Материал: Расчет системы вентиляции промышленного здания

Внимание! Если размещение файла нарушает Ваши авторские права, то обязательно сообщите нам

Расчет системы вентиляции промышленного здания

МИНИСТЕРСТВО ОБРАЗОВАНИЯ И НАУКИ РОССИЙСКОЙ ФЕДЕРАЦИИ

ФЕДЕРАЛЬНОЕ ГОСУДАРСТВЕННОЕ БЮДЖЕТНОЕ ОБРАЗОВАТЕЛЬНОЕ

УЧРЕЖДЕНИЕ ВЫСШЕГО ПРОФЕССИОНАЛЬНОГО ОБРАЗОВАНИЯ

«ЛИПЕЦКИЙ ГОСУДАРСТВЕННЫЙ ТЕХНИЧЕСКИЙ УНИВЕРСИТЕТ»

Кафедра промышленной теплоэнергетики


Курсовая работа

по дисциплине:

«Вентиляция и кондиционирование промышленных зданий»

Расчет системы вентиляции промышленного здания


Задание на первую часть

Кузнечный цех, город - Тула.

В промышленном здании (производственном помещении) объемом

работают человек. В помещении поддерживаются параметры внутреннего воздуха на уровне точки Избытки явного тепла от оборудования составляют . Выделение влаги

. Также в помещении выделяются пары бензола и толуола, расход которых составляет . В помещении работает местная система вентиляции (местные отсосы), их производительность . Инфильтрация воздуха снаружи . Определить необходимое

количество приточного воздуха, который должен обеспечить кондиционер (система вентиляции). Определить минимальный расход наружного воздуха.

Освещение в цеху - люминесцентные лампы.

Остекление - одинарное в деревянных переплетах. Площадь остекления - .

Ориентация здания: юго-запад; северо-восток.

вентиляция тепловой кондиционирование промышленный

1. Составление теплового баланса помещения

Кузнечный цех относится к категории работ средней тяжести (категория IIб).

Показатели микроклимата внутреннего воздуха на рабочих местах производственного помещения для данной категории работы (СанПиН2.2.4.548-96 «Гигиенические требования к микроклимату

производственных помещений»):

температура:


относительная влажность:


скорость движения воздуха:


1.1    Теплопоступления от людей


где - количество людей;

 - тепловыделения одним взрослым человеком - мужчиной

(принимаем );

- коэффициент, характеризующий пол человека (для мужчин );


.2 Тепловыделения от искусственного освещения


где - нормируемая освещенность помещения (принимаем );

 - площадь пола помещения;

- удельные тепловыделения от люминесцентных ламп (принимаем

0,067 );

- доля теплоты, поступающей в помещение (принимаем );


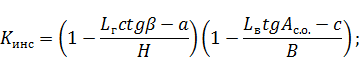
.3 Теплопоступления через заполнение световых проемов


где  - теплопоступления за счет солнечной радиации через

вертикального заполнения световых проемов;

 - площадь остекления;


где  - количество теплоты прямой и рассеянной солнечной радиации, поступающей в помещение в расчетный час через одинарное вертикальное остекление световых проемов;

 - коэффициент инсоляции;

 - коэффициент облучения;

 - коэффициент относительного проникания солнечной радиации

через заполнение светового проема (принимаем );

 - коэффициент, учитывающий затенение светового проема

переплетами (принимаем ).

Географические координаты города Тула:

.

Расчетное время: 15-16 часов.

.3.1 Юго-западная сторона


где  - размеры горизонтального и вертикального выступающих

элементов затенения (откосов);

 - высота и ширина светового проема;

- расстояния от горизонтального и вертикального элементов

затенения до откоса светового проема;

 - угол между вертикальной плоскостью остекления и проекцией

солнечного луча на вертикальную плоскость, перпендикулярную рассматриваемой плоскости остекления;

 - солнечный азимут остекления;

На юго-западной стороне находятся 3 окна. Площадь каждого окна - , площадь всего остекления юго-западной стороны - .


где  - высота солнца в июле (принимаем ).

Азимут солнца:


Солнечный азимут остекления:


где - коэффициенты облучения для горизонтальной и

вертикальной солнцезащитной конструкции, зависящие от углов  и ;


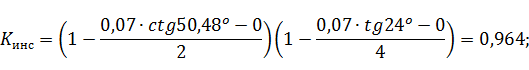
.3.2 Северо-восточная сторона


На северо-восточной стороне находятся 2 окна. Площадь каждого окна - , площадь всего остекления юго-западной стороны - .



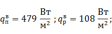
1.3.3 Суммарные теплопоступления через заполнение световых проемов


.4 Теплопоступления через массивные ограждающие конструкции


где  - площадь массивной ограждающей конструкции (покрытия);

- средняя температура наружного воздуха в июле (принимаем = );

 - коэффициент поглощения солнечной радиации поверхностью ограждающей конструкции (ПоСНиП II-3-79* <<Строительная теплотехника>> принимаем );

- средние суточные количества теплоты суммарной (прямой и рассеянной) солнечной радиации, поступающей на поверхность стены

Или покрытия (принимаем );

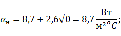
 - коэффициент теплоотдачи наружной поверхности ограждения;

 - температура воздуха в помещении;

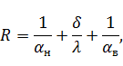
 - сопротивление теплопередаче массивной ограждающей  конструкции;


где  - минимальная скорость ветра за июль (принимаем );


где  - толщина сендвич-панели (принимаем );

- коэффициент теплопроводности сендвич-панели (принимаем

) ;


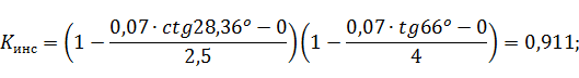
.5 Суммарные теплопоступления от солнечной радиации


.6 Суммарные теплопоступления в помещении

В теплый период:


где  - избытки явного тепла от оборудования;


В холодный период:

.7 Потери тепла

В теплый период:


В холодный период:


где  - удельный расход теплоты на отопление (принимаем );

 - объем производственного помещения;

 - температура наружного воздуха в холодный период

(принимаем);


.8 Количество теплоты, необходимое на отопление и вентиляцию

В теплый период:


В холодный период:



1.9 Количество теплоты, необходимое на дежурное отопление в холодный период года

Дежурное отопление рассчитаем на .


.10 Конечный баланс по теплу

В теплый период:


В холодный период:


Принимаем, что количество теплоты, необходимое на основное отопление составляет

Тогда конечный баланс по теплу в холодный период:




2. Составление влажностного баланса помещения

.1 Поступление влаги от людей


где - количество людей;