Материал: Разработка и тестирование программно-аппаратного модуля сбора данных в беспроводных сенсорах сетях

Внимание! Если размещение файла нарушает Ваши авторские права, то обязательно сообщите нам

Рис. 23. Подтверждение параметров

На рисунке 24 показано, что устройство создано. Для обеспечения безопасности Token закрыт.

Рис. 24. Устройство создано

На рисунках 25 и 26 показан созданный модуль в диспетчере устройств. На рисунке 25 он еще не подключен к облаку, на рисунке 26 - подключен.

Рис. 25. Модуль не подключен к облаку

Рис. 26. Модуль подключен к облаку

Далее для создания приложения необходимо на платформе выбрать internet of things platform starter. (Рис. 27)

Рис. 27. Выбор приложения

Окно создания приложения с параметрами (Рис. 28).

Рис. 28. Создание приложения

Приложение создано с подключенными сервисами (Рис. 29).

Рис. 29.Приложение создано

В результате создания приложения была написана простейшая программа в среде node-red, которая будет выводить полученные сообщения с модуля в окно отладки (Рис. 30).

Рис. 30. Простейшее приложение

На рисунках. 31 и 32 показаны параметры узла IBM и окно отладки.

Рис. 31. Параметры IBM IoT App in

Рис. 32. Окно отладки

Таким образом можно заключить в том, что программа функционирует нормально и выполняет возложенную на себя функцию - сбор данных с модуля. Дальше необходимо расширить функционал программы:

Добавление собранных данных в базу данных;

Уведомление превышении максимального значения по email;

Уведомление превышении максимального значения по sms;

Уведомление о значении менее минимального по email;

Уведомление о значении менее минимального по sms;

Визуализация собранных данных используя средства IBM Bluemix.

Внесение собираемых данных в базу

Собранные данные необходимо хранить в базе данных. IBM Bluemix предлагает широкий выбор баз данных: Cloudant NoSQL, Mongo, MySQL, PostgreSQL, ReThinkDB. ScyllaDB. (Рис. 33)

Рис. 33. Предлагаемые сервисы для работы с данными

Для решения наших задач будем использовать Cloudant NoSQL DB, так как IBM предоставляет бесплатный тариф для работы с данным сервисом (Рис. 34.)

Рис. 34. Тариф Lite Cloudant NoSQL BD

Cloudant NoSQL DB -услуга баз данных для современных web- и мобильных приложений работающих по JSON схеме. Cloudant является надстройкой Apache Couch DB и обеспечивает доступ через безопасный HTTPS API и масштабирование по мере необходимости.

После добавления Cloudant NoSQL DB и последующего добавления базы collection для хранения собранных данных, необходимо перейти по адресу <https://collection-module.mybluemix.net> по которому мы получим доступ к ранее созданному приложению и добавим запись собранных данных в ранее созданную базу collection. И опишем добавление записи в базу данных (Рис. 35)

Рис. 35. Блок записи получаемых данных в базу данных

Узел IBM IoT - представляет получение данных от модуля. Затем сообщение передается блоку dToPayload, в котором информация из блока данных переносится в нагрузку (это требуется для последующего узла) (Рис. 36).

Рис. 36. Блок dToPayload

Узел dToPayload передает сообщение в узел collection который сохраняет нагрузку сообщения в базу данных collection (Рис. 37 - 38).

Рис. 37. Панель Cloadant NoSQL DB

Рис. 38. Внесенные данные в базу

/e-mail уведомленияBluemix предоставляет возможность отправки уведомдений по электронной почте и/или по SMS. Для этого нужно модифицировать схему программы (Рис.39).

Рис. 39. Схема для отправки уведомлений

Узел IBM IoT передает получаемое сообщение узлу switch, который следуя из названия отвечает за разделение. В данном случае рассматривается два случая:

нарушение допустимого интервала ниже минимального;

нарушение допустимого интервала выше максимального.

В случае нарушения допустимого интервала узел switch передает полученное сообщение одной из двух пар узлов «CreateMessage» и «Create Text», которые обеспечивают необходимую предварительную модификацию сообщения для последующих узлов (Рис. 40. и Рис. 41.).

Рис. 40. Параметры узла «CreateMessage»

Рис. 41. Параметры узла «Create Text»

Затем был установлен узел ограничения отправки сообщения до 1 сообщения каждого типа в минуту. После чего сформированные сообщения передаются узлам отправки SMS/ e-mail. Отправка e-mail сообщений осуществляется по протоколу SMTP. Настройки узла представлены на рисунке 42.

Рис. 42. Параметры узла отправки e-mail сообщения

Рис. 43. Полученное e-mail сообщение

Отправку sms IBM Bluemix предоставляет через сторонний сервис Twilio. При регистрации в котором необходимо внести в приложение SID и токен аккаунта Twilio, а также предоставляемый номер для отправки сообщений (Рис. 43).

Рис. 44. Внесение в приложение параметров аккаунта twilio

Бесплатную отправку SMS twilio предоставляет на один подтвержденный номер, также текст сообщения обязательно должен быть написан латиницей. После внесение параметров аккаунта twilio нужно также настроить узел twilio. (Рис. 45 - 46)

Рис. 45. Настройка узла twilio

Рис. 46. Полученные SMS через сервис twilio

Построение графиков собранных данныхBluemix предоставляет простой инструмент для формирования различных графиков на основе собранных данных. Визуализация выполняется добавлением карточек на панель IBM Bluemix, при создании которой необходимо выбрать данные для визуализации и тип графика ля построения (Рис. 47.)

Рис. 47. Параметры карточки визуализации

Bluemix позволяет визуализировать данные с помощью линейчатых, круговых диаграмм, графиков, таблиц и шкалы (Рис. 48).

