиливающие накладки снабжены контрольными отверстиями М 10, располагаемыми на горизонтальной оси патрубка или люка.

2.4.4 Основные требования к сварочным работам

Сварные швы должны быть герметичными, непроницаемыми и непрерывными. Технология сварки, материалы и оборудование должны обеспечивать прочностные и пластические свойства, коррозионную стойкость металла сварного соединения не ниже нормируемых характеристик основного металла.

Сварочные технологии, сварочные материалы и сварочное оборудование должны быть аттестованы в соответствии с требованиями РД 03-613-03, РД 03-614-03, РД 03-615-03, ОТТ-25.160.00-КТН-219-09 с учетом требований РД-25.160.10-КТН-050-06. Способы сварки стальных конструкций резервуара определяются в соответствии с РД-25.160.10-КТН-050-06. Требования к подогреву конструкций резервуара под сварку устанавливаются в соответствии с РД-25.160.10-КТН-050-06, п. 2.3.16. Механические свойства сварных соединений должны соответствовать требованиям п. 2.6.3 РД 25.160.10-КТН-050-06.

Конструкция сварных соединений, форма разделки свариваемых кромок, а также геометрические параметры и форма сварных швов различных конструктивных элементов резервуара должны соответствовать таблице 2.6.1. РД 25.160.10-КТН-050-06.

Сварные соединения, кроме оговоренных отдельно, выполнить механизированной дуговой сваркой по ГОСТ 14771-76*, при этом для сварки основных конструкций резервуаров следует применять сварочные материалы согласно таблице 2.8.3 РД-25.160.10-КТН-050-06, для сварки вспомогательных металлоконструкций резервуара допускается применение ручной электродуговой сварки по ГОСТ 5264-80*, при этом применять электроды по ГОСТ 9467-75* согласно таблице 2.8.4 РД-25.160.10-КТН-050-06.

Проектом предусмотрен 100% контроль радиографический, ультразвуковой, капиллярный, вакуумированием при перепаде давления 250 мм водяного столба, визуально-измерительный для сварных соединений, выполненных на монтаже и дефектов основного металла, а также контроль герметичности методом керосиновой пробы сварных соединений, выполненных на монтаже. Виды и нормы контроля сварных соединений вести в соответствии РД-25.160.10-КТН-050-06.

До начала монтажа металлоконструкций проводятся допускные испытания по аттестации сварщиков согласно п.п. 2.1 и 3 РД-25.160.10-КТН-050-06. Материалы для допускных испытаний предусмотрены в проекте. Выполняются вертикальные и горизонтальные соединения стенки и уторный шов, согласно операционным технологическим картам аттестованных технологий с контролем качества сварных соединений неразрушающими методами и механические испытания сварных соединений.

2.4.5 Основные требования материалам металлоконструкций резервуара

Все элементы конструкции резервуара, используемые при ремонте, должны изготавливаться на специализированных предприятиях, изготавливающих металлоконструкции резервуаров имеющем лицензию на данный вид деятельности. Запрещается использование для основных металлоконструкций (стенка, днище, крыша, люки и патрубки на стенке, привариваемые к стенке усиливающие накладки) и вспомогательных конструкций резервуара (люки и патрубки на крыше, лестницы, площадки и ограждения), изготовленных на месте монтажа. Технические требования к изготовлению конструкций резервуара, включая требования по приемке и контролю должны соответствовать требованиям ПБ 03-605-03, РД-23.020.00-КТН-079-09 и ГОСТ Р 52910-2008.

Листовой прокат металла подлежит приемке. Листы стенки, днища резервуара должны пройти правку на листоправильных вальцовочных станках с разметкой и обрезкой по размерам допусков и обработкой кромок.

Листовой прокат для основных конструкций должен подвергаться изготовителем механическим испытаниям в объеме, предусмотренном ГОСТ 19281-89, ГОСТ 14637-89*, ГОСТ 27772-88*, ПБ 03-605-03 и РД-23.020.00-КТН-079-09. Механические испытания проводят на образцах вырезанных поперек направления прокатки. Использование неразрушающих, в т.ч. статистических, методов контроля для оценки механических характеристик листового проката не допускается.

