Материал: Расчет тарельчатого абсорбера для поглощения паров ацетона водой

Внимание! Если размещение файла нарушает Ваши авторские права, то обязательно сообщите нам

Расчет тарельчатого абсорбера для поглощения паров ацетона водой

Содержание

Техническое задание

. Технологический расчет

. Гидравлический расчёт

3. Конструктивный расчет

Заключение

Список использованных источников

Техническое задание

Рассчитать и спроектировать абсорбер с ситчатыми тарелками, работающие при атмосферном давлении для поглощения паров ацетона из паровоздушной смеси при t = 22°C. Количество паровоздушной смеси, подаваемой в абсорбер V=12 000 м³/ч. Содержание ацетона в паровоздушной смеси 10% об. В абсорбере улавливается 98% ацетона. Растворимость ацетона подчиняется закону Рауля. Абсорбер тарельчатый колпачковый.

1. Технологический расчет

Определение условий равновесия процесса

Определение массы поглощаемого вещества и расхода поглотителя пары ацетона - воздух- вода.

, ,

Относительная массовая концентрация паров ацетона в воздухе начальная.


Относительная массовая концентрация паров ацетона в воздухе конечная.

 

Равновесную концентрацию рассчитываем по закону Рауля:


,где  - давление насыщенных паров ацетона(при T=22 C)

 - давление в абсорбере.

Равновесная концентрация ацетона в воде конечная:


Конечную концентрацию Хк определяют из уравнения материального баланса:


Построение рабочей линии

Так как рабочая линия является прямой линией, то для ее построения необходимо знать координаты двух её точек.

0

0,004

0,56

0,222


Координаты для построения линии равновесия

00,004



0,84

0,222


Пересчитаем весовую долю ацетона в мольные на входе в абсорбер:


Молекулярная масса исходной смеси на входе в абсорбер:


Плотность газовой смеси при н.у.:


Плотность газовой смеси при рабочих условиях:


Расход газа по условиям в абсорбере


Производительность абсорбера по поглощаемому компоненту:


Расход поглотителя (воды):


Удельный расход поглотителя:


Расчет движущей силы процесса

Определяем движущую силу внизу аппарата:


Определяем движущую силу вверху аппарата:


Средняя движущая сила определится:


Расчет скорости газа и диаметра абсорбера

Выбраны колпачковые тарелки.

Для них рабочая скорость газа можно рассчитать по уравнению:

где  - диаметр колпачка, м;

 - расстояние от верха колпачка до следующей тарелки, м;

 плотность жидкой фазы, кг/м3;

Рассчитаем плотность газовой фазы.

Средняя мольная концентрация:


Плотность воздуха при рабочих условиях:


Плотность паров ацетона при рабочих условиях:


Средняя плотность газовой фазы при рабочих условиях:


Рассчитаем плотность жидкой фазы.

Средняя мольная концентрация:


Плотность воды при рабочих условиях (из справочника):


Плотность ацетона при рабочих условиях


Средняя плотность жидкой фазы при рабочих условиях:


Предварительно зададимся по [1]:

диаметром аппарат ,

диаметром колпачка ,

высотой колпачка  

Расстоянием между тарелками ,

Расстоянием от колпачка до тарелки

Рассчитаем скорость газа по уравнению:


Диаметр аппарата будет равен:


Принимаем стандартный диаметр из ряда диаметров колонн


Выбранный и полученный диаметры колонн не совпали, значит требуется провести уточнённый перерасчёт. Но по [1] аппарат с  имеет те же самые расчётные данные, что и аппарат с , а значит пересчёт не требуется.

Значит диаметр аппарата:


Уточнение скорости газовой смеси в аппарате:


Характеристика стандартной тарелки (ТСК-Р - 2200)

Диаметр колпачка

Количество колпачков

Свободное сечение тарелки

Высота переливного порога

Рабочее сечение тарелки

Масса тарелки , 186 кг

Периметр слива(ширина переливной перегородки)

Расчет коэффициентов массоотдачи.

