Материал: Расчет себестоимости производства обжимного стана на плановый период

Внимание! Если размещение файла нарушает Ваши авторские права, то обязательно сообщите нам

Экономия от снижения затрат указанным способом определяется в отдельных расчетах по важнейшим для данного предприятия или производства видам материальных ресурсов и факторам, влияющим на снижение их расхода. В частности, такими расчетами на предприятиях черной металлургии являются расчеты экономии от снижения норм расхода:

руды на производство концентрата;

концентрата на производство окатышей (агломерата);

рядовых углей при обогащении;

угольной шихты на производство кокса;

железорудного сырья и кокса на выплавку чугуна;

чугуна и лома на выплавку стали;

металла на производство проката;

металла на производство труб;

металла на производство метизов и т.д.

. Экономия (перерасход) затрат под влиянием замены одних ресурсов другими (внедрение заменителей, прогрессивных материалов и др.):


где Эзр - экономия (перерасход), руб.; N1 и N2 - норма расхода соответственно прежних и новых ресурсов на единицу продукции, ед/т; Ц1 и Ц2 - плановые цены прежних и новых ресурсов, руб/ед.

3. Экономия от уменьшения затрат на оплату труда и отчислений на социальные нужды (ЭЗРП) в связи с сокращением численности работников:


где ЭЗРП - экономия (перерасход) затрат на оплату труда, руб.; Чвыс - количество высвобождаемых работников, чел.; ЗРП - среднемесячная заработная оплата данной категории работников, руб/чел; ОСН - установленный процент отчислений на социальные нужды, %; n- число месяцев с момента проведения мероприятия до конца года.

4. При определении экономии за счет совершенствования управления производством учитывается эффективность таких мероприятий, как укрупнение цехов и участков, внедрение бесцеховой структуры управления, рациональное изменение структуры заводоуправления и цехов, внедрение автоматизированных систем управления производством, создание производственных объединений, кооперативов. Путем осуществления указанных мероприятий, наряду с совершенствованием управления, достигается экономия по оплате труда и отчислениям на социальные нужды.

. Относительная экономия на условно-постоянных расходах (ЭУПР) в результате увеличения объема производства определяется по формуле


где ЭУПР - относительная экономия, руб.; t - темп прироста товарной продукции в планируемом году в сравнении с базовым годом, %; СБ- себестоимость товарной продукции или отдельные элементы затрат (статьи расходов) в базовом году, руб.; УУПР - удельный вес постоянных расходов в себестоимости товарной продукции или отдельных элементах затрат (статьях расходов) в базовом году, %.

Деление затрат на постоянные и переменные лежит в основе построения графика безубыточности. При построении графика безубыточности предполагается, что за рассматриваемый период:

не происходит изменений цен на потребляемые ресурсы и продукцию;

постоянные затраты считаются неизменными в рассматриваемом диапазоне объема продаж;

переменные затраты на единицу продукции не изменяются при изменении объема продаж;

продажи осуществляются достаточно равномерно

Для определения точки безубыточности (порога рентабельности) используются два метода: графический и математический.

Приграфическом методенахождение точки безубыточности (порога рентабельности) сводится к построению комплексного графика «затраты - объем - прибыль». Последовательность построения графика (рис. 1.1) заключается в следующем.

. На график наносится линия постоянных затрат, для чего проводится прямая, параллельная оси абсцисс.

. Далее выбирается какой-либо объем реализации продукции в натуре. Рассчитывается величина совокупных затрат (постоянных и переменных) для выбранного объема реализации. Через найденную точку и точку пересечения линии постоянных затрат с осью ординат проводится прямая линия, характеризующая изменение величины полных затрат при изменении объема реализации в натуре.

Рис. 1.1. График построения точки безубыточности (порога рентабельности)

. Затем выбирается любая точка на оси абсцисс и для нее находится сумма выручки от реализации. Через найденную точку и точку начала координат проводится прямая линия, характеризующая изменение валовой выручки при изменении объема реализации продукции в натуре.

Точка безубыточности на графике - это точка пересечения линии полных затрат и линии объема реализации продукции (валовой выручки).

В точке безубыточности получаемая предприятием выручка (РП) равна его совокупным затратам, при этом прибыль равна нулю. Выручка, соответствующая точке безубыточности, называетсяпороговой выручкой. Объем производства (продаж) в точке безубыточности называетсяпороговым объемом производства (продаж). Если предприятие продает продукции меньше порогового объема продаж, то оно терпит убытки, если больше - получает прибыль.

Для определения точки безубыточности (порога рентабельности) в международной практике используют также математический метод, основанный на исчислении прибыли предприятия по формуле


где Спер - переменные расходы в себестоимости продукции, руб.; Спос - постоянные расходы в себестоимости продукции, руб.

В точке безубыточности прибыль равна нулю. Поэтому приведенную выше формулу можно представить в следующем виде:


Следовательно,

,

где Ц - цена продукции, руб/т;  - переменные расходы в себестоимости единицы продукции, руб/т.

Объем производства продукции в точке безубыточности равен


где Qкр - производство продукции в точке безубыточности, т; Md - маржинальный доход на единицу продукции, руб/т.

