Из рисунка 3:
Определим нагрузку на оборудование.
Нагрузка на калорифер первого подогрева:
Нагрузка на камеру орошения:
Нагрузка на калорифер второго подогрева:
Суммарная нагрузка на оборудование:
Рисунок 3. Процесс обработки воздуха в СКВ с одной рециркуляцией
в
теплый период года
9.2 Холодный период
Минимальный массовый расход наружного воздуха:
Массовый расход приточного воздуха:
На рисунке 4 в i-d диаграмме изображен процесс обработки воздуха в СКВ с двумя рециркуляциями для холодного периода года.
Из рисунка 4 видно, что точка смеси
попала
в область тумана,значит воздух необходимо дополнительно подогреть в калорифере.
Подогреем наружный воздух до
и
смешаем его с внутренним.
Подогреем смешанный воздух в калорифере второго
подогрева и смешаем его с внутренним воздухом второй раз.
Из рисунка 4:
Определим нагрузку на оборудование.
Нагрузка на калорифер первого подогрева:
Нагрузка на камеру орошения:
Нагрузка на калорифер второго подогрева:
Суммарная нагрузка на оборудование:
Рисунок 4. Процесс обработки воздуха в СКВ с
двумя рециркуляциями в холодный период года
10. Аэродинамический расчет
Для того, чтобы выполнить аэродинамический расчет вычерчиваем расчетную аксонометрическую схему системы вентиляции.
Расчетную схему разбиваем на участки. Получили 4 симметричные секции по 11 участков.
В нашем случае расчетным периодом будет являться холодный период.
Количество приточного воздуха
будет
подаваться из четырех приточных камер.
Расход каждой приточной камеры:
Участок №1.
Длина участка:
Расход приточного воздуха:
Зададимся рекомендуемой скоростью воздуха
.
Для магистралей скорость воздуха можно принять
Находим площадь сечения воздуховода:
Находим диаметр воздуховода:
Ближайший стандартный диаметр воздуховода:
Находим действительную площадь сечения
воздуховода:
Находим действительную скорость воздуха:
Воздуховод сделан из стали, следовательно,
дополнительная поправка на шероховатость:
Находим критерий Рейнольдса на данном участке воздуховода:
где
-
кинематическая вязкость воздуха (принимаем
);
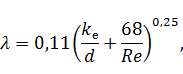
Коэффициент гидравлического трения найдем по
формуле Альтшуля:
где
-абсолютная
эквивалентная шероховатость воздуховодов из стали (принимаем
);
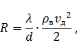
Определяем удельные потери давления на трение:
где
- плотность воздуха (принимаем
);
Определяем динамическое давление:
Полные потери давления на трение:
Находим сумму коэффициентов местных
сопротивлений:
где
-
коэффициент местного сопротивления при повороте воздуховода на 90 градусов
(принимаем
);
Потери давления на местных сопротивлениях:
Суммарные потери давления на данном участке:
Участок №2.
Длина участка:
Расход приточного воздуха:
Зададимся рекомендуемой скоростью воздуха
.
Для ответвлений скорость воздуха можно принять
Находим площадь сечения воздуховода:
Находим диаметр воздуховода:
Ближайший стандартный диаметр воздуховода:
Находим действительную площадь сечения
воздуховода:
Находим действительную скорость воздуха:
Воздуховод сделан из стали, следовательно, дополнительная поправка на шероховатость:
Находим критерий Рейнольдса на данном участке
воздуховода:
Коэффициент гидравлического трения найдем по
формуле Альтшуля:
Определяем удельные потери давления на трение:
Определяем динамическое давление:
Полные потери давления на трение:
Находим сумму коэффициентов местных
сопротивлений:
где
-
коэффициент местного сопротивления тройника на проход (принимаем
);
Потери давления на местных сопротивлениях:
Суммарные потери давления на данном участке:
Участок №3.
Длина участка:
Расход приточного воздуха:
Зададимся рекомендуемой скоростью воздуха
.
Для ответвлений скорость воздуха можно принять
Находим площадь сечения воздуховода:
Находим диаметр воздуховода:
Ближайший стандартный диаметр воздуховода:
Находим действительную площадь сечения
воздуховода:
Находим действительную скорость воздуха:
Воздуховод сделан из стали, следовательно,
дополнительная поправка на шероховатость:
Находим критерий Рейнольдса на данном участке воздуховода:
Коэффициент гидравлического трения найдем по
формуле Альтшуля:
Определяем удельные потери давления на трение:
Определяем динамическое давление:
Полные потери давления на трение:
Находим сумму коэффициентов местных
сопротивлений:
где
-
коэффициент местного сопротивления тройника на проход (принимаем
);
Потери давления на местных сопротивлениях:
Суммарные потери давления на данном участке:
Участок №4.
Длина участка:
Расход приточного воздуха:
Зададимся рекомендуемой скоростью воздуха
.
Для ответвлений скорость воздуха можно принять
Находим площадь сечения воздуховода:
Находим диаметр воздуховода:
Ближайший стандартный диаметр воздуховода:
Находим действительную площадь сечения
воздуховода:
Находим действительную скорость воздуха:
Воздуховод сделан из стали, следовательно,
дополнительная поправка на шероховатость:
Находим критерий Рейнольдса на данном участке
воздуховода:

Коэффициент гидравлического трения найдем по
формуле Альтшуля:
Определяем удельные потери давления на трение:
Определяем динамическое давление:
Полные потери давления на трение:
Находим сумму коэффициентов местных
сопротивлений:
Потери давления на местных сопротивлениях:
Суммарные потери давления на данном участке: