Материал: Расход энергоресурсов в современном сельскохозяйственном производстве

Внимание! Если размещение файла нарушает Ваши авторские права, то обязательно сообщите нам

Использование приведенных зависимостей позволяет разработать удельные энергозатраты для  уровня (процесса) и II уровня определения (сумма процессов по помещению).

Для птицеводческой отрасли, которая отличается большим разнообразием технологий содержания, типов оборудования, энергонасыщенностью, был применен методический подход разработки и использования нормативных характеристик мощности энергопотребителей от базовых показателей. Подробное изложение указанного метода приведено в прил.1.1. (а - для электропотребления, б - теплопотребления).

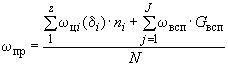
Нормативы расхода энергии по другим уровням организационной структуры.

Для III-V уровней определения удельных энергозатрат следует использовать средневзвешенные показатели.

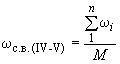
Для III уровня (цех, ферма) норматив расхода энергии определяют по формуле:

                                                                              (4)

где - норматив расхода энергии по помещению, содержащему живые объекты, кВт·ч/гол.; ккал/гол.;

поголовье животных (птицы) в помещении с соответствующими энергозатратами, гол.;

общее поголовье по цеху, ферме, гол.;

общее количество помещений в цехе (ферме).

Кроме помещений с животными, на предприятиях имеются различные вспомогательные цехи и службы, обеспечивающие технологический процесс производства (котельная, кормоцех, склады, ветеринарно-санитарные службы и т.д.). С учетом энергозатрат на эти службы средневзвешенный показатель можно получить по формуле:

                                                          (5)

где - удельные энергозатраты по цехам и помещениям, содержащим животных, кВт·ч/гол.; ккал/гол.;

Показатели в формуле (5) - удельные энергозатраты по цехам и помещениям, содержащим животных () и не содержащим животных, приведены только для птицеводческих предприятий. Для остальных животноводческих подотраслей удельные показатели по отдельным помещениям не выделялись, а были включены в общий норматив III уровня.

Разработка средневзвешенных энергозатрат для IV-V уровней осуществляется на основании анализа данных о поголовье скота и птицы по регионам и стране и его распределении по типам производств и технологиям содержания и определяется по формуле:

                                                                               (6)

где - средневзвешенные энергозатраты для IV-V уровней, кВт·ч/показатель, ккал/показатель;

1.4 Особенности определения энергозатрат для мобильных процессов

Для мобильных процессов в качестве моторного топлива могут применяться бензин, дизельное топливо или сжиженный газ.

Расход моторного топлива на транспортные операции зависит от массы перевозимого груза в течение технологического цикла, дальности перевозок, применяемых транспортных средств, дорожных условий. При определении энергозатрат для транспортных средств на 100 км пробега можно использовать следующую формулу:

                                                                               (7)

2. КОСВЕННЫЕ ЭНЕРГОЗАТРАТЫ

Косвенные затраты энергии включают:

производство исходного сырья и материалов, используемых в данном производстве (семена, корма, племенные животные и т.д.);

производство, транспортирование и внесение химических удобрений, средств защиты растений, лекарственных препаратов, вакцины и т.д.

В зависимости от границ рассматриваемой системы косвенные затраты могут переходить в разряд прямых (собственное производство кормов, выращивание племенных животных). Они учитываются суммированием соответствующих энергетических эквивалентов на производство сырья и материалов.

инвестиционный затраты энергия сельхозпредприятие

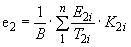
3. ИНВЕСТИЦИОННЫЕ ЭНЕРГОЗАТРАТЫ

Инвестиционные затраты энергии состоят из расходов топлива на строительство зданий и сооружений, производство машин и оборудования для сельского хозяйства.

Особенностью этой составляющей является то, что в процессе одного цикла сельскохозяйственного производства энергия, затраченная на эти средства, используется лишь частично. Для количественной оценки инвестиционной составляющей следует разделить величину энергозатрат для изготовления средств производства на срок их службы и умножить на время использования в течение одного технологического цикла.
 Инвестиционный показатель энергоемкости можно определить по формуле:

                                                                             (8)

где, е2 - расход первичных энергоресурсов на строительство зданий и сооружений и создание машин и оборудования для соответствующей сельскохозяйственной технологии;

/В нормативный срок службы зданий, сооружений, машин и оборудования;

К2i коэффициент участия в технологическом процессе.

Энергозатраты в растениеводстве.

Энергозатраты в растениеводстве прежде всего связаны с уровнем технологии производства основных видов сельхозпродукции и задействованной при этом техники.На техническое обеспечение идут основные материальные затраты в общем объеме расходов на производство продукции растениеводства. Составляющая энергоносителей в этом объеме является доминирующей.