Маржинальный запас прочности - это величина, показывающая превышение фактической выручки от реализации продукции (работ, услуг) над пороговой, обеспечивающей безубыточность реализации:


где МЗП - маржинальный запас прочности, руб.; РПф - фактическая выручка от реализации продукции, руб.; РПкр- выручка от реализации продукции в точке безубыточности (пороговая или критическая выручка), руб.

Цена продукции в точке безубыточности (Цбу) составит:


Формулу цены безубыточности можно использовать для определения необходимого уровня цены реализации с целью получения заданной величины прибыли при реализации установленного объема производства.

2. Расчетная часть


Исходные данные:

·        Калькуляция себестоимости проката по обжимному стану (см. табл.1);

·        Производство проката в отчётном периоде составило:  млн. т; в плановом возросло на 2,7 %

·        Средняя заработная плата в отчётном периоде:  руб./месс;

·        Рост заработной платы: 2%.

Расчет себестоимости производства проката по обжимному стану на плановый период.

. В результате внедрения организационно-технических мероприятий увеличилось производство проката и улучшились плановые показатели работы предприятия по сравнению с отчётным за счет:

·        Снижения удельных норм расхода сырья на 4,5%

·        Снижения удельных норм расхода электроэнергии на 1,7%

·        Повышение производительности труда на 6%

·        Снижения прочих цеховых расходов на 2%

·        Снижение общезаводских расходов 4%

·        Снижение расходов на продажу 3%

Составить плановую калькуляцию себестоимости производства.

Таблица 1. Калькуляция себестоимости проката по обжимному стану

 

По плану на одну тонну

Наименование

кол-во

цена

сумма

статей затрат

т.

руб.коп.

руб.коп.

Заданное

 

 

 

I.Полуфабрикаты

 

 

 

Заготовка собственная

1,111

14300,00

15887,30

II.Отходы

 

 

 

Концы и обрезки (габарит)

0,087

3527,82

306,92

Окалина используемая

0,057

306,11

17,45

Сварочный шлак

0,001

193,44

0,19

Угар

0,021

x

x

Итого отходов

0,108

 

324,56

III.Брак(-)

0,003

 

11,36

в том числе

 

 

 

По прокату

0,0006

3905,07

2,42

По металлу

0,0023

3864,93

8,95

Итого задано за минусом отходов и брака

1,000

 

15551,37

IV.Расходы по переделу

 

 

 

1.Топливо

 

 

 

Газ природный (1000м3)

0,002

2000,00

4,00

Газ доменный(1000м3)

0,078

204,72

15,97

Газ коксовый(1000м3)

0,053

801,16

42,46

Услуги газового цеха

x

x

1,59

Итого в условном

 

 

64,02

2.Использование отходящего тепла (-)

 

 

 

3.Энергетические затраты

 

 

 

 электроэнергия(кВт/ч.)

0,034

663,19

22,55

 пар

0,017

270,46

4,60

 вода техническая

0,016

839,85

13,44

 кислород

0,005

1381,82

6,91

 сжатый воздух

0,081

226,96

18,36

Итого

 

65,85

4. Вспомогательные материалы

 

 

2,10

5. Заработная плата производственного персонала

 

 

383,98

6. Отчисления на социальные нужды

 

 

115,19

7. Сменное оборудов.,инстр.,мал.,инв.

 

 

 

8. Текущий ремонт и содерж.осн.ср-в

 

 

483,19

 В том числе ремонтный фонд

 

 

289,37

9. Амортизация основных средств

 

 

290,57

10. Работа транспортных цехов

 

 

15,34

11. Прочие расходы по цеху

 

 

17,56

 В том числе охрана труда

 

 

1,36

Итого расходы по переделу

 

 

1437,81

V. Общезаводские расходы

 

 

475,00

Производственная себестоимость прокатного металла

1,000

 

17464,18

VI. Расходы на реализацию продукции

 

 

867,10

Полная себестоимость слябов

1,000

 

18331,28

Цена слябов, руб/т

 

 

19800,00

 

.1 Анализ исходной калькуляции


В исходных данных предоставлена калькуляция в расчете на 1 тонну, при анализе калькуляции рассчитаем затраты на весь выпуск готовой продукции ( млн. т).

Затраты на весь выпуск определяем следующим образом: нормы расхода умножаем на выпуск продукции, получаем количество, затем количество умножаем на цену, получаем соответствующую стоимость. По статьям, где нет норм расхода, умножаем данные в денежном выражении на выпуск продукции. Результаты всех расчетов приведены в табл. 2.

Табл.2. Результаты расчетов калькуляции по плану на весь выпуск продукции.

Калькуляция себестоимости проката по обжимному стану

Наименование статей затрат

По отчёту


На одну тонну

На весь выпуск


кол-во

цена

сумма

кол-во

цена

сумма


т.

руб.коп.

руб.коп.

млн.т.

руб.коп.

млн.руб.