Листовой прокат для основных конструкций должен подвергаться. ультразвуковому контролю сплошности по ГОСТ 22727-88 в объеме 100% листов партии вид сканирования - сплошное. Требуемый класс сплошности проката 0. Неконтролируемые зоны листа не должны превышать: у продольной кромки - 5 мм, у поперечной кромки - 10 мм. В листах не допускаются дефекты прокатки (расслоения, закаты, раковины, плены и т.д.). Контроль состояния кромок листового проката по ГОСТ 14637-89* и ГОСТ 19281-89.

Состояние поверхности и кромок листового проката должно соответствовать требованиям ГОСТ 14637-89* и ГОСТ 19281-89, фасонного проката - ГОСТ 535-2005, подгруппы 1. Зачистка поверхности проката допускается на глубину, не выводящую толщину проката за пределы минусовых отклонений, равную 0,3 мм. Зачистку проводить абразивным инструментом. Удаление поверхностных дефектов листового проката заваркой не допускается. Продольные и поперечные кромки листового проката, предназначенного для изготовления царг, должны подвергаться на заводе изготовителе металлоконструкций обработке на строгальных или фрезерных станках

Размеры листов и геометрические параметры кромок после обработки должны соответствовать требованиям рабочей проектной документации, разработанной с учетом требований РД-23.020.00-КТН-079-09 и пункта 6.9 ГОСТ Р 52910-2008.

Поверхность всех металлоконструкций резервуара, поставляемых заводом-изготовителем, должна быть очищена от окалины и ржавчины, влаги, снега, льда и загрязнений и покрыта консервирующим покрытием.

Каждый лист должен иметь маркировку, включающую в себя марку стали и номер плавки. Маркировка должна быть нанесена путем клеймения с высотой букв не менее 6 мм. Листы с одной плавкой сопровождаются копией сертификата на материал.

Сталь листового, фасонного проката, труб основных конструкций резервуара подгруппы А и Б по РД-23.020.00-КТН-079-09 подвергнуть испытаниям на ударную вязкость на трех образцах от партии (листа) с V-образным надрезом согласно требованиям раздела 5.5 РД-23.020.00-КТН-079-09, раздела 2.6 ПБ 03-605-03 и пункта 5.2.3 ГОСТ Р 52910-2008. Форма, размеры образцов, требования к надрезу, порядок проведения испытаний и испытательное оборудование должны соответствовать требованиям ГОСТ 9454-78* «Металлы. Метод испытания на ударный изгиб при пониженных, комнатной и повышенных температурах».

Среднее значение ударной вязкости трех образцов при заданной температуре должно быть не ниже нормируемого значения. Нормированная величина ударной вязкости зависит от гарантированного минимального предела текучести и направления вырезки образцов (поперечных или продольных). На поперечных образцах для листов с пределом текучести 345 МПа и ниже она равна 35 Дж/см2, для листов с более высоким гарантированным пределом текучести она составляет не менее 50 Дж/см2. Для стали с пределом текучести 315 МПа и ниже допускается (в интервале температур, ограничиваемых сверху нормируемым уровнем ударной вязкости 35 Дж/см2) снижение нормируемого значения ударной вязкости на поперечных образцах до 30 Дж/см2. Для фасонного проката определение ударной вязкости производится на продольных образцах, длинная сторона которых совпадает с длиной проката, при этом нормируемое значение ударной вязкости марки стали повышается по сравнению с листовым прокатом аналогичной толщины на 20 Дж/см2.

Выбор температуры испытания зависит от гарантированного минимального предела текучести стали. Для листов с гарантированным минимальным пределом текучести 390 МПа и ниже температура испытания определяется по графику (рис. 2.1 ПБ 03-605-03). При этом учитывают гарантированный минимальный предел текучести, расчетную температуру металла, толщину листа. Для листов с гарантированным минимальным пределом текучести выше 390 МПа температура испытаний должна быть не выше расчетной температуры металла. Гарантированный минимальный предел текучести для выбираемого варианта стали и толщины листа может быть взят по табл. 2.6 ПБ 03-605-03.

