Материал: Разработка операционной технологии предпосевной культивации почвы при возделывании овса

Внимание! Если размещение файла нарушает Ваши авторские права, то обязательно сообщите нам


Где g=2 кг\т, производительность W=10 т\ч, бак вместимостью Р= 200 л, пестицид-протравитель К=20 кг.

q = 2*10*200\60*20=3 л\мин

Отсюда деление шкалы для установки маховичка насоса-дозатора = 15

Для определения фактического расхода жидкости в бак опрыскивателя заливают воду и редукционным клапаном регулируют необходимое давление в напорной магистрали. Под один из распылителей подставляют емкость и собирают воду в течение нескольких минут. Разделив собранный объем жидкости на продолжительность опыта, находят ее фактический минутный расход через один распылитель. Если он отличается от расчетного, регулируют давление жидкости в нагнетательной магистрали и опыт проделывают до тех пор, пока не будет установлен необходимый расход.

Фактическую норму расхода ядохимиката в полевых условиях проверяют так. Определенным количеством ядохимиката заполняют бак и, как только он опорожняется, останавливают агрегат. После этого замеряют обработанную площадь, а фактический расход (л/га) получают делением количества израсходованной жидкости на обработанную площадь. Если расход жидкости требуется увеличить, давление в нагнетательной системе повышают, если уменьшить - понижают.

Подготовка машин для посева и посадки

Подготовка к работе рядовых сеялок с катушечными высевающими аппаратами

Сеялка должна обеспечивать требуемые нормы высева семян и внесения гранулированных удобрений: овес -100…250.кг/га. Отклонение фактического общего высева семян от заданной нормы высева допускается для зерновых не более ±3%. Отклонение фактического высева семян в отдельные рядки (отдельными высевающими аппаратами) от расчетного среднего значения не должно превышать ±6%. Суммарное дробление семян всеми высевающими аппаратами не должно превышать 0,2%. Сеялка должна обеспечивать заделку семян на глубину 30-80 мм. Количество семян, заделанных в слои почвы, расположенные выше и ниже установленной глубины, должно быть не менее 80%.

- семевысевающий аппарат; 2 - зернотуковый ящик; 3 туковысевающий аппарат; 4 - семяпроводы; 5 - опорно-приводное колесо; 6- подножка; 7 - загортачи; 8 - сошник; 9 - штанга с пружиной; 10 -спица; 11 - прицеп; 12 - винт регулировки заглубления; 13 - гидроцилиндр; 14 - винтовая стяжка.

Поверхность почвы после посева должна быть хорошо выравнена. Высота гребней и глубина борозд допускается не более 30 мм. Отклонение ширины стыковых междурядий от основных допускается не более ±5см.

Сеялка зернотуковая СЗ-3,6А предназначена для рядового посева семян зерновых культур (пшеница, рожь, ячмень, овес), зернобобовых культур (горох, фасоль, соя, чечевица, бобы, чина, нут, люпин) с одновременным внесением минеральных удобрений.

Схема механизма передач зернотуковой сеялки СЗ-3,6

А,Б,В,Г - зубчатые колеса привода туковысевающих аппаратов; Д,Е,Ж,И - зубчатые колеса привода семявысевающих аппаратов; О1, О2, О3 - отверстия для установки оси колес Б и В.

Норма высева задается регулировкой рабочей длины катушки, групповой регулировкой клапанов высевающих аппаратов и изменением частоты вращения вала высевающих аппаратов. Настройка нормы внесения удобрений производится рукояткой. Сошники лучше всего расстанавливать на установочной доске, на которой отмечают середину сеялки, предварительно подложив доску между ее колесами и совместив метку на ней с точкой отвеса середины сеялки. После этого ослабляют крепления поводков сошников и совмещают сошники с метками на установочной доске, нанесёнными с интервалами 30 см для сошников переднего и заднего рядов. Глубину заделки семян от 4 до 8 см регулируют, вращая винт регулятора. При этом гидроцилиндр выполняет функцию тяги постоянной длины.

Площадь поля засеянного за 1 оборот колеса равна:


S=3,14*1,18*1*3,6=13,3

Масса семян = 244/104  13,3 = 0,32

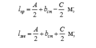
Вылет правого lпр и левого lлев маркеров:


lпр=3,6/2+0,15-1,4/2=1,25 м

lлев=3,6/2+0,15+1,4/2=2,65 м

Уборка и послеуборочная доработка урожая.

