Департамент образования города Москвы
Государственное бюджетное образовательное учреждение
высшего профессионального образования города Москвы
«Московский городской педагогический университет»
Институт математики и информатики
Кафедра
прикладной информатики
КУРСОВАЯ РАБОТА
по дисциплине «Информатика и программирование»
Тема:
«Разработка программы для решения геометрических задач на мобильных
устройствах»
Выполнил: студент группы ПИНФ-ОД-02
Мамедов Низами Тельманович
Руководитель:
Пономарева Людмила Алексеевна
Москва
Введение
В наше время мы часто сталкиваемся с проблемой составления определенного рода задач с целью их последующего решения, которое помогает нам отработать те или иные навыки их решения, что позволяет нам более успешно изучать новые темы. Я же предлагаю решение этой проблемы посредством создания программы для мобильного устройства, позволяющей нам создать ряд определений по темам площадь треугольников, площадь круга.
Данная программа поможет школьнику не только найти правильный ответ к задаче, но и разобраться с самим процессом решения. Благодаря этому, усвоение учебного материала ребенком происходит значительно быстрее. А преподаватель сможет подготовиться к уроку не потратив уйму времени на решение задач.
Главной целью курсового проекта является создание программы для решения геометрических задач таких как:
Нахождение площади треугольника по формуле Герона.
Нахождение площади прямоугольного треугольника.
Нахождения площади круга.
Так же обладать простым интерфейсом
и руководством пользователю.
1. Теоритическая часть
.1 Обоснование выбора языка
программирования
При выборе среды реализации сравнивают программные продукты и пользуются различными средствами разработки приложений. Использование возможностей средств разработки приложений позволяет сделать процесс разработки более удобным. Инструментальные средства позволяют:- создавать интерфейс, используя стандартные компоненты;- разрабатывать более надежные программы путем обработки исключительных ситуаций возникающих при некорректной работе программы, для избегания ошибок.
Современные средства разработки характеризуются параметрами:- поддержка объектно-ориентированного стиля программирования; - возможность использования CASE-технологий - использование визуальных компонент для наглядного проектирования интерфейса;
Выше перечисленными свойствами обладает среда программирования Windows Phone SDK. Данная среда поддерживает множество языков, что очень выгодно для меня потому в курсе по дисциплине «Информатика и программирование» я изучал Visual Basic,в данной ситуации это сыграло важнейшую роль в выборе.
В связи с этим, была выбрана
технология Windows Phone SDK
.2 Функциональные требования
В данном курсовом проекте предметом является моделирование и разработка программы «Решение геометрических задач» для мобильных устройств на платформе Windows Phone. В проекте присутствуют введение, две главы, заключение, списки литературных источников и приложение. В первой главе обосновывается выбор среды разработки и представлен анализ предметной области. Описание программы и её реализация представлены во второй главе. В заключении сделаны выводы о проделанной работе. В приложении приведены фрагменты кодов и работы программы. В ходе курсового проекта мною использовалась следующая совокупность научных методов: обобщение и анализ информации полученной из методических рекомендаций, дополнительной литературы, а также информация, полученная от научного руководителя. В качестве технических и программных средств я использовал средства Windows Phone.
При анализе цели курсового проекта я сделал вывод о том, какой должна быть программа и что должна в себя включать. Программа должна быть реализована с графическим интерфейсом пользователя в среде Windows Phone SDK и должна выполнять следующие функции:
) выводить список с задачами;
)принимать входные данные в отведенные для этого поля;
)реализовывать разработанный для решения алгоритм;
)выводить ответ и ход решения задачи;
)предусматривать перемешивание входным переменных;
Структурная схема программы
представлена на рисунке 1
Да. Нет
Рисунок 1 Общий ход работы программы
Последующие разделы будут посвящены
решению поставленных задач и разработке приложения с вышеперечисленными
функциями.
2. Практическая часть
.1 Подход к созданию
Согласно заданию необходимо разработать программу для решения геометрических задач с выводом ответа и разъяснения решения.
Поскольку данная программа является приложением Windows Phone, то для ее реализации будем использовать стандартный подход при написании программ под Windows Phone с использованием графического интерфейса. Так отдельно создадим форму с визуальными компонентами, для различных визуальных компонентов сопоставляем процедуры - обработчики. Далее, как только происходит событие на каком-то из визуальных компонент, (нажатие на кнопку или пункт меню), операционная система посылает приложению соответствующее сообщение, и запускается соответствующий обработчик именно для этого события.
Тогда решение задачи можно разбить на 3 этапа:
) Разработка визуального интерфейса пользователя, на основе экранных форм среды Windows Phone и визуальных компонентов, предназначенных для ввода исходных данных, запуска действий по обработке исходных данных, вывода результата обработки, вывода результатов на экранную форму. Еще можно предусмотреть вывод информации разработчике и задании курсового проекта.