Расчетная температура металла основных конструкций подгруппы «А» (РД-23.020.00-КТН-079-09) - минус 39°С

Расчетная температура металла основных конструкций подгруппы «Б» и вспомогательных конструкций (РД-23.020.00-КТН-079-09) - минус 37°С

Материал болтов и гаек для фланцевых соединений при расчетной температуре металла основных конструкций подгруппы А равной минус 39 °C принята сталь Ст3сп5 по ГОСТ 14637-89*.

2.4.6 Основные требования к гибке (вальцовке) металлоконструкций

Гибка (вальцовка) заготовок для замены 1 пояса и участков стенки на 2-12 поясах должна выполняться на специализированном предприятии, изготавливающем металлоконструкции резервуарав в соответствии с ОТТ-77.140.50-КТН-349-09 «Царги для строительства вертикальных стальных резервуаров. Общие технические требования».

Царги должны изготавливаться методом вальцовки листов, предварительно прошедших на заводе-изготовителе металлоконструкций операции технической приемки, правки и обработки кромок под сварку. Царги должны упаковываться в пакеты и укладываться в ложементы, которые должны обеспечить их сохранность и неизменяемость формы при транспортировке. Хранение царг на монтажной площадке в пакетах и контейнерах должно осуществляться на выровненной площадке, исключающей их деформацию, с учетом технологической последовательности подачи их на монтаж. Маркировка листов ведется по поясам, т.е. каждый пояс состоит из листов одной марки. Перестановка листов из пояса в пояс не допускается.

2.4.7 Испытание резервуара

Испытание резервуара производить согласно РД-23.020.00-КТН-079-09 «Нормы проектирования стальных вертикальных резервуаров для хранения нефти объемом 1000-50000 куб. м» и ОР-23.020.00-КТН-278-09 «Регламент вывода из эксплуатации, проведение диагностики, капитального ремонта (реконструкции) резервуара и ввода в эксплуатацию».

Гидравлическое испытание резервуара проводить после окончания всех работ по монтажу и контролю перед нанесением антикоррозионного покрытия и присоединения трубопроводов к резервуару. Испытание следует проводить по индивидуальной программе, разработанной проектной организацией, разрабатывающей ППР. Уровень взлива при гидроиспытании не должен превышать уровня равного 16150 мм.

Скорость подъема (опускания) понтона не должна превышать эксплуатационную.

При проведении гидроиспытания необходимо до налива воды в резервуар, после налива воды на максимальную отметку во время выдержки резервуара под нагрузкой и после слива воды выполнить съемку геометрических параметров резервуара, а именно:

схемы отклонений образующих стенки от вертикали;

отклонение наружного контура днища от горизонтали.

Кроме этого, во время гидроиспытания резервуара по мере подъема и опускания понтона с остановкой налива и слива на поясах, указанных в индивидуальной программе испытания резервуара, необходимо составлять схемы и таблицы зазоров между верхней кромкой коробов потона и стенкой резервуара, а также зазоров между направляющей и патрубком в понтоне.

На резервуар прошедший испытания, составляется акт завершения монтажа конструкций.

Приварка любых элементов к конструкциям резервуара в процессе проведения гидроиспытания и после его окончания запрещается. После испытания на резервуаре производятся предусмотренные проектом работы по антикоррозионной защите и установке оборудования с оформлением соответствующих документов.