Зерноуборочные машины обеспечивают качественную уборку только в том случае, если их рабочие органы выбраны и отрегулированы в соответствии со свойствами убираемой культуры, а растения приспособлены для машинной уборки. Пригодность той или иной культуры к машинной уборке определяется физико-механическими свойствами и биологическими особенностями самих растений, а также их состоянием в период уборки. На работу зерноуборочных машин оказывают влияние строение органов растений, длина стеблей и густота стояния, полеглость, прочность, влажность, размеры и масса семян, массовое отношение зерна к незерновой части, фаза спелости, засоренность посевов.

Технология уборки овса прямым комбайнированием.

Овес возможно убирать однофазным способом (прямым комбайнированием) только в том случае, если зерно имеет влажность не более 25% и находится в фазе полной спелости, посевы не засорены, а стеблестой не слишком густой.Комбайн «Дон - 1500» состоит из жатвенной части, молотилки (молотильное, сепарирующее, очистительное и транспортирующее устройства), бункера с выгрузным устройством, моторно-силовой установки, ходовой части, кабины, гидравлической и электрической систем, автоматической системы контроля за работой основных рабочих органов. Молотильное устройство включает в себя обильный молотильный барабан, подбарабанье с увеличенной площадью сепарации, механизм регулировки подбарабанья и вариатор с автоматическим устройством натяжения приводного ремня в зависимости от создаваемой нагрузки. Молотильный барабан имеет десять бичей правого и левого направления рифов. Подбарабанье односекционное обратимое, сварной конструкции, с углом охвата 130 град.

Регулировка молотильного аппарата. Ее начинают с установки средней частоты вращения барабана, рекомендуемой для обмолачиваемой культуры и ее состояния. На уборке овса частоту вращения молотильного барабана устанавливают 750…900 мин-1 у первого и 800… 1000 мин-1 - у второго; зазоры - соответственно 20 и 8 мм, 22 и 6 и в середине 18 мм.Следует помнить, что при слишком больших зазорах увеличиваются потери из-за недомолота, а при малых происходит механическое повреждение зерна и перебивание соломы. Поэтому установленные вначале несколько завышенные молотильные зазоры постепенно уменьшают до тех пор, пока не будет достигнут хороший вымолот зерна. Регулировать молотильные зазоры нужно по одному и тому же бичу и с обеих сторон молотилки, для чего этот бич накручивают с торца и в дальнейшем по нему контролируют. Проверяют ступенчатым или универсальным щупом, а частоту вращения молотильного аппарата - по тахометру, шаблоном.Причиной повышенного дробления и плющения зерна может быть деформация кожухов элеваторов, спиралей шнеков, а также износ скребков. Косвенной причиной значительных механических повреждений часто является неправильная регулировка очистки, когда часть зерна циркулирует в молотилке (очистка - колосовой шнек - соломотряс или барабан - очистка). Степень очистки зернового вороха после соломотряса изменяют воздушным потоком и величиной открытия жалюзи решет.

Послеуборочная обработка включает комплекс последовательных операций, в результате которых улучшаются многие качественные показатели семян. Выделение примесей изменяет компонентный состав зерновой массы, ее физические свойства, т.е. в конечном счете послеуборочная подготовка зерна позволяет уменьшить потери и увеличить экономический эффект от производства продукции.

Технологическая схема послеуборочной обработки зерновых масс:

.       поток зерна от комбайна в кузове транспортного средства поступает на взвешивание;

2.      отбор проб на анализ в соответствии с правилами ГОСТа. Результаты заносятся в журнал лаборантом;

.        разгрузка и временное хранение;

.        предварительная очистка;

.        временное хранение в ожидании сушки;

.        сушка;

.        первичная очистка;

.        вторичная очистка.

Предварительная очистка проводится с целью увеличения стойкости зерна и обеспечения высокой эффективности последующей обработки. Она должна осуществляться незамедлительно при задержки с очисткой на 3-4 часа семена увлажняются на 1-2%.

Временное хранение- в завальных ямах, бункерах. Зерно может храниться 1-2 часа. Если сушилка занята, то есть 2 выхода: активное вентилирование- это интенсивное продувание неподвижной насыпи зерна холодным и подогретым воздухом нагнетаемым вентилятором. Прием не является обязательным, он применяется в зависимости от влажности поступающей зерновой массы; перемещение зернового вороха после предварительной очистки из одного бункера активного вентилирования в другое.