Заданное

 

 


 

 

 

I.Полуфабрикаты

 

 

 

 

 

 

Заготовка собственная

1,111

14300

15887,3

4,9995

14300

71492,85

II.Отходы

 

 

 

 

 

 

Концы и обрезки (габарит)

0,087

3527,82

306,92

0,3915

3527,82

1381,142

Окалина используемая

0,057

306,11

17,45

0,2565

306,11

78,517

Сварочный шлак

0,001

193,44

0,19

0,0045

193,44

0,87

Угар

0,021

x

x

0,0945

x

x

Итого отходов

0,108

 

324,56

0,486

 

1460,52

III.Брак(-)

0,003

 

11,36

0,0135

 

51,12

в том числе

 

 

 

 

 

 

По прокату

0,0006

3905,07

2,42

0,0027

3905,07

10,544

По металлу

0,0023

3864,93

8,95

0,0104

3864,93

40,002

Итого задано за минусом отходов и брака

1

 

15551,37

4,5

 

69981,165

IV.Расходы по переделу

 

 

 

 

 

 

1.Топливо

 

 


 

 

 

Газ природный (1000м3)

0,002

2000

4

0,009

2000

18

Газ доменный(1000м3)

0,078

204,72

15,97

0,351

204,72

71,857

Газ коксовый(1000м3)

0,053

801,16

42,46

0,2385

801,16

191,077

Услуги газового цеха

x

x

1,59

x

x

7,155

Итого в условном

 

 

64,02

 

 

288,09

2.Использование отходящего тепла (-)

 

 

 

 

 

 

3.Энергетические затраты

 

 

 

 

 

 

 электроэнергия(кВт/ч.)

0,034

663,19

22,55

0,153

663,19

101,468

 пар

0,017

270,46

4,6

0,0765

270,46

20,69

 вода техническая

0,016

839,85

13,44

0,072

839,85

60,469

 кислород

0,005

1381,82

6,91

0,0225

1381,82

31,091

 сжатый воздух

0,081

226,96

18,36

0,3645

226,96

82,727

Итого

 

 

65,85

 

 

296,325

4. Вспомогательные материалы

 

 

2,1

 

 

9,45

5. Заработная плата производственного персонала

 

 

383,98

 

 

1727,91

6. Отчисления на социальные нужды

 

 

115,19

 

 

518,373

7. Сменное оборудов.,инстр.,мал.,инв.

 

 


 

 

 

8. Текущий ремонт и содерж.осн.ср-в

 

 

483,19

 

 

2174,355

 В том числе ремонтный фонд

 

 

289,37

 

 

1302,165

9. Амортизация основных средств

 

 

290,57

 

 

1307,565

10. Работа транспортных цехов

 

 

15,34

 

 

69,03

11. Прочие расходы по цеху

 

 

17,56

 

 

79,02

 В том числе охрана труда

 

1,36

 

 

6,12

Итого расходы по переделу

 

 

1437,81

 

 

6470,145

V. Общезаводские расходы

 

 

475

 

 

2137,5

Производственная себестоимость прокатного металла

1

 

17464,18

4,5

 

78588,81

VI. Расходы на реализацию продукции

 

 

867,1

 

 

3901,95

Полная себестоимость слябов

1

 

18331,28

4,5

 

82490,76

Цена слябов, руб/т

 

 

19800

 

 

89100


Определяем затраты на весь выпуск продукции, для чего нормы расхода умножаем на выпуск продукции, получаем количество, затем количество умножаем на цену, получаем стоимость Заготовка собственная :

1,111 * 4,5 = 4,9995 млн.т.;

4,9995 * 14300=71492,85 млн. руб.

Аналогично рассчитываются и другие статьи затрат, по которым имеются нормы расхода материальных ресурсов.

По статьям, по которым нет норм расхода, умножаем данные в денежном выражении на выпуск продукции:

Заработная плата производственного персонала

383,98 * 4,5 = 1727,91 млн.руб.;

Отчисления на социальные нужды

1727,91 * 30 %=518,373 млн. руб.;

Амортизация основных средств

,57 * 4,5 = 1307,565 млн. руб.

Аналогично рассчитываются и другие статьи затрат, по которым не имеются нормы расхода материальных ресурсов.

 

Структура затрат

Наименование статей затрат

Сумма

Процент





млн. руб.

%




Заданное

 

 

I.Полуфабрикаты

 

 

Заготовка собственная

71492,85

86,668

II.Отходы

 

 

Концы и обрезки (габарит)

1381,142

1,674

Окалина используемая

78,517

0,095

Сварочный шлак

0,87

0,001

Угар

 

 

Итого отходов

1460,52

1,771

III.Брак(-)

51,12

0,062

в том числе

 

 

По прокату

10,544

0,013

По металлу

40,002

0,048

Итого задано за минусом отходов и брака

69981,165

84,835

 

 

 

IV.Расходы по переделу

 

 

1.Топливо

 

 

Газ природный (1000м3)

18

0,022

Газ доменный(1000м3)

71,857

0,087

Газ коксовый(1000м3)

191,077

0,232

Услуги газового цеха

7,155

0,009

Итого в условном

288,09

0,349

2.Использование отходящего тепла (-)

 

 

3.Энергетические затраты

 

 

 электроэнергия(кВт/ч.)