3. Описание конструктивных и технических решений подземной части объекта капитального строительства

 

.1 Фундамент резервуара


По результатам технического отчета полной технической диагностики ТО-75.200.90-ТСМН-235-09 конструктивно фундамент резервуара представляет собой следующую конструкцию:

-        грунт, на котором устроена подушка - глина;

-        нижний слой подушки выполнен из среднезернистого песка толщиной 500 мм;

-        верхний слой подушки выполнен из песка с жидким битумом толщиной 100 мм;

-        откосы подушки укреплены бетонными плитами;

-        вертикальные размеры фундамента - высота 400 мм;

-        проектные требования к характеристикам бетона - марка бетона М 200;

-        тип фундамента - монолитный железобетонный пояс.

Проектом предусматривается ремонт существующего фундамента включающий в себя следующие работы:

-        демонтаж листов окрайки днища резервуара;

-        при обнаружения разрушенного или легкоразрушающегося слоя бетона, выполняется зачистка и демонтаж бетона до отметки ниже которой разрушения нет и заделка бетоном В25 на мелком заполнителе до проектных отметок;

-        при обнаружении сколов, трещин выполняется их расшивка и заделка бетоном В25 на мелком заполнителе;

-        в случае оголения рабочей арматуры фундамента в результате демонтажа бетона, арматура отчищается стальными щетками от бетона и коррозии, с последующим соединением разорванной арматуры при помощи арматурных накладок;

-        после набора бетоном не менее 70% прочности по верху фундамента укладывается гидрофобный слой толщиной 20 мм с тщательным уплотнением механизированными трамбовками.

После срезки дефектных листов днища резервуара выполняется демонтаж гидрофобного слоя на глубину 50 мм. Гидрофобный слой уложить с уплотнением до коэффициента не менее К=0,98. Гидрофобный слой, толщ. 50 мм (по кольцевому фундаменту толщ. 20 мм), из высокоплотного асфальтобетона марки 1 по ГОСТ 9128-97*, с остаточной пористостью от 1,0 до 2,5%, песчаного, с размерами зерен до 5 мм. Присутствие кислот и свободной серы в вяжущем компоненте не допускается.

Основание под лестницы и площадки переходов и подъёмов обвалования резервуара служат железобетонные фундаменты на естественном основании высотой 600 мм из бетона класса Бетон В15, F100, W6. переходы и подъемы привариваются к закладным деталям фундамента.

3.1.1 Фундамент под шахтную лестницу

По результатам технического отчета полной технической диагностики ТО-75.200.90-ТСМН-235-09 обнаружено растрескивание верхнего бетонного слоя подливки. Существующая подливка демонтируется с последующим устройством новой подливки из В20 F100 W6 на мелком заполнителе.

3.1.2 Отмостка резервуара

Проектом предусмотрен полный демонтаж и устройство новой отмостки. Выполняется отсыпка грунтом с уплотнением до коэффициента не менее К=0,92 для планировки основания для новой отмостки. По наружному периметру фундамента резервуара выполняется отмостка из бетона класса В15 толщиной 80 мм с устройством упора из бетона класса В15 F100 W6. Перед устройством бетонного упора под ним укладывается 1 слой рубероида марки РПП-300 по ГОСТ 10923-93* во избежание утечки цементного молока. Сопряжение отмостки с фундаментом резервуара выполняется с устройством вертикального деформационного шва шириной 20 мм (на всю высоту отмостки), заполненного просмоленной паклей, пролитого герметиком. Через 10 м длины отмостки выполняются вертикальные температурно-усадочные швы шириной 20 мм (на всю высоту примыкания отмостки) с заполнением швов просмоленной паклей, пролитой герметиком. Для герметизации температурно-усадочных и деформационных швов используется герметик на основе тиокола, который должен иметь относительное удлинение в момент разрыва не менее 150%, деформативность шва не менее 25%, интервал температуры эксплуатации в пределах от минус 60 °С до плюс 70 °С. Герметик должен обеспечивать высокую стойкость изоляции к тепловым и усадочным деформациям, к действию агрессивных атмосферных факторов, воды. Герметик должен иметь хорошую адгезию к бетону, металлу.