Сушка - обязательный процесс послеуборочной обработки, самая строгая технологическая операция. Задача - удалить избыточную влагу и довести зерно до сухого состояния.

Первичная очистка - предназначена для разделения зерна, прошедшего сушку на фракции: крупные семена мелкие семена, легкие примеси, мелкие и крупные примеси, продовольственное зерно, фуражное зерно. Машины первичной очистки разделяют зерно на фракции по длине, толщине, ширине, а также по удельному весу, аэродинамическим свойствам, поверхности и т.д.

Вторичная очистка (сортировка) - эта операция проводится с целью доведения зернового материала до требований первого и второго класса по чистоте. Сортированию подвергают только семенное и продовольственное зерно. Потери семян допускают не более 1 %, в том числе аспирационные отходы и крупные примеси не более 0,5 %.

6.     Разработка технологии и способа движения агрегата

МТЗ-80.1+ КПС 4

Очищают поле от посторонних предметов (камней, растительных остатков, веток и пр.) препятствующих качественному выполнению операцию.

Находят первый проход сеялки при посеве. Отсчетом от стыковых междурядий к центру рабочего захвата сеялки определяют междурядья, по которым должны перемещаться колеса трактора в агрегате с культиватором. Обозначают междурядья ветками или бороздками. Способ движения агрегата - челночный.

Схема подготовки участка к челночному способу движения: С - ширина участка; Е - поворотная полоса; К-К - контрольная линия; А-А - линия первого прохода агрегата

Способы движения:

- челночный; 2 - челночный односторонний

Алгоритм кинематических расчетов для гоновых способов движения

.       Для разбивки участка на загонки определяем оптимальную ширину загона:

Сопт= м.

2.     Определяем число холостых ходов (поворотов) агрегата при выполнении процесса:


nxx= 80/3,84- 1= 20,8

.       Определяем длину холостого ходаlxx:

a)      Для петлевого грушевидного поворота на 180при движении челночным способом она равна:


lxx=6*8+2*6,3=60,6 м

б) Для беспетлевого поворота на 180:


lxx =1,14*8+2*6,3=21,72 м

4.     Определяем суммарную длину холостых ходов агрегата:


Для петлевого грушевидного поворота:=81,4 м.

Для беспетлевого поворота:=42,52 м.

.       Определяем количество рабочих ходов:


npx= 80\3,84=20,8

.       Определяем ширину поворотной полосы с учетом кратности ширины захвата агрегата Е:

а ). Для петлевого грушевидного поворота минимальная ширина поворотной полосы равна:


Емин=3*8+6,3=30,3≈30 м

б ). Для беспетлевого поворота:


Емин= 1,5*8+6,3=18,3≈18 м

Ширина поворотной полосы:

Е=6*3,84=23,04

.       Определяем длину рабочих ходов:


lpx=700-2*23,04=16081,92 м.

8.     Определяем суммарную длину рабочих ходов:


Lpx=20,8*16081,92=334503,94 м.

.       Определяем коэффициент использования рабочих ходов:


Для петлевого грушевидного поворота:

= 334503,94/334503,94+81,4=0,99

Для беспетлевого поворота:

= 334503,94/334503,94+42,52=0,99

Предпочтение отдано способу движения для которого значение коэффициента выше, т.к. чем больше коэффициент рабочих ходов, тем меньше удельные затраты энергии (затраты на единицу выполненной работы), больше часовая производительность агрегата и меньше расход топлива на гектар. На величину коэффициента оказывает влияние радиус поворота агрегата, ширина поворотной полосы, длина выезда агрегата, а главное - длина гона, выбор способа движения и вида поворота агрегата. При длине гона 700м выгодно применять челночный петлевой грушевидный способ движения агрегата.

7.    
Разработка методики контроля и бальной оценки качества выполнения процесса

Контроль качества выполнения полевых работ должен быть оперативным, своевременным и действенным, постоянно находиться в центре внимания агронома, чтобы замеченные недостатки тут же были устранены.

Существуют два способа контроля качества выполненных работ: визуальный (глазомерный) и инструментальный.

Глазомерный способ оценки качества не дает надежной точности оценки, однако при высокой профессиональной подготовке и опыте контролера он может служить основой для объективного подхода. Более объективным является инструментальный способ. Для этого используются соответствующие приборы и приспособления, обеспечивающие достаточно высокие требования при оценке качества полевых работ (бороздомер, профилемер, квадратные рамки, линейки, рулетки и др.).