101,468

0,123

 пар

20,69

0,025

 вода техническая

60,469

0,073

 кислород

31,091

0,038

 сжатый воздух

82,727

0,1

Итого

296,325

0,359

4. Вспомогательные материалы

9,45

0,011

5. Заработная плата производственного персонала

1727,91

2,095

6. Отчисления на социальные нужды

518,373

0,628

7. Сменное оборудов.,инстр.,мал.,инв.

 

 

8. Текущий ремонт и содерж.осн.ср-в

2174,355

2,636

 В том числе ремонтный фонд

1302,165

1,579

9. Амортизация основных средств

1307,565

1,585

10. Работа транспортных цехов

69,03

0,084

11. Прочие расходы по цеху

79,02

0,096

 В том числе охрана труда

6,12

0,007

Итого расходы по переделу

6470,145

7,843

V. Общезаводские расходы

2137,5

2,591

Производственная себестоимость прокатного металла

78588,81

95,27

VI. Расходы на реализацию продукции

3901,95

4,73

Полная себестоимость слябов

82490,76

100

Цена слябов, руб/т

89100

108,012


Далее определим следующие показатели на основе исходных данных и рассчитанной калькуляции:

)        Товарная продукция:

 млн. руб.;

2)      Прибыль от реализации продукции:

млн. руб.;

3)      Рентабельность продукции:

;

4)      Рентабельность продаж:

;

5)      Затраты на один рубль товарной (реализованной) продукции:

руб./руб.;

6)      Численность персонала в отчетном периоде:

Годовой фонд оплаты труда (фонд заработной платы)млн. руб.;

Месячный фонд оплаты труда:млн. руб./мес.;

Средняя заработная плата:  руб./месяц;

Численность персонала:

чел;

7)      Производительность труда в денежном выражении:

млн. руб./ чел.;

Производительность труда в натуральном выражении:

т./чел.;

8)      Материалоемкость:


9)      Энергоемкость:

;

10)    Топливоемкость:

;

) Зарплатоемкость продукции:

.

Далее переходим к расчету плановой калькуляции.

.2 Расчет плановой калькуляции

Расчет снижения себестоимости за счет различных факторов

При расчете изменения себестоимости учтём, что в результате внедрения организационно-технических мероприятий произошли следующие изменения:

·        Снижения удельных норм расхода сырья на 4,5%

·        Снижения удельных норм расхода электроэнергии на 1,7%

·        Повышение производительности труда на 6%

·        Снижения прочих цеховых расходов на 2%

·        Снижение общезаводских расходов 4%

·        Снижение расходов на продажу 3%

·        Рост заработной платы: 2%.

·        Производство проката в плановом периоде возросло на: 2,7%.

Производство проката в плановом периоде составит Q’=4,5·106·1,027 =4,6215млн.т. Поскольку увеличивается прокат, то будем иметь экономию на условно-постоянных расходах.

) Снижение себестоимости за счет сокращения норм расхода материальных ресурсов:


где % МР - процент изменения норм расхода материальных ресурсов.

1.1) В результате проведения организационно-технических мероприятий снизилась удельная норма расхода сырья и основных материалов на 4,5 %.

Заготовка собственная:

т/т;

Тогда затраты составят:1,061 14300,00=15172,37руб/т;

На весь выпуск:15172,374,6215106=70119,11 млн.руб.

.2) Расход электроэнергии снизился на 1,7%.

кВтч./т;

Тогда затраты составят:0,033422663,19=22,165 руб./т;

На весь выпуск: 22,165 4,6215106=102,436 млн.руб.

1.3) Для плановой калькуляции рассчитываем фонд оплаты труда в связи с ростом объема производства проката на 2,7% , ростом средней заработной платы на 2,0% и повышением производительности труда на 6,0%.

Товарная продукция в отчетном периоде составила


где 17800 - цена единицы продукции, руб/т.

Производительность труда составляла

Определим плановые показатели:

товарная продукция

производительность труда:


численность персонала:


Сокращение численности составило

Заданием предусматривается рост средней месячной заработной платы в плановом периоде на 2%:

тогда месячный фонд оплаты труда по плану составит

а годовой фонд оплаты труда по плану будет равен


Определим заработную плату, приходящуюся по плану на 1 т продукции:

1.4 Расходы на продажу снизились на 3 %

На весь выпуск:841,0874,6215106=млн. руб.

.5 Прочие цеховые расходы снизились на 2%

На весь выпуск:17,2088 4,6215106=79,53047 млн.руб.

.6 Общезаводские расходы снизились на 4%

На весь выпуск:456 4,6215106=2107,404 млн.руб.

) По тем статьям расходов по переделу, расходам на подготовку и освоение производства, общезаводским расходам, расходам на продажу продукции, по которым в задании нет конкретных указаний об их снижении, определяются плановые показатели с учетом изменения объема производства по сравнению с базовым периодом.

.1) Топливо

Газ природный, 1000 м3

Доля условно-постоянных затрат в этой статье составляет 90 %, а переменных 10 %.