 

.2 Коренные задвижки РВСП


Коренные задвижки РВСП размещается надземно. Фундамент под задвижку - монолитный железобетонный из бетона класса В15 F100 W6. Подготовка под фундамент - из монолитного бетона В7,5 толщиной 100 мм. Для обслуживания задвижек предусмотрены съемные площадки обслуживания. Площадки приняты по серии 1.450.3-7.94 из горячекатаных профилей. Для соблюдения техники безопасности при обслуживании в условиях низких температур настил площадки и ступени лестницы приняты из просечно-вытяжной стали. Лестница и стойки площадки обслуживания крепятся к сборным бетонным фундаментным блокам посредством болтов, замоноличенных в сверленые отверстия в бетонных блоках. Площадки обслуживания соответствуют требованиям ПБ 08-624-03 «Правила безопасности в нефтяной и газовой промышленности».

3.3 Колодцы сетей канализации и наружного пожаротушения


На трубопроводах системы пожаротушения, систем канализации и дренажа, устанавливаются колодцы из монолитных железобетонных конструкций, из бетона В15 F100 W6, армированные сетками по ГОСТ 23279-85 и отдельными стержнями по ГОСТ 5781-82*. Колодцы герметичны, не пропускают грунтовых вод. Размер колодцев обеспечивает размещение требуемого оборудования и возможность работы в них технического персонала. Железобетонные колодцы устанавливаются на бетонную подготовку из бетона класса В7,5. Для обеспечения спуска в колодцы обслуживающего персонала на горловине и стенках колодцев предусмотрены стальные скобы и металлические стремянки. Вокруг люков колодцев предусмотрена отмостка шириной 0,5 м с уклоном от люков. Колодцы имеют сальники для прохождения трубопроводов с герметизирующими устройствами, препятствующими попаданию в них грунтовых вод.

Дождеприемные колодцы внутри каре резервуарного парка оборудуются запорными устройствами (хлопушками), приводимыми в действие за пределами обвалования. Нормальное положение хлопушки - закрытое. В плитах перекрытия колодцев предусмотрены гильзы из труб по ГОСТ 10704-91 для направляющей троса хлопушки и для колонки управления задвижкой.

Гидравлическое испытание на водонепроницаемость (герметичность) колодца необходимо производить после достижения бетоном проектной прочности, их очистки и промывки согласно требованиям СНиП 3.05.04-85 «Наружные сети и сооружения водоснабжения и канализации».

Устройство гидроизоляции и обсыпку грунтом колодца следует выполнить после получения удовлетворительных результатов гидравлического испытания этих сооружения.

3.4 Площадки напорного узла СППТ


Для обслуживания напорных узлов СППТ предусматриваются армированные монолитные ж.б. площадки из бетона класса Бетон В15 F100 W6. На площадке предусматриваются бетонные опоры с закладными деталями для установки металлических опор трубопроводов.

 

.5 Опоры под трубопроводы и запорную арматуру


Фундаменты под опоры для крепления трубопроводов, под площадки, лестницы выполнены столбчатыми из монолитного бетона класса В15, армированные сетками и отдельными стержнями. Под фундаментами устраивается бетонная подготовка толщиной 100 мм из бетона класса В7,5. Размеры подготовки в плане должны выходить на 100 мм по периметру фундамента.

Существующий резервуар РВСП-20000 - наземный вертикальный цилиндрический стальной с стационарной крышей и с понтоном. Геометрические размеры существующего резервуара: диаметр по внутреннему радиусу стенки 39,90 м, высота стенки 17,88 м. Согласно задания на проектирование проектом не предусмотрено изменение геометрических размеров резервуара его конструкция и назначение.



4. Расчет на прочность и устойчивость резервуара

 

.1 Определение геометрических параметров резервуара

 

.1.1 Размеры листа

В соответствии с рекомендациями ПБ 03-605-03 для изготовления стенки выбираем стальной лист с размерами в поставке 1500 х 6000. С учетом обработки кромок листа с целью получения правильной прямоугольной формы при дальнейших расчетах принимаются следующие его размеры 1490 х 5990.