Коэффициенты молекулярной диффузии для газа и жидкости:

абсорбер пар массоотдача

 - учитывает ассоциацию молекул растворителя (для воды)

 - мольная масса растворителя

мольные объёмы газов:

νац = 74 см3/атом

νвозд = 29,9 см3/атом

Рассчитаем по формулам:


Расчет ßx и ßy проводится по формулам:



Вязкость жидкости находим по уравнению:


где µxa и µxa вязкость жидких ацетона и воды при температуре абсорбции

µxa = 0,319 мПа*с при 22ºС

µxвод = 0,98 мПа*с при 22º С

откуда  = 71,6 мПа*с

Вязкость газовой фазы рассчитывается по приближенной формуле

аддитивности:

µв = 18,23 мкПа с - вязкость воздуха при 22 0С

µа = 7,41 мкПа с - вязкость паров ацетона при 22 0С


Рассчитаем коэффициенты массоотдачи:


Для получения выбранной размерности умножим коэффициенты массоотдачи на плотности фаз:

βу = 0,46*(ρу - yср) = 0,46*(1,35 - 0,123) = 0,56 кг/м2с

βх = 0,00038*(ρх - xср* ρх) = 0,00038*(929 - 0,28*929) = 0,254 кг/м2с

Следовательно, коэффициент массопередачи :


где - тангенс угла наклона к линии равновесия


Расчет числа тарелок абсорбера

Число тарелок абсорбера находим по уравнению. Суммарная площадь тарелок F равна:


Рабочую площадь тарелок с перетоками f определяют с учетом площади, занятым переливными устройствами:

= φ*0,785*d2

где φ - доля рабочей площади тарелки, примем φ=0,9;

Рассчитаем рабочую площадь одной тарелки по уравнению


Тогда требуемое число тарелок определяют делением суммарной площади тарелок F на рабочую площадь одной тарелки f:

принимаем 34 тарелки

Определение высоты абсорбера

Расстояние между тарелками предварительно зададимся[3]:

Проверим брызгоунос:


Где  коэффициенты, зависящие от типа тарелки.

 - поверхностное натяжение.

Высота подпора жидкости над сливным устройством:

 - объемный расход воды.


Условия выполняются.(0,1>0.097)

Высота колонны:

Н = Нт(n-1)+(Нл - Нт )u+Z1+Z2

Нл = 900 - расстояние между тарелками в месте установки люка, =16 - кол-во люков между тарелками.

где Нт = 0,6 м - расстояние между тарелками;= 1 м - высота сепарационного пространства;= 2,5 м - высота кубового пространства.

Н = 0,6(34-1)+(0.9-0.6)*16+1+2,5 = 28.1 м

. Гидравлический расчет колонны

Гидравлическое сопротивление сухой тарелки

ΔРс = ζw2ρг/2Fc 2

где - коэффициент сопротивления тарелки с диаметром колпачка Dk=0.1 м;= 0,123 - относительное свободное сечение колонны.

ΔРс = 3,1∙1,182∙1,35/2∙0,1232 = 192.584 Па

Гидравлическое сопротивление обусловленное силами поверхностного натяжения:

ΔРσ = 4σ/Dk = 4∙0,07/0,1 = 2.8 Па

где σ = 0,0663 Н/м - поверхностное натяжение воды;

Гидравлическое сопротивление газожидкостного слоя:

ΔРсл = ρж·g·h0 = 929∙9,8∙0,034 = 309,9 Па

Полное сопротивление тарелки:

ΔРт = ΔРс+ΔРσ+ΔРсл = 505,094 Па.

Полное сопротивление колонны:

ΔРа = 505.094∙34 = 17 170 Па.

Расчёт потерь давления на местные сопротивления ()


Полное гидравлическое сопротивление абсорбера:


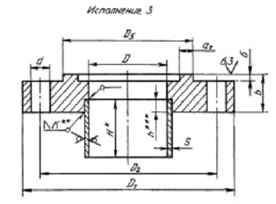
. Конструктивный расчет

Так как водный раствор ацетона при температуре 22 С° является коррозионно активным веществом, то в качестве конструкционного материала для основных деталей выбираем сталь 12Х18Н10Т ГОСТ 5632-72, обладающую необходимыми конструкционными свойствами.

Толщина обечайки:


sд = 165 МН/м2 - допускаемое напряжениe,= 0.101325 Мпа - давление в абсорбере,

j = 0,8 - коэффициент ослабления из-за сварного шва,

Поправка на коррозию рассчитывается:

 - коррозионная проницаемость;

 - амортизационный срок службы;


Согласно рекомендациям принимаем толщину обечайки d = 8 мм.



Расчет днища.

j = 1 - для днищ, изготовленных из цельной заготовки


По ГОСТ 6533 - 78 примем толщину стенки днища dдн = 8 мм.

= 40 мм= 550 мм

Масса днища mд = 350 кг.