Постоянные затраты:

а) на единицу продукции

4 · 0,90=3,6 руб./т;

б) на весь выпуск

3,6 · 4,5 · 106 = 16,2 млн. руб.

Переменные затраты:

а) на единицу продукции

4 · 0,10 =0,4руб./т;

б) на весь выпуск

0,4 · 4,5· 106 = 1,8 млн. руб.

Проверка

на единицу продукции3,6 +0,4= 4 руб./т;

на весь выпуск16,2 + 1,8 = 18 млн. руб.

Далее определим постоянные и переменные затраты в статье для плановой калькуляции, т.е. с учетом увеличения производства продукции.

Постоянные затраты:

а) на единицу продукции

б) на весь выпуск постоянные затраты не изменяются и равны 16,2 млн. руб.

Переменные затраты:

а) на единицу продукции переменные затраты остаются без изменения и равны 0,4 руб./т;

б) на весь выпуск

0,4· 4,6215 · 106 = 1,8486 млн. руб.

С учетом изменения объема производства затраты по статье составят:

на единицу продукции3,505 +0,4 = 3,905 руб./т;

на весь объем производства 16,2 + 1,8486= 18,0486 млн. руб.

Газ коксовый, 1000 м3

Доля условно-постоянных затрат в этой статье составляет 90 %, а переменных 10 %.

Постоянные затраты:

а) на единицу продукции

42,46 · 0,90=38,214 руб./т;

б) на весь выпуск

38,214 · 4,5 · 106 = 171,963 млн. руб.

Переменные затраты:

а) на единицу продукции

42,46 · 0,10 =4,246 руб./т;

б) на весь выпуск

4,246 · 4,5· 106 = 19,107 млн. руб.

Проверка

на единицу продукции38,214 + 4,246 = 42,46 руб./т;

на весь выпуск171,963 + 19,107 = 191,07 млн. руб.

Далее определим постоянные и переменные затраты в статье для плановой калькуляции, т.е. с учетом увеличения производства продукции.

Постоянные затраты:

а) на единицу продукции

б) на весь выпуск постоянные затраты не изменяются и равны 171,963 млн. руб.

Переменные затраты:

а) на единицу продукции переменные затраты остаются без изменения и равны 4,246 руб./т;

б) на весь выпуск

4,246 · 4,6215 · 106 = 19,6228 млн.руб.

С учетом изменения объема производства затраты по статье составят:

на единицу продукции37,2093 + 4,246 = 41,4553 руб./т;

на весь объем производства 171,963 + 19,6228= 191,5858 млн. руб.

Газ доменный, 1000 м3

Доля условно-постоянных затрат в этой статье составляет 90 %, а переменных 10 %.

Постоянные затраты:

а) на единицу продукции

15,97 · 0,90=14,373 руб./т;

б) на весь выпуск

14,373 · 4,5 · 106 = 64,6785 млн. руб.

а) на единицу продукции

15,97 · 0,10 =1,597 руб./т;

б) на весь выпуск

1,597 · 4,5· 106 = 7,1865 млн. руб.

Проверка

на единицу продукции14,373 + 1,597 = 15,97 руб./т;

на весь выпуск64,6785 + 7,1865 = 71,865 млн. руб.

Далее определим постоянные и переменные затраты в статье для плановой калькуляции, т.е. с учетом увеличения производства продукции.

Постоянные затраты:

а) на единицу продукции

б) на весь выпуск постоянные затраты не изменяются и равны 64,6785 млн. руб.

Переменные затраты:

а) на единицу продукции переменные затраты остаются без изменения и равны 1,597 руб./т;

б) на весь выпуск

1,597 · 4,6215 · 106 = 7,38053 млн.руб.

С учетом изменения объема производства затраты по статье составят:

на единицу продукции13,9951 + 1,597 = 15,5921 руб./т;

на весь объем производства 64,6785 + 7,38053= 72,05903 млн. руб.

.2) Энергетические расходы

Доля условно-постоянных затрат в этой статье составляет 35 %, а переменных 65 %.

Пар

Постоянные затраты:

а) на единицу продукции

4,6 · 0,35 = 1,61 руб./т;

б) на весь выпуск

1,61· 4,5 · 106 = 7,245 млн. руб.

Переменные затраты:

а) на единицу продукции

4,6 · 0,65 =2,99 руб./т;

б) на весь выпуск

2,99· 4,5· 106 = 13,455 млн. руб.

Проверка

на единицу продукции1,61+ 2,99 = 4,6 руб./т;

на весь выпуск7,245 + 13,455 = 20,7 млн. руб.

Далее определим постоянные и переменные затраты в статье «Пар» для плановой калькуляции, т.е. с учетом увеличения производства продукции.

Постоянные затраты:

а) на единицу продукции

б) на весь выпуск постоянные затраты не изменяются и равны 7,245 млн. руб.

Переменные затраты:

а) на единицу продукции переменные затраты остаются без изменения и равны 2,99 руб./т;

б) на весь выпуск

2,99 · 4,6215 · 106 = 13,818285 млн. руб.