)Разработка обработчиков событий от элементов экранных форм, разработка алгоритмов и программных кодов действий для решения выбранной геометрической задачи.
)Подготовка исходных данных о ходе
решения задачи и отладка программы.
2.2 Реализация программных модулей
Интерфейс программы
На первом этапе целесообразно выполнить разработку интерфейса таким образом, чтобы при запуске программы пользователь выбрал нужную ему задачу из перечня. Затем пользователь приступает к вводу данных. По окончании чего запускает программу. После выполнения всего выше перечисленного программа представит ответ и разбор задачи. Если имеются ошибки при вводе данных, то программа выведет сообщение об ошибке.
При разработке интерфейса учитывалось, что бы он был понятным и удобным для пользователя. Как показывает практика, интерфейс сильно влияет на работу в приложении, поэтому фон выбран синий а цвет текста белый для более приятной работы в приложении.Menu -пользовательская форма программного продукта, которую пользователь видит при запуске программы. В Main Menu представлен весь список задач.
На рисунке 2 представлено главное
меня приложения Main Menu
Рисунок 2 Главное меню (Main Menu)
.3 Нахождение площади треугольника
В главном меню при выборе кнопки «Формула Герона» мы переходим к непосредственному решению задачи (вводу данных, получению решения).
На рисунке 2.1 представлена Panorama
Герона.
Рисунок 2.1 Меню площади
треугольника- Panorama Герона
На данной странице имеется несколько переменных, которым мы присваиваем значения, введенные в текст боксы.
Входными параметрами к данной задаче являются стороны треугольника. Они вводятся в переменные a,b и с соответственно.
Ответ, пользователь получает в окне «Ответ». Чуть ниже представлено числовое решение.
Данная задача решена по формуле
Герона, с помощью которой можно найти площадь треугольника по трем его
сторонам.
Где S-площадь треугольника;
а, b, c- стороны
треугольника;Полупериметр, который рассчитывается по формуле:
Ход выполнения программы представлен
на рисунке 2.2

.4 Нахождение площади круга
Задачу по нахождению площади круга, как и прошлую выбираем в главном меню, нажав на кнопку «Площадь круга» пользователь переходит в форму 2 где вводит входные данные в переменную R после чего нажав кнопку решить, получает ответ в отведенный TextBox
На рисунке 2.3 показана Panorama
Круг
Рисунок 2.3 Меню задачи «Площадь
круга» Panorama Круг
Окружность есть геометрическое место
точек плоскости, равноудаленных от одной ее точки. Равные отрезки, соединяющие
центр с точками окружности, называются радиусами. Круг есть часть плоскости,
лежащая внутри окружности. Площадь круга равна произведению полуокружности на
радиус, т.е.
, где
S= площади, R-радиус круга, а
=const=3,141592
Ход выполнения программы представлен
на рисунке 2.4
Рисунок 2.4 Схема программы решения
задачи нахождения площади круга
.5 Нахождение площади прямоугольного
треугольника
При выборе из главного меню кнопки «Прямоугольный треугольник» пользователь переходит к решению задачи по нахождению площади прямоугольного треугольника.
На рисунке 2.5 показана Panorama Прямоугольный треугольник.
программа геометрический задача
мобильный
Рисунок 2.5 Меню задачи «Площадь
прямоугольного треугольника»
Как и в первой программе, входными данными здесь являются стороны прямоугольного треугольника, но здесь вводить их все не обязательно, достаточно лишь 2-ух катетов a и b. Ответ представлен в строке под кнопкой «Найти площадь».
Так же в программе предусмотрено перемешивание переменных, т.е., введя площадь, вы можете найти любую из сторон треугольника. Это делает программу еще более универсальной.
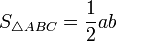
Площадь прямоугольного треугольника
равна половине произведения катетов треугольника: Данная формула, площади
прямоугольного треугольника, является частным видом общей формулы площади
треугольника.
Соответственно здесь a, b - катеты прямоугольного треугольника;площадь прямоугольного треугольника
Ход выполнения программы представлен
на рисунке 2.6
Рисунок 2.6 Блок-схема решения
задачи по нахождению площади прямоугольного треугольника
.6 Руководство пользователю
При открытии приложения мы видим
набор задач представленных в программе. Выбираются они обычным нажатием кнопки.
При переходе к решению вы должны ввести входные данные к задаче, например для
нахождения площади круга нужно ввести радиус. Он вводится в переменную R, нужно
нажать на строку и записать радиус с помощью сенсорной клавиатуры в телефоне.
Программа поддерживает числовые значения абсолютно любой длины и формата, будь
то десятичные дроби или целые числа. Если же вы введете тест или другие
символы, то программа выдаст сообщение об ошибке и попросит ввести вас
правильные данные. После ввода данных для решения задачи необходимо нажать
кнопку «Решить» и получить ответ в отведенное для этого окно. Получив ответ вы
можете разобрать решение сделав Swipe вправо. При надобности вы можете снова
решить задачу, для этого стоит просто ввести входные данные. Для перехода
обратно в главное меню нужно нажать кнопку «Назад» на сенсорной панели вашего
Nokia на платформе Windows Phone.