Сначала выбираем высоту резервуара. Для этого используем рекомендации ПБ 03-605-03 или РД Транснефти. В соответствии с этими рекомендациями предпочтительная высота резервуара от 12 до 20 метров.

4.1.2 Высота резервуара

Определим точную высоту резервуара


Где  - ширина листа, мм;

 - число поясов.

 

.1.3 Предварительный радиус резервуара

Радиус резервуара определяется из формулы для объема цилиндра.


Где  - объем резервуара, .

4.1.4 Периметр резервуара и число листов в поясе


Где  - длина листа, .

Предпочтительней округлять число листов в поясе до целого или выбирать последний лист равным половине длины листа.

Принимаем число листов в поясе  Тогда периметр резервуара равен


а окончательный радиус

 

.1.5 Уточненный объем резервуара


 

.2 Определение толщины стенки резервуара


4.2.1 Определение методики и параметров необходимых для расчета

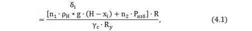
Толщина листов стенки резервуара РВС для условий эксплуатации рассчитывается по формуле:


где  - коэффициент надежности по нагрузке гидростатического давления;

 - коэффициент надежности по нагрузке от избыточного давления и вакуума;

 - плотность нефти, кг/м3;

 - радиус стенки резервуара, м;

 - уровень взлива нефти в резервуаре, или высота резервуара м;

 - расстояние от днища до расчетного уровня, м;

, - нормативная величина избыточного давления;

 - коэффициент условий работы, для нижнего пояса,  для остальных поясов;

- расчетное сопротивление материала пояса стенки по пределу текучести, Па;

Расчетное сопротивление материала стенки резервуаров по пределу текучести, определяется по формуле:


где  - нормативное сопротивления растяжению (сжатию) металла стенки, равное минимальному значению предела текучести, принимаемому по государственным стандартам и техническим условиям на листовой прокат;

 - коэффициенты надежности по материалу;

 - коэффициент надежности по назначению, для резервуаров объемом по строительному номиналу 10 000 м3 и более - , объемом по строительному номиналу менее 10 000 м3-

Для проектируемого резервуара объемом 20000 м3 принимаем .

Нормативное сопротивление стали, принимаемое по табл. 51* СНиП II-23-81*: в связи с отсутствием сертификатов на элементы конструкций;

-   для стали 09Г2С-12 = 325 МПа (сущ. 1 - 7 пояса),

-   для стали ВСт3Гпс5 = 245 МПа (сущ. 8 - 12 пояса).

Вычисляем расчетное сопротивление по формуле (6.2)


Рисунок 4.1 - Схема нагружения резервуара внутренним давлением

 


4.2.2 Вычисление предварительной толщины стенки для каждого пояса резервуара

Для вычисления используем формулу (1), в которой, начиная со второго пояса, единственным изменяемым параметром при переходе от нижнего пояса к верхнему является координата нижней точки каждого пояса


где  - номер пояса снизу вверх;

 - ширина листа.

Основные геометрические размеры резервуара при проведении прочностных расчетов округляем в большую сторону так, чтобы погрешность шла в запас прочности:

Определим толщину первого пояса используя формулу (6.1)

Значения толщин стенки в прочих поясах приведены в таблице 6.1.

Таблица 4.1 - Результаты расчета толщины стенки

Номер пояса

2

13,05

3

11,87

4

10,68

5

9,50

6

8,31

7

7,13

8

7,88

9

6,31

10

4,74

11

3,17

12

1,60


4.2.3 Вычисление окончательной толщины стенки для каждого пояса резервуара

В качестве номинальной толщиныкаждого пояса стенки выбирается значение большей из двух величин, округленное до ближайшего значения из сортаментного ряда листового проката.


где  - припуск на коррозию, мм;

 - значение минусового допуска на толщину листа, мм;

Величину минусового допуска определяют по предельным отклонениям на изготовление листа.

Соответствующие предельные отклонения по толщине листа приводятся в таблице 4.2.