С учетом изменения объема производства затраты по статье «Пар» составят:

на единицу продукции1,56767 + 2,99 = 4,55767 руб./т;

на весь объем производства 7,245 + 13,818285= 21,063285млн. руб.

Вода техническая, 1000 м3

Постоянные затраты:

а) на единицу продукци

13,44 · 0,35 = 4,704 руб./м3;

б) на весь выпуск

4,704 ·4,5 · 106 = 21,168 млн. руб.

Переменные затраты:

а) на единицу продукции

13,44 · 0,65 = 8,736 руб./м3;

б) на весь выпуск

8,736· 4,5· 106 = 39,312 млн. руб.

Проверка

на единицу продукции4,704 + 8,736 = 13,44 руб./ м3;

на весь выпуск21,168 + 39,312 = 60,48 млн. руб.

Далее определим постоянные и переменные затраты в статье «Вода техническая» для плановой калькуляции, т.е. с учетом увеличения производства продукции.

Постоянные затраты:

а) на единицу продукции

б) на весь выпуск постоянные затраты не изменяются и равны 21,168 млн. руб.

Переменные затраты:

а) на единицу продукции переменные затраты остаются без изменения и равны 8,736 руб./м3;

б) на весь выпуск

8,736 · 4,6215 · 106 =40,3734 млн. руб.

С учетом изменения объема производства затраты составят:

на единицу продукции 4,58033 + 8,736 = 13,31633 руб./м3;

на весь объем производства21,168 + 40,3734 = 61,5414 млн. руб.

Сжатый воздух, 1000 м3

Постоянные затраты:

а) на единицу продукции

18,36 · 0,35 = 6,426 руб./м3;

б) на весь выпуск

6,426 · 4,5 · 106 = 28,917 млн. руб.

Переменные затраты:

а) на единицу продукции

18,36· 0,65 = 11,934 руб./м3;

б) на весь выпуск

11,934 · 4,5· 106 = 53,703 млн. руб.

Проверка

на единицу продукции6,426 + 11,934 = 18,36 руб./ м3;

на весь выпуск28,917 + 53,703 = 82,62 млн. руб.

Далее определим постоянные и переменные затраты для плановой калькуляции, т.е. с учетом увеличения производства продукции.

Постоянные затраты:

а) на единицу продукции

б) на весь выпуск постоянные затраты не изменяются и равны 28,917 млн. руб.

Переменные затраты:

а) на единицу продукции переменные затраты остаются без изменения и равны 11,934 руб./м3;

б) на весь выпуск

11,934 · 4,6215 · 106 = 55,152981 млн. руб.

С учетом изменения объема производства затраты по статье составят:

на единицу продукции 6,25706 + 11,934 = 18,19106 руб./м3;

на весь объем производства28,917 + 55,152981 = 84,069981 млн. руб.

Кислород, 1000 м3

Постоянные затраты:

а) на единицу продукции

6,91 · 0,35 =2,4185 руб./т;

б) на весь выпуск

2,4185 · 4,5 · 106 = 10,88325 млн. руб.

Переменные затраты:

а) на единицу продукции

6,91 · 0,65 = 4,4915 руб./т;

б) на весь выпуск

4,4915 · 4,5· 106 = 20,21175 млн. руб.

Проверка

на единицу продукции2,4185 + 4,4915 = 6,91 руб./т;

на весь выпуск10,88325 + 20,21175 = 31,095 млн. руб.

Далее определим постоянные и переменные затраты для плановой калькуляции, т.е. с учетом увеличения производства продукции.

Постоянные затраты:

а) на единицу продукции

б) на весь выпуск постоянные затраты не изменяются и равны 10,88325 млн. руб.

Переменные затраты:

а) на единицу продукции переменные затраты остаются без изменения и равны 4,4915 руб./т;

б) на весь выпуск

4,4915· 4,6215 · 106 = 20,75746 млн. руб.

С учетом изменения объема производства затраты составят:

на единицу продукции2,354917 + 4,4915 = 6,846417 руб./т;

на весь объем производства10,88325+ 20,75746 = 31,64071 млн. руб.

.3) Вспомогательные материалы

Постоянные затраты:

а) на единицу продукции

2,1 · 0,05 =0,105 руб./т;

б) на весь выпуск

0,105 · 4,5 · 106 = 0,4725 млн. руб.

Переменные затраты:

а) на единицу продукции

2,1 · 0,95 = 1,995 руб./т;

б) на весь выпуск

1,995 · 4,5· 106 = 8,9775 млн. руб.

Проверка

на единицу продукции0,105 + 1,995 = 2,1 руб./т;

на весь выпуск0,4725 + 8,9775 = 9,45 млн. руб.

Далее определим постоянные и переменные затраты для плановой калькуляции, т.е. с учетом увеличения производства продукции.

Постоянные затраты:

а) на единицу продукции

б) на весь выпуск постоянные затраты не изменяются и равны 0,4725 млн. руб.

Переменные затраты:

а) на единицу продукции переменные затраты остаются без изменения и равны 1,995 руб./т;

б) на весь выпуск

1,995· 4,6215 · 106 = 9,2198925 млн. руб.