Заключение
В ходе выполнения данной работы была создана программа по решению геометрических задач таких как: Нахождение площади прямоугольного и произвольного треугольников, нахождение площади окружности.
Данный продукт позволяет закрепить полученные по геометрии знания, с помощью него можно генерировать множество вариантов задач. Программа обладает простым интерфейсом, что позволяет быстро познакомиться с ней и в дальнейшем ускорить работу.
Данной программой сможет воспользоваться любой обладатель телефона на платформе Windows Phone.
На этапах разработки программы я укрепил полученный знания по курсу информатика и программирование, познакомившись с языком HAML.- это абстрактный язык описания разметки для генерации XHTML документа. HAML написан на RUBY, но существуют так же реализации на других языках программирования.
Программа имеет практическое
применение.
Список литературных источников
1.Федин Ф.О., Пономарева Л.А. Методические указания по разработке курсовых работ: по дисциплине «Информатика и программирование»: М.,2012г.
.Касаткин В. Н. Информация. Алгоритмы. ЭВМ. - М.: Просвещение, 1991.
.Дэн Гукин: Word 2010 для чайников - Издательство "Диалектика", 2010, Мягкая обложка, 352 стр.
. Microsoft Word: Visual Basic for Application. Copyright 2002-2007 by Susan Doney Designs, 37 страниц
.Демидова Л.А., Пылкин А.Н. Программирование в среде Visual Basic
for Application: Практикум. - V.: Горячая линия - Телеком, 2004. - 175 с.
Приложение А
Public Class
PanoramaPage9PhoneApplicationPageSub New()()SubSub Button_Click(sender As
Object, e As
RoutedEventArgs).Navigate(NewUri("/trapring.xaml",UriKind.RelativeOrAbsolute))SubSub
Button_Click_1(sender As Object, e As
RoutedEventArgs).Navigate(NewUri("/FormulaGerona.xaml",UriKind.RelativeOrAbsolute))SubSub
Button_Click_2(sender As Object, e As RoutedEventArgs)
NavigationService.Navigate(NewUri("/PlKryg.xaml",UriKind.RelativeOrAbsolute))SubEnd
ClassSub Button_F_S_Click(sender As Object, e As RoutedEventArgs) Handles
Button_F_S.Clicka As Doubleb As Doublec As Double s As Doublep As Doublem As
Integer= text_a.Text()= text_b.Text= Text_c.Text= (a + b + c) / 2= Math.Sqrt(p
* (p - a) * (p - b) * (p - c))_o.Text = "Ответ - " &
CStr(s)_text.Text = "Решение - " & CStr(p) & " * ("
& CStr(p) & " - " & CStr(a) & ")" &
" * (" & CStr(p) & " - " & CStr(b) &
")" & " * (" & CStr(p) & " -
"_text.Text = Otvet_text.Text & CStr(c) & ")" &
" = " & CStr(s)SubSub Button_S_O_Click(sender As Object, e As
RoutedEventArgs) Handles Button_S_O.Clickr As Doubles As DoublePI As Double=
3.1415926535897931= Text_R.Text= r * r * PI_S_O.Text = CStr(s).Text =
"Решение - " & CStr(r) & " * " & CStr(r) &
" * (3.14)pi =" & CStr(s)SubPublic Class
PanoramaPage2PhoneApplicationPageSub New()()SubSub Butt_find_a_Click(sender As
Object, e As RoutedEventArgs) Handles Butt_find_a.Clicka As Doubleb As Doublec
As Doubleotv As Doubletextbox_b.Text = "" Or textbox_c.Text =
"" Then.Show("Вы не ввели ни b, ни c.")SubIf=
textbox_b.Text= textbox_c.Textb >= 0 And c >= 0 And b <> c Then=
Math.Sqrt(c * c - b * b)_1.Text = "Сторона a=" &
CStr(otv)_text.Text = "Решение - V(" & CStr(c) & " *
" & CStr(c) & " - " & CStr(b) & " * "
& CStr(b) & ") = " & CStr(a)IfSub
Отзыв научного руководителя
В курсовой работе студента группы
ПИНФ-ОД-2 Мамедова Н.Т. Работа соответствует заданию кафедры. Цель, задачи и
актуальность работы определены правильно. Спецификация требований к
создаваемому программному продукту, обоснование выбора среды разработки и языка
программирования не вызывают сомнения и соответствуют материалу, изучаемому в
рамках дисциплины «Информатика и программирование». По результатам курсовой
работы сформулированы правильные и аргументированные выводы. Работа хорошо
иллюстрирована.