Как видно из диаграммы, расходы на эксплуатацию техники составляют 31,7% от всех затрат. Причем 59,7% затрат на эксплуатацию составляют расходы на нефтепродукты.


Моторы ММЗ - путь к энергосбережению.

Исходя из того, что базой развития агропромышленного комплекса должно быть всестороннее использование передового отечественного опыта и опыта других стран, рассмотрим один из аспектов энергосбережения - применение современных двигателей (энергоустановок).

Наиболее эффективным методом уменьшения удельного расхода топлива (до 20%) является применение в дизельных моторах турбонаддува. Турбокомпрессорами оборудуются ныне все выпускаемые за рубежом дизели. Турбокомпрессор обеспечивает наддув-подачу под избыточным давлением (до 1,5 атм) воздуха в цилиндры двигателя. Увеличивая количество воздуха, а значит и кислорода, мы улучшаем эффективность сгорания топлива.

Эффективность сгорания топлива можно еще больше повысить, если воздух, выходящий из турбокомпрессора, перед цилиндрами охладить с помощью воздухо-воздушного радиатора. Плотность воздуха (содержание кислорода!) повышается за счет его охлаждения, что дает возможность более полно сжигать дозы топлива и, этим самым, получать те же мощностные характеристики двигателя, но при меньших дозах топлива.
При этом двигатель имеет меньший на 15-20%, по сравнению с безнаддувным, удельный расход топлива.

Указанные методы повышения экономичности и мощности успешно реализованы в двигателях серии Д-260.4, разработанных в 90-х годах Минским моторным заводом (ММЗ) для тракторов.

Для сравнения: мотор ЯМЗ-236М2 разрабатывался для автомобилей сорока годами ранее - в пятидесятых!

Минский 6-ти цилиндровый, рядный, а, значит, более уравновешенный тракторный двигатель, при большей мощности имеет меньший вес, более экономичен, чем двигатель ЯМЗ-236М2 (ЯМЗ-236Д).

На двигателе Д-260.4-432 применено современное однодисковое сцепление производства фирмы «LUK», Германия, как на двигателе Дойтц трактора ХТЗ-17021 и более современная двухступенчатая очистка воздуха с предочистителем.


Таблица

Параметры

ЯМЗ-236М2

ММЗ Д-260.4

Эксплутационная мощность, кВт (л.с.)

129 (175,4)

148 (201,3) +14,7%

Номинальная частота вращения коленчатого вала, мин-1

2086

2070

Удельный расход топлива, г/кВт•час

252

216 -16,6%

Максимальный крутящий момент, Н•м

687

813+18,3%


Опыт хозяйств уже эксплуатирующих трактора ХТЗ и ХТА-200 «Слобожанец» с минскими моторами Д-260.4 (а таких по полям Украины и России ходит более 700) показывает, что за день работы на пахоте экономится до 40-60 литров дизтоплива по сравнению с тракторами, оборудованными моторами ЯМЗ при выполнении одинаковых работ. Кроме того, трактор с минским, более мощным (210 л.с.) двигателем, вспахивает 10 га поля за то же время, за которое трактор с мотором ЯМЗ-236 вспахивает только 8 га такого же поля, т.е. с применением мотора ММЗ производительность трактора растет на 20%.

Сэкономленного одним трактором с мотором ММЗ Д-260.4 за день топлива хватает, по стоимости, на оплату труда двух трактористов.

ЗАКЛЮЧЕНИЕ

Очевидно, что стратегия развития страны должна опираться на реализацию человеческого потенциала, наиболее эффективное применение знаний и умений людей для постоянного улучшения технологий, экономических результатов, жизни общества в целом.

СПИСОК ИСПОЛЬЗУЕМОЙ ЛИТЕРАТУРЫ

1.   Е.К.Маркелова - Создание и внедрение систем энергоуправления. 2007-2009 гг.

2.      А.И. Завражнов - Современные проблемы науки и производства в агроинженерии. МОСКВА 2013

.        В.С.Горбачев (Минсельхоз России) «Методические указания и материалы» 2006.

4.   Управление энергоактивами - EPCM модель. А.В.Тихомиров, Р.В.Тузова.

5.      Ерохин М.Н., Пучин Е.А. Машинно-технологические станции- резерв технического и экономического развития АПК. Монография.-М: ФГБОУ ВПО МГАУ, 2008.

.        Справочник инженера по техническому сервису машин и оборудования В АПК.-М.: ФГНУ «Росинформагротех», 2003.-604с.