С учетом изменения объема производства затраты составят:

на единицу продукции0,10224 + 1,995 = 2,09724 руб./т;

на весь объем производства0,4725+ 9,2198925 = 9,6923925 млн. руб.

.4) Отчисления на социальные нужды

Единый социальный налог составляет 34% от заработной платы (а она выросла на 2%)

Социальный налог на единицу продукции:

 руб./ т.

На весь выпуск:  млн. руб.

.5) Содержание основных фондов

Доля условно-постоянных затрат в этой статье составляет 55 %, а переменных 45 %.

Постоянные затраты:

а) на единицу продукции

483,19 · 0,55 =265,7545 руб./т;

б) на весь выпуск

265,7545 · 4,5 · 106 = 1195,89525 млн. руб.

Переменные затраты:

а) на единицу продукции

483,19 · 0,45 = 217,4355 руб./т;

б) на весь выпуск

217,4355 · 4,5· 106 = 978,45975 млн. руб.

Проверка

на единицу продукции265,7545 + 217,4355 = 483,19 руб./т;

на весь выпуск1195,89525 + 978,45975 = 2174,355 млн. руб.

Далее определим постоянные и переменные затраты в статье «Ремонтный фонд» для плановой калькуляции, т.е. с учетом увеличения производства продукции.

Постоянные затраты:

а) на единицу продукции

б) на весь выпуск постоянные затраты не изменяются и равны 1195,89525 млн. руб.

Переменные затраты:

а) на единицу продукции переменные затраты остаются без изменения и равны 217,4355 руб./т;

б) на весь выпуск

217,4355 · 4,6215 · 106 = 1004,87816 млн. руб.

С учетом изменения объема производства затраты по статье «Ремонтный фонд»» составят:

на единицу продукции258,76777 + 217,4355 = 476,20327 руб./т;

на весь объем производства 1195,89525 + 1004,87816 = 2200,77341 млн. руб.

.6) Ремонтный фонд

Доля условно-постоянных затрат в этой статье составляет 55 %, а переменных 45 %.

Постоянные затраты:

а) на единицу продукции

289,37 · 0,55 = 159,1535 руб./т;

б) на весь выпуск

159,1535 · 4,5 · 106 = 716,19075 млн. руб.

Переменные затраты:

а) на единицу продукции

289,37· 0,45 = 130,2165 руб./т;

б) на весь выпуск

130,2165 · 4,5· 106 = 585,97425млн. руб.

Проверка

на единицу продукции159,1535 + 130,2165 = 289,37 руб./т;

на весь выпуск716,19075+ 585,97425 = 1302,165 млн. руб.

Далее определим постоянные и переменные затраты в статье «Содержание оборудования» для плановой калькуляции, т.е. с учетом увеличения производства продукции.

Постоянные затраты:

а) на единицу продукции

б) на весь выпуск постоянные затраты не изменяются и равны 716,19075 млн. руб.

Переменные затраты:

а) на единицу продукции переменные затраты остаются без изменения и равны 130,2165 руб./т;

б) на весь выпуск

130,2165 · 4,6215 · 106 = 601,79555 млн. руб.

С учетом изменения объема производства затраты по статье «Содержание оборудования» составят:

на единицу продукции154,969328 + 130,2165 = 285,185828 руб./т;

на весь объем производства716,19075 + 601,79555 =1317,9863 млн. руб.

.7) Работа транспортных цехов

Доля условно-постоянных затрат в этой статье составляет 25 %, а переменных 75 %.

Постоянные затраты:

а) на единицу продукции

15,34 · 0,25 = 3,835 руб./т;

б) на весь выпуск

3,835· 4,5 · 106 = 17,2575 млн. руб.

Переменные затраты:

а) на единицу продукции

15,34· 0,75 = 11,505 руб./т;

б) на весь выпуск

11,505· 4,5· 106 =51,7725 млн. руб.

Проверка

на единицу продукции3,835 + 11,505 = 15,34 руб./т;

на весь выпуск17,2575 + 51,7725 = 69,03 млн. руб.

Далее определим постоянные и переменные затраты в статье «Работа транспортных цехов» для плановой калькуляции, т.е. с учетом увеличения производства продукции.

Постоянные затраты:

а) на единицу продукции

б) на весь выпуск постоянные затраты не изменяются и равны 17,2575 млн. руб.

Переменные затраты:

а) на единицу продукции переменные затраты остаются без изменения и равны 11,505 руб./т;

б) на весь выпуск

11,505 · 4,6215 · 106 = 53,1703575 млн. руб.

С учетом изменения объема производства затраты по статье «Работа транспортных цехов» составят:

на единицу продукции3,7341772 + 11,505 = 15,2391772 руб./т;

на весь объем производства17,2575 + 53,1703575 = 70,4278575 млн. руб.

.8) Амортизация основных средств

Статья «Амортизация основных средств» содержит только постоянные расходы.

В базовой калькуляции затраты на амортизацию основных средств на весь выпуск продукции равны 1307,565млн. руб.