Рис. 48. Визуализация собираемых данных

Тестирование

Цель эксперимента: организовать сбор данных с ультразвукового дальномера HC-SR04, сохранение собранных данных в базу данных на сервере IBM Bluemix, построение графика на основе полученных данных, оповещение по электронной почте/SMS о выходе за предел допустимых значений.

Требования:

получение данных от датчика модулем

отправление данных на сервер IBM Bluemix;

данные доступны для просмотра через «облачный» сервис;

происходит оповещение SMS/Email.

Базовый тест

Отправление данных на Сервер IBM Bluemix (Рис. 49):

Рис. 49. Вывод в окно отладки полученные сообщения серверу IBM Bluemix

В программе установлены узлы Debug, которые выводят в окно отладки получаемые сообщения от модуля, таким образом можно убедиться в успешном получении данных сервером.

Визуализация собранных данных (Рис. 50):

Рис. 50. Собранные данные доступны для просмотра через «облачный» сервис в виде графика

Рис. 51. Собранные данные внесены в базу данных

Облачная программа заносит собираемые данные в базу данных. Таким образом доступен просмотр данных через облачный сервис в виде таблицы. Так же ведется построение графика собираемых данных в реальном времени (Рис. 51).

Отправка SMS/email (Рис. 53):

Рис. 52. E-mail оповещение

Рис. 53. Смс оповещение

Отправка сообщений производится при выходе за границу допустимого интервала. Таким образом, установив допустимый интервал 3...30 см, и, измеряя значения вне этого диапазона, будут отправляться уведомления посредством электронной почты и смс.

Обязательное оборудование

Таблица 5.

Обязательное оборудование

Наименование

Количество

Конвертер 5V-3,3V

1 шт.

Резистор 10 кОм

1 шт.

Макетная плата

1 шт.

Внешний аккумулятор 10000 mAh

1шт.

USB 2.0

1 шт.

Соединительные провода мама-мама 20см

20 шт.

Соединительные провода мама-папа 10см

20 шт.

ESP201 серии ESP8266

1 шт.

USB-TTL конвертер

1 шт.

Кнопка тактовая

1шт.

Ультразвуковой дальномер HC-SR04

1шт.

Персональный компьютер с USB 2.0

1 шт.

Заключение

В ходе выпускной квалификационной работы был разработан программно-аппаратный модуль сбора данных в беспроводной сенсорной сети. Были решены следующие поставленные задачи:

Проведен обзор и анализ существующих технических решений;

Проведено исследование способов решения и определение наилучшего способа для разработки программно-аппаратного модуля сбора данных;

Разработан программно-аппаратный модуль сбора данных;

Произведено тестирование программно-аппаратного модуля сбора данных.

Данный модуль разрабатывался двумя студентами Коробовым С.Е. и Соломатиной Т.А.

Соломатина Т.А. выполнила написание задания по аппаратной части программно-аппаратного модуля сбора данных, провела обзор и анализ существующих решений, спроектировала аппаратную часть, написала прошивку для модуля, обеспечила отправку собираемых данных на сервер IBM Bluemix.

Коробов С.Е. выполнил написание задание по программной части программно-аппаратного модуля сбора данных, произвел обзор и анализ платформ, спроектировал программную часть программно-аппаратного модуля сбора данных и обеспечил принятие отправляемых данных от аппаратной части. Обеспечил сохранение собираемых данных в базу данных, визуализацию собираемых данных, оповещение по email/SMS.

В результате было проведено совместное тестирование аппаратной и программной частей программно-аппаратного модуля.

Теоретическая и практическая значимости заключаются в разработке программно-аппаратного модуля сбора данных в беспроводной сенсорной сети. Данная разработка позволяет упростить сбор и анализ данных, а также позволяет улучшить качество сервисов путем визуализации собранных данных.

Разработанный программно-аппаратный модуль способен:

собирать данные;

анализировать собранные данные на облачном сервере;

визуализировать собранные данные на облачном сервере;

сохранять собранные данные в базу данных на облачном сервере.

Данный программно-аппаратный модуль может применяться в различных сферах деятельности человека, так как сбор данных есть ничто иное как мониторинг. Мониторинг применяется в таких сферах как логистика, экология, медицина и прочее. Данный модуль может использоваться как людьми со слабыми знаниями сетей, так как не требуется настраивать соединение между модулем и облаком, так и более квалифицированными людьми для макетирования, чтобы была возможность сосредоточиться на более важных задачах.

Задачи мониторинга еще долго не потеряют своей актуальности, так как мониторинг является неотъемлемой частью управления, и с ростом автоматизации потребность в мониторинге только растет. В будущем модуль может быть расширен платой GSM, для обеспечения связи даже вне зон действия Wi-Fi, а также будет улучшена энергоэффективность модуля и расширен набор поддерживаемых интерфейсов.

Список литературы

Сергиевский М.В., Сыроежкин С.Н. Использование беспроводных сенсорных сетей для сбора, передачи и обработки информации в системах мониторинга состояния объектов [статья] // Cloud of science. 2016. №1 С.125-136.

Олифер В. Г., Олифер Н. А. Компьютерные сети. Принципы, технологии, протоколы. [книга] 4-е изд. СПб: Питер, 2001.

Агафонов Н. Технологии беспроводной передачи данных ZigBee, BlueTooth, Wi-Fi [статья]//Беспроводные технологии. - 2006. - №. 2.

Технология LTE. URL: <#"897389.files/image054.jpg">


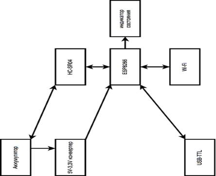
Приложение Б

Схема электрическая структурная