РАСЧЕТНО-ГРАФИЧЕСКАЯ РАБОТА ПО ФИНАНСОВОЙ МАТЕМАТИКЕ
В задании А – 7, В – 9.
Банк начисляет проценты по сложной схеме за целое число лет и по простой – за дробную часть года. Процентная ставка составляет 18 процентов годовых. 15 марта 2013 года вклад составил 5000 руб. Чему будет равен вклад 17 ноября 2014 года?
Решение:
Вклад хранился 1 год (с 15 марта 2013 года по 14 марта 2014 года) и еще 248 дня. Таким образом, срок составляет 1+248/365 лет. Вклад будет равен
5000(1+0.18)*(1+0.18248/365)=6621,58 руб.
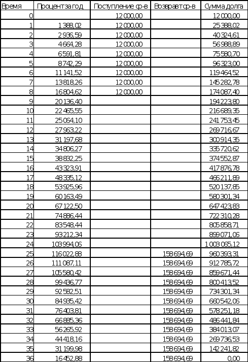
Ссуда предоставлялась в течение 9 лет 2 января каждого года по 12 тыс. руб. Погашение ссуды начинается через 17 лет после окончании получения ссуды. Погашение производится равными выплатами в течение 12 лет, суммы вносятся ежегодно 2 января. Найти размеры погашающих сумм, если ссуда выдана под 11 процента годовых, выплачиваемых 11 раз в год. Составить график погашения ссуды.
Решение.
Дана
номинальная процентная ставка i(11)=0.11.
Эффективную процентную ставку найдем
из равенства 1+i=
;
i=0,116 Дисконт-множитель
найдем по формуле v=1/(1+0.116)=0.896.
Дисконтируем все выплаты к моменту
первого поступления ссуды. Дисконтированный
размер ссуды равен
.
Если каждая из погашающих сумм равна
Х, то дисконтированная величина погашающих
сумм равна
.
Приравнивая, получим
=
.
Отсюда,

руб.
|
i= |
0,115668347 |
|
v= |
0,896323718 |
|
x= |
158694,6945 |
Составим график поступления ссуды и погашения задолженности.

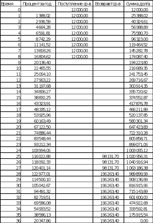
В условиях предоставления ссуды из задания 2 погашающая сумма возрастает в 2 раза после трех выплат. Найти размеры выплат. Составить график погашения ссуды.
Решение. Пусть выплаты за первые 3 года погашения равны Х. Тогда выплаты за следующие 3 года равны 2Х. Должно выполняться равенство
.
Отсюда
.
![]()
График поступления средств и возврата ссуды имеет вид

4. Проверить доходность инвестиционного проекта (100, 200, 300, 100, 400) и найти минимум средств для его финансирования при 17% ставке. Найти индекс рентабельности и срок окупаемости.
Решение. Найдем значение NPV(С,0.17), где С данный проект.v=1/(1+0.17)=0.8,
NPV(С,0.17)=
100+200v+300v2100v3+400v4=
100+2000.8+300
100
+400
=262,24>0.
=>Проект является прибыльным.
Для определения минимума средств MC(C,0.17) для финансирования проекта рассмотрим неравенства
F1000, F100+200v+300v2100v30, соответствующие моментам времени, когда средства надо выплачивать.
Из
первого неравенства F100,
из второго F=1002000.8300
+100
=
-440.8.
Выбирая максимальное из допустимых значений F, получаем: минимум средств равен 100.
Индекс рентабельности IR равен эффекту от вложения единицы средств и равен NPV(С,0.17)/MC(C,0.17)=2.6224.
Для определения срока окупаемости сравним величины 100, 100+200v=60, 100+200v+300v2=252,6 , 100+200v+300v2100v3=200.8, 100+200v+300v2100v3+400v4=364,64.
Отсюда, начиная со второго года, проект дает только прибыль. Значит, срок окупаемости равен одному году.
5. Из инвестиционных проектов (50, 150, 120, 200, 200), (100, 100, 150, 300, 200), (80, 120, 300, 200, 250), (50, 200, 300, 300, 200)
составить оптимальный портфель при жестких и гибких предложениях, начальных капиталах 300 и 500 и эффективной процентной ставке, равной 13.
Решение.
Для каждого из данных проектов определим
NPV и минимум средств,
необходимых для его финансирования.
Дисконт-множитель равен.
=0.88
Cоставим таблицу следующего вида:
|
Проект |
NPV |
Мин. средств |
Рентабельность |
|
1 |
297,26 |
182 |
1,63 |
|
2 |
368,70 |
188 |
1,96 |
|
3 |
431,07 |
185,6 |
2,32 |
|
4 |
241,33 |
161,6 |
1,49 |
Приведем вычисления для первого проекта: NPV=50 150v+ 120v2+200v3+200v4=297,26, минимум средств равен 182.
При жестких предложениях при начальном капитале 300 мы можем финансировать каждый из четырех проектов. Из проектов следует выбрать более прибыльный, т.е. третий. При начальном капитале 500 инвестор в состоянии профинансировать любые 2 проекта, лучше всего второй и третий.
При гибких предложениях: при начальном капитале 300:мы полностью финансируем 3 проект и (300-185,6)/188=60,8% второго проекта. При начальном капитале 500 финансируем 2 и 3 проекты и (500-185,6-188)/182=69,5% первого проекта.