С учетом роста объема производства продукции по плану на единицу продукции будет приходиться амортизации

2.9) Охрана труда

Статья «охрана труда» содержит только постоянные расходы.

В базовой калькуляции затраты на охрану труда на весь выпуск продукции равны 6,12 млн. руб. С учетом роста объема производства продукции по плану на единицу продукции будет приходиться амортизации

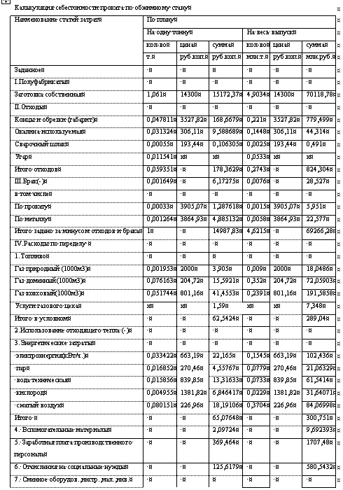
Таблица 3. Плановая (новая) калькуляция себестоимости проката



Далее определяются следующие показатели на основе плановой калькуляции

)Товарная продукция:

;

)Прибыль от реализации продукции:

;

)Рентабельность продукции:


4)Рентабельность продаж:


5)Затраты на один рубль товарной (реализованной) продукции:

р/р

)Численность персонала в плановом периоде:

Годовой фонд оплаты труда (фонд заработной платы) млн. руб.;

Месячный фонд оплаты труда:млн. руб./мес.;

Средняя заработная плата:руб./месяц;

Численность персонала:

чел;

7)Производительность труда в денежном выражении:

.

Производительность труда в натуральном выражении:

т./чел.;

) Материалоемкость:


9) Энергоемкость:


10)Топливоемкость:


11)Зарплатоемкость продукции:


Изменение себестоимости единицы продукции за счёт каждого фактора

Показатели

Отчёт

План

Отклонение. "+" увеличение;"-" уменьшение

Процент изменения, %

Изиенение полной себестоимости(ед.)

18331,28

17701,3015

-629,9785475

3,4366

В том числе за счёт:

 

 

 

 

Снижения норм расхода сырья

15551,37

14987,8343

-563,5356783

3,6237

Снижения норм расхода электроэнергии

22,55

22,165

-0,385

1,7073

Повышение производительности труда

18,5625

19,67625

1,11375

6

Снижения прочих цеховых расходов

17,56

17,2088

-0,3512

2

Снижения общезаводских расходов

475

456

-19

4

Снижения расходов на продажу

867,1

841,087

-26,013

3

Увеличения объёма производства

4,5

4,6215

0,1215

2,7

Условно постоянных

308,13

300,139667

-7,9903334

2,5932

Условно переменных

1129,67

1116,24046

-13,4295358

1,1888


.3 График безубыточности, определение критического объема производства и критической цены


Расчет постоянных затрат

289,04*0,9 + 300,751*0,35 + 9,692393*0,05 + (1707,48 + 580,5432 + 2200,773)*0,55 + 1307,565 + 70,42786*0,25 + 79,53 + 2107,404 + 3887,084*0,1= 6735,53374 млн.руб.

Расчет переменных затрат

289,04*0,1 + 300,751*0,65 + 9,692393*0,95 + (1707,48 + 580,5432 + 2200,773)*0,45 +70,42786*0,75 + 3887,084*0,9 + 68566,65 = 75302,18374 млн.руб.

Расчет критического выпуска:


 руб./т.

 млн. т.

.4 Итоговая таблица расчетов

Единица измерения

Отчёт

План

Отклонение: "+" увеличение; "-" снижение

Процент изменения

Себестоимость единицы продукции

руб/т

18331,28

17701,3

-629,9785475

3,4366

Товарная продукция

млн.руб.

89100

91505,7

2405,7

2,7

Прибыль от реализации продукции

млн.руб.

6609,24

10398,76

3789,52

57,3367

Рентабельность продукции

%

8,0121

12,821

4,8089

60,0205

Рентабельность продаж

%

7,42

11,364

3,944

53,1536

Затраты на один рубль товарной продукции

руб/руб

0,926

0,88

-0,046

4,9676

Материалоёмкость

%

79,21

75,57

-3,64

4,5954

Энергоёмкость

%

0,33

0,328

-0,002

0,6061

Топливоёмкость

%

0,323

0,316

-0,007

2,1672

Зарплатоёмкость продукции

%

1,94

1,866

-0,074

3,8144

Амортизациоёмкость

%

0,014675

0,014289

-0,000385815

2,629

Численность персонала

чел

4800

4650

-150

3,125

Производительность труда

руб/чел

18,56

23,01

4,45

23,9763

Производительность труда

т/чел

937,5

993,87

56,37

6,0128


Список использованной литературы

1. Юзов О.В., Петракова Т.М., Ильичёв И.П. Экономика предприятия: Учеб. - М.: МИСиС, 2009. - 520 с.

. Слепнева Т.А., Яркин Е.В. Экономика предприятия: Учеб. - М.: ИНФРА-М, 2006. - 458 с. - (Высшее образование).

. Конспект лекций по курсу «Экономика производства»