Таблица 4.2 - Предельные отклонения по толщине листа

Толщина, мм

Предельные отклонения по толщине листов для симметричного поля допусков при точности ВТ (высокой точности) и АТ (повышенной точности) при ширине, мм


1500

Св.1500 до 2000

Св. 2000 до 3000

Толщина, мм

ВТ

AT

ВТ

AT

ВТ

AT

От 5 до 10

±0,4

±0,45

±0,45

±0,5

±0,5

±0,55

Св. 10 до 20

±0,4

±0,45

±0,45

±0,5

±0,55

±0,6

Св. 20 до 30

±0,4

±0,5

±0,5

±0,6

±0,6

±0,7

Св. 30 до 45


±0,6


±0,7


±0,9


Припуск на коррозию элементов резервуара равен 0,0002 м.

Значение минимальной толщины стенки для условий эксплуатации увеличивается на величину минусового допуска на прокат и округляется до ближайшего значения из сортаментного ряда листового проката. Полученное значение сравнивается с минимальной конструктивной толщиной стенки , определяемой по таблице 4.3.

Таблица 4.3 - Конструктивная величина толщины стенки

Диаметр резервуара, м

Менее 25

От 25 до 35

35 и более

Минимальная конструктивная толщина стенки, , мм91011





Выбираем номинальный (окончательный) размер толщины стенки для всех поясов используя формулу (6.4).

Значения номинальных и конструктивных толщин стенки в прочих поясах приведены в таблице 4.4.

Таблица 4.4 - Результаты расчета номинальной и конструктивной толщины стенки

Номер пояса

2

13,85

18

3

12,67

14

4

11,48

13

5

10,30

12

6

9,11

11

7

7,93

10

8

8,68

10

9

7,11

10

10

5,54

10

11

3,97

10

12

2,40

10


4.3 Расчет стенки резервуара на устойчивость


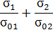
Проверка устойчивости стенки резервуара производится по формуле:


где  - расчетные осевые напряжения в стенке резервуара, МПа;

 - расчетные кольцевые напряжения в стенке резервуара, МПа;

 - критические осевые напряжения в стенке резервуара, МПа;

 - критические кольцевые напряжения в стенке резервуара, МПа.

Осевые напряжения определяются по минимальной толщине стенки пояса, кольцевые напряжения - по средней толщине стенки.

Расчетные осевые напряжения для резервуаров РВС определяются по формуле:


где  - коэффициент надежности по нагрузке от собственного веса;

 - коэффициент надежности по снеговой нагрузке;

 - вес покрытия резервуара, Н;

 - вес вышележащих поясов стенки, Н;

 - полное расчетное значение снеговой нагрузки на горизонтальную проекцию покрытия, Н;

 - вес покрытия резервуара, Н;

 - расчетная толщина стенки i-го пояса резервуара, м.

Рисунок 4.2 - Расчетная схема для расчета стенки резервуара на устойчивость

 

.3.1 Определение веса крыши

Вес покрытия резервуара рассчитывается по нормативному давлению крыши приведен в таблице 4.5.

Таблица 4.5 - Нормативное давление крыши

Объем резервуара, м3

1

5

10

20

30

50

Давление крыши, , кН/м30,30,350,450,550,60,65








4.3.2 Определение веса стенки резервуара

Вес вышележащих поясов стенки резервуара определяется из условия, что высота всех поясов одинакова и равна ширине листа  по формуле:


где  - номер последнего пояса, если начало отсчета снизу;

 - удельный вес стали.

Вес стенки при расчете для всех поясов определим используя формулу (6.7).

Значения веса стенки в прочих поясах приведены в таблице 6.6.

Таблица 6.6 - Результаты расчета веса стенки резервуара для каждого пояса

Номер пояса

2

1681,49

3

1458,32

4

1303,15

5

1135


4.3.3 Определение снеговой нагрузки

Нормативная снеговая нагрузка на горизонтальную проекцию резервуара определяется по формуле:


где  - коэффициент перехода от веса снегового покрытия горизонтальной поверхности земли к снеговой нагрузке на трубопровод;

 - нормативное значение веса снегового покрова на 1 м2 горизонтальной поверхности земли, которое выбирается по таблице 6.7 для соответствующего снегового района Российской Федерации.