Объем днища Vд = 0.15395 м3.

Расчет фланцевого соединения

Соединение обечайки с днищами осуществляется с помощью плоских приварных фланцев по ГОСТ 28759.2-90:

= 2330 мм= 2290 мм= 2246 мм= 55 мм

а1 = 14 мм= 10 мм= 23 ммусл = 0,3 МПа

Диаметр болтов - M20,

Количество болтов z = 72

Расчет условного диаметра штуцеров.

Условный диаметр рассчитываем исходя из объемного расхода и рекомендуемой скорости движения среды. Рекомендуемые скорости примем для газа , для жидкости .

Диаметр штуцера определяем по формуле:


где объёмный расход фазы.

Диаметр штуцера для входа и выхода жидкости:


Принимаем

Диаметр штуцера для входа и выхода газа:

Принимаем

Все штуцера снабжаются плоскими приварными фланцами по ГОСТ 12820-80,


dусл

D

D2

D1

h

n

d

50

140

110

59

13

4

М14

500

620

580

544

25

20

М20


Расчет опоры аппарата.

Аппараты вертикального типа с соотношением Н/D > 5,

размещаемые на открытых площадках, оснащают так называемыми

юбочными цилиндрическими опорами.

Ориентировочная масса аппарата.

Масса обечайки


где Dн = 2,216 м - наружный диаметр колонны;

Dвн = 2,2 м - внутренний диаметр колонны;

Ноб = 28,1 м - высота цилиндрической части колонны

ρ = 7900 кг/м3 - плотность стали

Общая масса колонны. Принимаем, что масса вспомогательных устройств (штуцеров, измерительных приборов, люков и т.д.) составляет 10% от основной массы колонны, тогда

к = 1.1(mоб + mт + 2mд )= 1,1(12312.7+34∙186+2·350) = 21 270 кг

Масса колонны заполненной водой при гидроиспытании.

Масса воды при гидроиспытании

в = 1000(0,785D2Hц.об+2Vд) = 1000(0,785·2.22·28.1 + 2·0.15395) = 107071 кг

Максимальный вес колонны



Примем по ОСТ 26-467-84:

Опора 2-2200-1,6-0,8-2300 = 2.1 м, = 2,38 м.= 2.5 м= 8 мм= 25 мм= 25 мм= 60 мм

Фундаметные болты - M36 ГОСТ 24379.1-80

Количество болтов z = 16

Площадь опорного кольца

А = 0,785(D32 - D12) = 0,785(2,52 - 2,12) = 1.444 м2

Удельная нагрузка опоры на фундамент

s = Q/A = 1.26/1.444 = 0.872 МПа < [s] = 15 МПа - для бетонного фундамента.

Заключение

В данном курсовом проекте был рассчитан тарельчатый абсорбер для поглощения паров ацетона водой и сделан чертеж общего вида аппарата с разрезами. Из полученных результатов, можно сделать вывод, что рассчитанный абсорбер получился средней высоты и с достаточно большим гидравлическим сопротивлением.

В процессе выполнения курсового проекта были проведены расчёты: материального баланса, скорости газа и диаметра колонны, определение числа тарелок и механические расчеты.

В результате расчетов я получил тарельчатый абсорбер диаметром 2200 мм, высотой 28.1 м с количеством колпачковых тарелок (типа ТСК-Р) равным 34.

Список использованных источников

1. Павлов К.Ф., Романков П.Г., Носков А.А. Примеры и задачи по курсу ПАХТ: Учебное пособие для вузов/ Под редакцией чл-корр. АН СССР П.Г. Романкова. -9-е изд., перераб. и доп. -Л.: Химия, 1981. - 560с., ил.

. Лащинский А.А., Толчинский А.Р. Основы конструирования и расчёта химической аппаратуры. Л.: Машиностроение, 1970. - 752 с.

. Основные процессы и аппараты химической технологии. Пособие по проектированию/ Под ред. Ю.И. Дытнерского. - М.: Химия, 1983-272с., ил.

. Рамм В.М. Абсорбция газов. М. : Химия, 1975. 655 с.

. Разработка конструкции химического аппарата и его графической модели. Методические указания. - Иваново, 2004

. Учебно-методические указания по выполнению курсовой работы

по дисциплине «Процессы и аппараты нефтегазопереработки и нефтехи-мии» /Составители Хафизов Ф.Ш., Фасхутдинов Р.Р., Ибрагимов Р.Р. - Уфа, 2009