Таблица 4.7 - Нормативные значение веса снегового покрова

Снеговые районы Российской Федерации

I

II

III

IV

V

VI

VII

VIII

, кПа0,81,21,82,43,24,04,85,6










Город Омск находится в III снеговом районе, для которого =1,8 кН. Коэффициент  для такого варианта крыши, когда угол наклона поверхности крыши к горизонтальной плоскости.

Определим вес снегового покрова на всю крышу

 

.3.4 Определение нагрузки от вакуума

Нормативная нагрузка от вакуума на покрытие определяется как

 

.3.5 Определение осевых напряжений в каждом поясе стенки резервуара от вертикальной нагрузки

Определение напряжений в первом поясе по формуле (6.6)

Значения осевых напряжений в прочих поясах приведены в таблице 4.8.

Таблица 4.8 - Напряжения для расчета стенки резервуара на устойчивость

Номер пояса

1

2,57

13,21

0,19

0,96

1,74

0,49

0,683

2

3,15

10,27

0,31




0,794

3

3,26

9,54

0,34




0,829

4

3,40

8,81

0,39




0,874

5

3,57

8,07

0,44




0,930

6

3,79

7,34

0,52




0,992

7

3,67

7,34

0,50




0,988

8

3,55

7,34

0,48




0,971

9

3,42

7,34

0,47




0,955

10

3,30

7,34

0,45




0,938

11

3,18

7,34

0,43




0,921

12

3,06

7,34

0,42

0,96

1,74

0,49

0,904

 

.3.6 Определение осевых критических напряжений

Осевые критические напряжения определяются по формуле:


где  МПа - модуль упругости стали;

 - коэффициент, принимаемый по таблице 4.9.

Для определения коэффициента  необходимо вычислить среднюю толщину стенки


Вычисляем отношение радиуса резервуара к средней толщине стенки


Таблица 4.9 - Значение коэффициента

600

800

1000

1500

2500

0,11

0,09

0,08

0,07

0,06



По таблице методом линейной интерполяции выбираем коэффициент

Вычисляем осевые критические напряжения для первого пояса используя формулу (4.9).

Остальные значения критической силы приведены в таблице 4.8.

4.3.7 Определение кольцевых напряжений

Расчетные кольцевые напряжения в стенке при расчете на устойчивость резервуара определяются по формуле:


где  - нормативное значение ветровой нагрузки на резервуар, Па;

 - коэффициент надежности по ветровой нагрузке;

 - средняя арифметическая толщина стенки резервуара, м.

Нормативное значение ветровой нагрузки определяется по формуле


где  - нормативное значение ветрового давления, для рассматриваемого района, Па;

 - коэффициент, учитывающий изменение ветрового давления по высоте;

 - аэродинамический коэффициент.

Ветровые районы СССР

Ia

I

II

III

IV

V

VI

VII

, кПа0,170,230,300,380,480,600,730,85










Омск относится ко второму району по давлению ветра, соответственно из таблицы выбираем .

Коэффициент  для резервуаров высотой от 10 до 20 метров.

Аэродинамический коэффициент  выбирается по СНиП 2.01.07-85 «Нагрузки и воздействия», используя таблицу 4.11.

Таблица 4.11 - Коэффициент

0,17

0,25

0,5

1,0

2,0

0,5

0,55

0,7

0,8

0,9


Вычисляем отношение


Выбираем  по таблице с использованием метода линейной интерполяции.

Вычисляем ветровую нагрузку (давление) используя формулу (4.11).

Вычисляем кольцевые напряжения используя формулу (10).

Определим критические кольцевые напряжения

нефть резервуар канализация ремонт

По результатам расчета проверка устойчивости стенок резервуара (6.5) выполняется, значит, значения толщин стенок подобраны верно.